Improving Device-to-Device Reproducibility of Light-Emitting Diodes Based on Layered Halide Perovskites
Abstract
1. Introduction
2. Materials and Methods
2.1. Materials
2.2. Device Fabrication
2.3. Perovskite Deposition
2.4. Characterizations
3. Results and Discussion
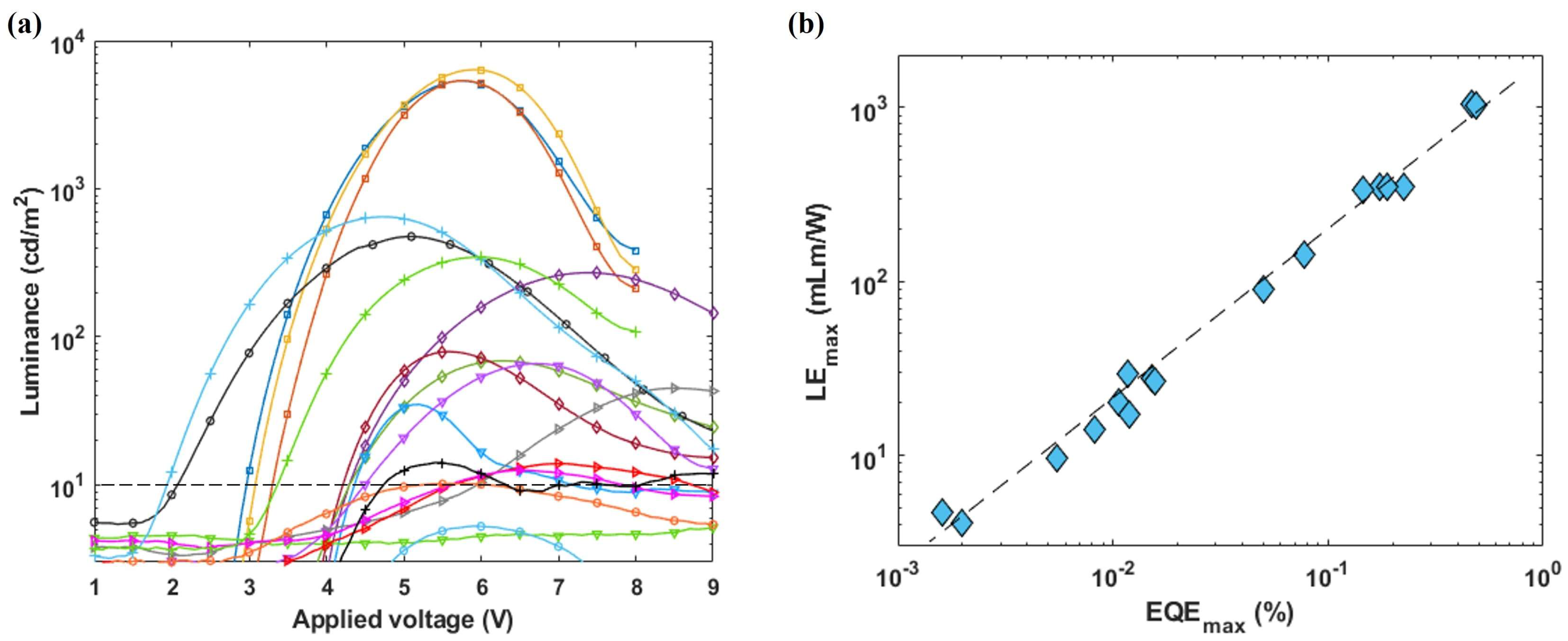
3.1. Reproducibility Challenge in PeLEDs Based on Layered Perovskites
- Fluctuation in the temperature of the deposition environment;
- The presence of a small quantity of uncontrolled O2 and H2O inside the glovebox;
- Chemical contamination from evaporated solvents in the glovebox atmosphere;
3.2. Effects of Thermal Fluctuation Inside Deposition Chamber and Chemical Contamination on Quasi-2D Perovskite Composition
3.3. Improvement in PeLED Reproducibility
4. Conclusions
Supplementary Materials
Author Contributions
Funding
Data Availability Statement
Acknowledgments
Conflicts of Interest
References
- Jena, A.K.; Kulkarni, A.; Miyasaka, T. Halide Perovskite Photovoltaics: Background, Status, and Future Prospects. Chem. Rev. 2019, 119, 3036–3103. [Google Scholar] [CrossRef]
- Chen, X.; Zhou, H.; Wang, H. 2D/3D Halide Perovskites for Optoelectronic Devices. Front. Chem. 2021, 9, 715157. [Google Scholar] [CrossRef]
- Wang, H.-P.; Li, S.; Liu, X.; Shi, Z.; Fang, X.; He, J.-H. Low-Dimensional Metal Halide Perovskite Photodetectors. Adv. Mater. 2021, 33, 2003309. [Google Scholar] [CrossRef]
- Liu, X.-K.; Xu, W.; Bai, S.; Jin, Y.; Wang, J.; Friend, R.H.; Gao, F. Metal Halide Perovskites for Light-Emitting Diodes. Nat. Mater. 2021, 20, 10–21. [Google Scholar] [CrossRef] [PubMed]
- Fakharuddin, A.; Gangishetty, M.K.; Abdi-Jalebi, M.; Chin, S.-H.; bin Mohd Yusoff, A.R.; Congreve, D.N.; Tress, W.; Deschler, F.; Vasilopoulou, M.; Bolink, H.J. Perovskite Light-Emitting Diodes. Nat. Electron. 2022, 5, 203–216. [Google Scholar] [CrossRef]
- Quan, L.N.; Rand, B.P.; Friend, R.H.; Mhaisalkar, S.G.; Lee, T.-W.; Sargent, E.H. Perovskites for Next-Generation Op-tical Sources. Chem. Rev. 2019, 119, 7444–7477. [Google Scholar] [CrossRef] [PubMed]
- Zhang, S.; Yi, C.; Wang, N.; Sun, Y.; Zou, W.; Wei, Y.; Cao, Y.; Miao, Y.; Li, R.; Yin, Y.; et al. Efficient Red Perovskite Light-Emitting Diodes Based on Solution-Processed Multiple Quantum Wells. Adv. Mater. 2017, 29, 1606600. [Google Scholar] [CrossRef] [PubMed]
- Kumar, S.; Jagielski, J.; Kallikounis, N.; Kim, Y.-H.; Wolf, C.; Jenny, F.; Tian, T.; Hofer, C.J.; Chiu, Y.-C.; Stark, W.J.; et al. Ultrapure Green Light-Emitting Diodes Using Two-Dimensional Formamidinium Perovskites: Achieving Recommendation 2020 Color Coordinates. Nano Lett. 2017, 17, 5277–5284. [Google Scholar] [CrossRef]
- Hou, S.; Gangishetty, M.K.; Quan, Q.; Congreve, D.N. Efficient Blue and White Perovskite Light-Emitting Diodes via Manganese Doping. Joule 2018, 2, 2421–2433. [Google Scholar] [CrossRef]
- Adjokatse, S.; Fang, H.-H.; Loi, M.A. Broadly Tunable Metal Halide Perovskites for Solid-State Light-Emission Applications. Mater. Today 2017, 20, 413–424. [Google Scholar] [CrossRef]
- Tan, Z.-K.; Moghaddam, R.S.; Lai, M.L.; Docampo, P.; Higler, R.; Deschler, F.; Price, M.; Sadhanala, A.; Pazos, L.M.; Credgington, D.; et al. Bright Light-Emitting Diodes Based on Organometal Halide Perovskite. Nat. Nanotech 2014, 9, 687–692. [Google Scholar] [CrossRef] [PubMed]
- Sheng, X.; Li, Y.; Xia, M.; Shi, E. Quasi-2D Halide Perovskite Crystals and Their Optoelectronic Applications. J. Mater. Chem. A 2022, 10, 19169–19183. [Google Scholar] [CrossRef]
- Zhang, L.; Sun, C.; He, T.; Jiang, Y.; Wei, J.; Huang, Y.; Yuan, M. High-Performance Quasi-2D Perovskite Light-Emitting Diodes: From Materials to Devices. Light Sci. Appl. 2021, 10, 61. [Google Scholar] [CrossRef] [PubMed]
- Zou, C.; Zhang, C.; Kim, Y.-H.; Lin, L.Y.; Luther, J.M. The Path to Enlightenment: Progress and Opportunities in High Efficiency Halide Perovskite Light-Emitting Devices. ACS Photonics 2021, 8, 386–404. [Google Scholar] [CrossRef]
- Chen, P.; Bai, Y.; Lyu, M.; Yun, J.-H.; Hao, M.; Wang, L. Progress and Perspective in Low-Dimensional Metal Halide Perovskites for Optoelectronic Applications. Solar RRL 2018, 2, 1700186. [Google Scholar] [CrossRef]
- Yantara, N.; Bruno, A.; Iqbal, A.; Jamaludin, N.F.; Soci, C.; Mhaisalkar, S.; Mathews, N. Designing Efficient Energy Funneling Kinetics in Ruddlesden–Popper Perovskites for High-Performance Light-Emitting Diodes. Adv. Mater. 2018, 30, 1800818. [Google Scholar] [CrossRef] [PubMed]
- Yuan, M.; Quan, L.N.; Comin, R.; Walters, G.; Sabatini, R.; Voznyy, O.; Hoogland, S.; Zhao, Y.; Beauregard, E.M.; Kanjanaboos, P.; et al. Perovskite Energy Funnels for Efficient Light-Emitting Diodes. Nat. Nanotech 2016, 11, 872–877. [Google Scholar] [CrossRef]
- Byun, J.; Cho, H.; Wolf, C.; Jang, M.; Sadhanala, A.; Friend, R.H.; Yang, H.; Lee, T.-W. Efficient Visible Quasi-2D Perovskite Light-Emitting Diodes. Adv. Mater. 2016, 28, 7515–7520. [Google Scholar] [CrossRef]
- Sun, C.; Jiang, Y.; Cui, M.; Qiao, L.; Wei, J.; Huang, Y.; Zhang, L.; He, T.; Li, S.; Hsu, H.-Y.; et al. High-Performance Large-Area Quasi-2D Perovskite Light-Emitting Diodes. Nat. Commun. 2021, 12, 2207. [Google Scholar] [CrossRef]
- Liu, Z.; Qiu, W.; Peng, X.; Sun, G.; Liu, X.; Liu, D.; Li, Z.; He, F.; Shen, C.; Gu, Q.; et al. Perovskite Light-Emitting Diodes with EQE Exceeding 28% through a Synergetic Dual-Additive Strategy for Defect Passivation and Nanostructure Regulation. Adv. Mater. 2021, 33, 2103268. [Google Scholar] [CrossRef]
- Roknuzzaman, M.; Ostrikov, K.K.; Wang, H.; Du, A.; Tesfamichael, T. Towards Lead-Free Perovskite Photovoltaics and Optoelectronics by Ab-Initio Simulations. Sci. Rep. 2017, 7, 14025. [Google Scholar] [CrossRef]
- Liu, A.; Bi, C.; Guo, R.; Zhang, M.; Qu, X.; Tian, J. Electroluminescence Principle and Performance Improvement of Metal Halide Perovskite Light-Emitting Diodes. Adv. Opt. Mater. 2021, 9, 2002167. [Google Scholar] [CrossRef]
- Chen, Z.; Li, Z.; Hopper, T.R.; Bakulin, A.A.; Yip, H.-L. Materials, Photophysics and Device Engineering of Perovskite Light-Emitting Diodes. Rep. Prog. Phys. 2021, 84, 046401. [Google Scholar] [CrossRef] [PubMed]
- Han, T.-H.; Jang, K.Y.; Dong, Y.; Friend, R.H.; Sargent, E.H.; Lee, T.-W. A Roadmap for the Commercialization of Perovskite Light Emitters. Nat. Rev. Mater. 2022, 7, 757–777. [Google Scholar] [CrossRef]
- Xing, J.; Zhao, Y.; Askerka, M.; Quan, L.N.; Gong, X.; Zhao, W.; Zhao, J.; Tan, H.; Long, G.; Gao, L.; et al. Col-or-Stable Highly Luminescent Sky-Blue Perovskite Light-Emitting Diodes. Nat. Commun. 2018, 9, 3541. [Google Scholar] [CrossRef] [PubMed]
- Laxmi; Kabra, D. Optimization of Composition with Reduced Phase Impurity in Quasi-2D Perovskite for Elec-troluminescence. Adv. Photonics Res. 2021, 2, 2000164. [Google Scholar] [CrossRef]
- Han, Y.; Wang, J.; Bischak, C.G.; Kim, S.; Lee, K.; Shin, D.; Lee, M.J.; Ginger, D.S.; Hwang, I. Significance of Ambient Temperature Control for Highly Reproducible Layered Perovskite Light-Emitting Diodes. ACS Photonics 2020, 7, 2489–2497. [Google Scholar] [CrossRef]
- Liu, B.; Lu, G.; Wu, R.; Hu, S.; Zhang, L.; Guo, M.; Yuan, Z.; Xue, Q.; Xiao, P.; Luo, D.; et al. Unlocking the Potential of Blue Perovskite Light-Emitting Diodes for Active-Matrix Displays. Adv. Opt. Mater. 2023, 11, 2202894. [Google Scholar] [CrossRef]
- Kong, L.; Luo, Y.; Turyanska, L.; Zhang, T.; Zhang, Z.; Xing, G.; Yang, Y.; Zhang, C.; Yang, X. A Spacer Cation Assisted Nucleation and Growth Strategy Enables Efficient and High-Luminance Quasi-2D Perovskite LEDs. Adv. Funct. Mater. 2023, 33, 2209186. [Google Scholar] [CrossRef]
- Rui, H.; Wu, X.; Qiu, Y.; Liu, X.; Bu, S.; Cao, H.; Yin, S. Bifunctional Bidentate Organic Additive toward High Brightness Pure Red Quasi-2D Perovskite Light-Emitting Diodes. Adv. Funct. Mater. 2023, 33, 2308147. [Google Scholar] [CrossRef]
- Bae, Y.; Ryu, J.; Yoon, S.; Kang, D.-W. Recent Progress in Quasi-Two-Dimensional and Quantum Dot Perovskite Light-Emitting Diodes Harnessing the Diverse Effects of Ligands: A Review. Nano Res. 2022, 15, 6449–6465. [Google Scholar] [CrossRef]
- Yang, X.; Zhang, X.; Deng, J.; Chu, Z.; Jiang, Q.; Meng, J.; Wang, P.; Zhang, L.; Yin, Z.; You, J. Efficient Green Light-Emitting Diodes Based on Quasi-Two-Dimensional Composition and Phase Engineered Perovskite with Surface Passivation. Nat. Commun. 2018, 9, 570. [Google Scholar] [CrossRef] [PubMed]
- Ye, Z.; Xia, J.; Zhang, D.; Duan, X.; Xing, Z.; Jin, G.; Cai, Y.; Xing, G.; Chen, J.; Ma, D. Efficient Quasi-2D Per-ovskite Light-Emitting Diodes Enabled by Regulating Phase Distribution with a Fluorinated Organic Cation. Nanomaterials 2022, 12, 3495. [Google Scholar] [CrossRef] [PubMed]
- Cheng, T.; Qin, C.; Watanabe, S.; Matsushima, T.; Adachi, C. Stoichiometry Control for the Tuning of Grain Passivation and Domain Distribution in Green Quasi-2D Metal Halide Perovskite Films and Light-Emitting Diodes. Adv. Funct. Mater. 2020, 30, 2001816. [Google Scholar] [CrossRef]
- Yuan, Z.; Miao, Y.; Hu, Z.; Xu, W.; Kuang, C.; Pan, K.; Liu, P.; Lai, J.; Sun, B.; Wang, J.; et al. Unveiling the Synergistic Effect of Precursor Stoichiometry and Interfacial Reactions for Perovskite Light-Emitting Diodes. Nat. Commun. 2019, 10, 2818. [Google Scholar] [CrossRef] [PubMed]
- Chen, C.; Zeng, L.; Jiang, Z.; Xu, Z.; Chen, Y.; Wang, Z.; Chen, S.; Xu, B.; Mai, Y.; Guo, F. Vacuum-Assisted Preparation of High-Quality Quasi-2D Perovskite Thin Films for Large-Area Light-Emitting Diodes. Adv. Funct. Mater. 2022, 32, 2107644. [Google Scholar] [CrossRef]
- Wang, J.; Li, D.; Mu, L.; Li, M.; Luo, Y.; Zhang, B.; Mai, C.; Guo, B.; Lan, L.; Wang, J.; et al. Inkjet-Printed Full-Color Matrix Quasi-Two-Dimensional Perovskite Light-Emitting Diodes. ACS Appl. Mater. Interfaces 2021, 13, 41773–41781. [Google Scholar] [CrossRef] [PubMed]
- Zhang, M.; Yuan, F.; Zhao, W.; Jiao, B.; Ran, C.; Zhang, W.; Wu, Z. High Performance Organo-Lead Halide Perovskite Light-Emitting Diodes via Surface Passivation of Phenethylamine. Org. Electron. 2018, 60, 57–63. [Google Scholar] [CrossRef]
- Ma, J.; Yang, L.; Zhang, Y.; Kuang, Y.; Shao, M. Rearranging the Phase Distribution of Quasi-2D Perovskite for Efficient and Narrow Emission Perovskite Light-Emitting Diodes. J. Phys. Chem. Lett. 2022, 13, 4739–4746. [Google Scholar] [CrossRef]
- Worku, M.; He, Q.; Xu, L.; Hong, J.; Yang, R.X.; Tan, L.Z.; Ma, B. Phase Control and In Situ Passivation of Quasi-2D Metal Halide Perovskites for Spectrally Stable Blue Light-Emitting Diodes. ACS Appl. Mater. Interfaces 2020, 12, 45056–45063. [Google Scholar] [CrossRef]
- Molenda, Z.; Chambon, S.; Bassani, D.M.; Hirsch, L. Assessing the Impact of Ambient Fabrication Temperature on the Performance of Planar CH3NH3PbI3 Perovskite Solar Cells. Eur. J. Inorg. Chem. 2021, 2021, 2533–2538. [Google Scholar] [CrossRef]
- Ji, K.; Anaya, M.; Abfalterer, A.; Stranks, S.D. Halide Perovskite Light-Emitting Diode Technologies. Adv. Opt. Mater. 2021, 9, 2002128. [Google Scholar] [CrossRef]
- Zhao, B.; Lian, Y.; Cui, L.; Divitini, G.; Kusch, G.; Ruggeri, E.; Auras, F.; Li, W.; Yang, D.; Zhu, B.; et al. Efficient Light-Emitting Diodes from Mixed-Dimensional Perovskites on a Fluoride Interface. Nat. Electron. 2020, 3, 704–710. [Google Scholar] [CrossRef]
- Anaya, M.; Rand, B.P.; Holmes, R.J.; Credgington, D.; Bolink, H.J.; Friend, R.H.; Wang, J.; Greenham, N.C.; Stranks, S.D. Best Practices for Measuring Emerging Light-Emitting Diode Technologies. Nat. Photonics 2019, 13, 818–821. [Google Scholar] [CrossRef]
- Mai, C.; Cun, Y.; Luo, Y.; Zhang, B.; Li, M.; Li, H.; Mu, L.; Wang, J.; Li, D.; Wang, J. Dependence of the Radiative Efficiency of Quasi-2D Perovskite Light-Emitting Diodes on the Multiquantum-Well Composition. J. Phys. Chem. C 2021, 125, 12241–12250. [Google Scholar] [CrossRef]
- Yan, C.; Lin, K.; Lu, J.; Wei, Z. Composition Engineering to Obtain Efficient Hybrid Perovskite Light-Emitting Diodes. Front. Optoelectron. 2020, 13, 282–290. [Google Scholar] [CrossRef] [PubMed]
- Li, Z.; Cao, K.; Li, J.; Du, X.; Tang, Y.; Yu, B. Modification of Interface between PEDOT:PSS and Perovskite Film Inserting an Ultrathin LiF Layer for Enhancing Efficiency of Perovskite Light-Emitting Diodes. Org. Electron. 2020, 81, 105675. [Google Scholar] [CrossRef]




Disclaimer/Publisher’s Note: The statements, opinions and data contained in all publications are solely those of the individual author(s) and contributor(s) and not of MDPI and/or the editor(s). MDPI and/or the editor(s) disclaim responsibility for any injury to people or property resulting from any ideas, methods, instructions or products referred to in the content. |
© 2024 by the authors. Licensee MDPI, Basel, Switzerland. This article is an open access article distributed under the terms and conditions of the Creative Commons Attribution (CC BY) license (https://creativecommons.org/licenses/by/4.0/).
Share and Cite
Do, Q.-H.; Antony, R.; Ratier, B.; Bouclé, J. Improving Device-to-Device Reproducibility of Light-Emitting Diodes Based on Layered Halide Perovskites. Electronics 2024, 13, 1039. https://doi.org/10.3390/electronics13061039
Do Q-H, Antony R, Ratier B, Bouclé J. Improving Device-to-Device Reproducibility of Light-Emitting Diodes Based on Layered Halide Perovskites. Electronics. 2024; 13(6):1039. https://doi.org/10.3390/electronics13061039
Chicago/Turabian StyleDo, Quang-Huy, Rémi Antony, Bernard Ratier, and Johann Bouclé. 2024. "Improving Device-to-Device Reproducibility of Light-Emitting Diodes Based on Layered Halide Perovskites" Electronics 13, no. 6: 1039. https://doi.org/10.3390/electronics13061039
APA StyleDo, Q.-H., Antony, R., Ratier, B., & Bouclé, J. (2024). Improving Device-to-Device Reproducibility of Light-Emitting Diodes Based on Layered Halide Perovskites. Electronics, 13(6), 1039. https://doi.org/10.3390/electronics13061039

