You are currently viewing a new version of our website. To view the old version click .
Electronics
  • Article
  • Open Access

8 February 2024

Parameter Identification for Maximum Torque per Ampere Control of Permanent Magnet Synchronous Machines under Magnetic Saturation

,
,
and
1
School of Computer Science and Technology, Xinjiang University, Urumqi 830046, China
2
College of Mechanical and Vehicle Engineering, Hunan University, Changsha 410082, China
*
Author to whom correspondence should be addressed.
This article belongs to the Special Issue Control and Optimization of Power Converters and Drives

Abstract

This paper applies the identified parameters of permanent magnet synchronous machines (PMSMs) for the maximum torque per ampere control (MTPA) under magnetic saturation. The variation in magnet flux with current is determined using a position offset approach while the variation in q-axis inductance with the current is estimated from the d-axis voltage equation afterward. In addition, the d-axis inductance is estimated at standstill by the injection of a small amplitude of high frequency d-axis current. The curve-fitted results of estimated parameters under different saturation conditions are then employed to aid the derivation of MTPA control law. The proposed method is experimentally verified on two prototype PMSMs. Experimental results show that compared with conventional MTPA schemes using fixed values of magnetic parameters, the proposed method can increase maximum output torque by 2.1% and 3.2% on two prototype PMSMs, respectively.

1. Introduction

Interior permanent magnet synchronous machines (IPMSMs) are now used extensively in traction drives thanks to their compact structure, high output torque and efficiency [1,2]. In contrast to surface-mount permanent magnet synchronous machines (SPMSMs), the magnetic anisotropy of IPMSMs causes inductance differences in dq-axis. Therefore, in addition to the magnet torque of the q-axis current, the electromagnetic torque of an IPMSM is also affected by the reluctance torque of the d-axis current [3,4]. An inappropriate combination of different dq-axis currents may even cause a deterioration in electromagnetic performance. Thus, a partial differentiation to the electromagnetic torque equation is usually conducted to derive the optimal combination of reference dq-axis currents to maximize the output torque. To minimize the losses of the IPMSM drive system, the maximum torque per ampere (MTPA) control strategy is often used to determine the optimal combination of dq-axis currents under fixed torque [5,6,7,8,9,10]. In the literature, the MTPA control strategy has been extensively studied, and the proposed methods can be generally classified into two types: machine parameter-independent methods and machine parameter-based methods.
In machine parameter-independent methods, the extreme seeking methods based on signal injection have become mainstream [11,12,13,14,15,16,17]. This method can track MTPA points in real time by injecting specific signals into the IPMSM, such as high-frequency current [11,12] or voltage [13,14]. However, the injected signal may induce adverse effects, such as torque ripples, additional losses, and vibration noise. In order to avoid the adverse effects caused by injecting signals, the MTPA control approaches-based non-real signal injection are proposed to determine the optimal reference dq-axis currents [15,16]. The above MTPA control approaches are not sensitive to variations in machine parameters and show high accuracy. However, these methods usually require additional integrators and filters to determine the optimal reference dq-axis currents, thus reducing the dynamic performance of MTPA operation.
In machine parameter-based methods, the optimal reference dq-axis currents are usually calculated off-line or on-line based on the machine model (also known as the MTPA equations). For off-line calculation, the optimal reference dq-axis currents need to be calculated under different load conditions and kept in a look-up table (LUT) [18,19]. However, the machine parameters are not constant and will change with the variation in the machine operating point. For example, when the PMSM is magnetically saturated, the inductance will vary significantly, which may require a lot of offline measurements and calculations and takes up considerable testing time and storage space when the LUT is applied.
In addition to off-line calculations, the MTPA method based on parameter identification is the type of MTPA approach with quick dynamic response. This is due to the fact that the optimal reference dq-axis currents are determined directly using the MTPA equations. To achieve on-line estimation of PMSMs parameters, various estimation algorithms such as model reference adaptive system (MRAS) [20], affine projection algorithm (APA) [21], recursive least squares (RLS) [22,23], and Adaline neural network (ANN) [24] are introduced specifically. In order to guarantee that the estimated parameters converge to the right values, ref. [25] proposed that the rank deficiency issue should be solved. In order to avoid the rank deficiency issue, many works in the literature assume that some parameters of PMSMs are constant [5,6,7,8]. For a conventional MTPA [5,6], the PMSMs parameters such as the magnet flux or dq-axis inductances are often regarded as constant values for the sake of simplification. However, in the region of MTPA control [5,6], those machine parameters usually vary with the saturation conditions [26], especially the q-axis inductance and magnet flux. Thus, in [7], the change in magnet flux is considered while the dq-axis inductances are regarded as constants to improve the performance of conventional MTPA. Similarly, in [8], the influence of variation in dq-axis inductances is investigated while the magnet flux is regarded as a constant. In [27], the cross-coupling effect is considered when the torque is calculated. Ref. [28] proposes a polynomial-based target model that estimates polynomial parameters from some test data for the direct calculation of MTPA angles, which results in fast calculation speed. In [29], the variation in magnet flux with current is analyzed, and the traditional magnet flux and torque models are improved. However, it does not take into account the influence of variation in dq-axis inductances.
In this paper, an application of the parameter identification technique to the MTPA control is proposed. It consists of three steps. In the first step, the q-axis current is set to zero, and a high frequency d-axis current of small amplitude is injected PMSM to determine the d-axis inductance. In the second step, the IPMSM is loaded under id = 0 control and the magnet fluxes versus different q-axis currents are estimated by the position offset-based method [30], while the q-axis inductance is determined from the d-axis voltage formula directly. In addition, it is assumed that the amplitude of the d-axis current of MTPA control is usually quite small compared with that of q-axis current, which is reasonable because the torque produced by the q-axis current multiplied by the magnet flux is usually dominant. Therefore, it can be accepted that the d-axis inductance can be considered almost unchanged [8] while the q-axis inductance and magnet flux only vary with the q-axis current. In this case, the MTPA control taking into account the variation in q-axis inductance and magnet flux with q-axis current is derived in the third step. The proposed approach is then verified in two prototype IPMSMs. The result shows that the proposed MTP approach produces a higher output torque than those MTPA methods using constant machine parameters or only considering the variation of q-axis inductance.

2. Parameter Identification of PMSM

2.1. PMSM Model Accounting for Inverter Nonlinearities

Considering the influence of the distorted voltage due to voltage source inverter (VSI) nonlinearity, the dq-axis PMSM model can be represented as [31,32]:
u d * + D d V d e a d = R i d L q ω i q + L d d i d d t u q * + D q V d e a d = R i q + L d ω i d + ψ m ω + L q d i q d t
where u d * , u q * , id, iq, ω, Ld, Lq, R and ψm are the dq-axis command voltages, currents, electrical rotor speed, dq-axis inductances, winding resistance and magnet flux, respectively. Vdead is a lumped parameter representing the distorted voltage due to VSI nonlinearity, while Dd and Dq are expressed as follows [31,32]:
D d D q = 2 cos ( θ ) cos ( θ 2 π 3 ) cos ( θ + 2 π 3 ) sin ( θ ) sin ( θ 2 π 3 ) sin ( θ π 3 ) s i g n ( i a s ) s i g n ( i b s ) s i g n ( i c s )
s i g n ( i ) = 1 , i > = 0 1 , i < 0

2.2. Identification Method of Magnet Flux and Q-Axis Inductanc

It is described in [25] that there is a rank deficiency issue for the multi-parameter identification of PMSM. Thus, a position offset-based estimation of the magnet flux is proposed in [30], which can identify the variation in magnet flux at id = 0 control. As introduced in [30], with the injection of two rotor position angle ∆θn = −∆θp and fixed dq-axis currents, two d-axis voltage formulas can be denoted as:
u d 1 * ( k ) + D d ( k ) V d e a d = R i d ( k ) ω 1 ( k ) L q i q ( k ) + ψ m sin ( Δ θ + Δ θ p ) u d 2 * ( k ) + D d ( k ) V d e a d = R i d ( k ) ω 2 ( k ) L q i q ( k ) + ψ m sin ( Δ θ + Δ θ n )
where k is the index of the discrete sampling instant, and ω1 = ω2 = ω. u d 1 * and u d 2 * are recorded output voltages of the d-axis PI regulator corresponding to the injection of ∆θn and ∆θp, respectively. Thus, the magnet flux can be obtained by:
ψ m m e a n ( u d 1 * ( k ) u d 2 * ( k ) 2 ω ( k ) sin ( Δ θ n ) )
where mean is the mean operator. On condition that id = 0 and the q-axis current is fixed as a constant, the average value of VdeadDd will be zero [31,32]. Thus, the q-axis inductance can be obtained directly from the d-axis voltage formula:
m e a n ( u d ) = m e a n ( u d * + V d e a d D d ) = m e a n ( R i d L q i q ω ) = m e a n ( L q i q ω )
L q = m e a n ( u d * ) m e a n ( i q ω )

2.3. Identification Method of D-Axis Inductance

At standstill, the q-axis current is set to iq = 0 and the d-axis current is injected into the PMSM. Then, the d-axis equation of PMSM under different d-axis currents can be simplified to:
u d 1 * + D d V d e a d = R i d 1 u d 2 * + D d V d e a d = R i d 2
Subtracting the second equation in (8) from the first equation in (8), the resistance identification equation can be obtained as
R = u d 1 * u d 2 * i d 1 i d 2
By substituting the identified resistance R into the d-axis voltage equation, the distorted voltage Vdead due to inverter nonlinearity can be obtained:
V d e a d = R s i d u d * D d
Afterward, the q-axis current is set to iq = 0 and a sinusoidal perturbation i d * sin ( ω h t ) will be superimposed on the d-axis current, by which the d-axis voltage equation of (1) will be simplified to (11):
u d * + D d V d e a d = R i d * ( sin ω h t ) + L d i d * ω h cos ( ω h t )
where the subscript h means high frequency signal. At the transient time point of t0 = ωht = 2, k = 0, 1, 2, …, (11) can be further simplified to:
u d * ( ω h t = t 0 ) + D d V d e a d = L d i d * ω h
Thus, the d-axis inductance can be obtained directly from (12):
L d = u d * ( ω h t = t 0 ) + D d V d e a d i d * ω h

3. MTPA Method with Consideration of Magnetic Saturation

3.1. Curve Fit of Magnet Flux and Q-Axis Inductance

As mentioned in the Introduction, the torque produced by the q-axis current multiplied by the magnet flux is usually dominant and the amplitude of d-axis current is usually quite small in the MTPA control. Thus, it is reasonable to assume that the variation in d-axis inductance is quite small and can be regarded as a constant in the MTPA region, which is also discussed and verified in [8]. Besides, since the amplitude of the d-axis current is quite small, it is acceptable to assume that the magnet flux and q-axis inductance are irrespective of the d-axis current and only vary with the q-axis current. Furthermore, the rate of change of magnet flux with respect to q-axis current is usually smaller than the rate of change of q-axis inductance. Thus, in this paper, the magnet flux with respect to q-axis current will be curve-fitted by a linear Equation (14) while the q-axis inductance versus q-axis current will be curve fitted by a quadric Equation (15).
ψ m ( i q ) = g ( i q ) = d i q + e
L q ( i q ) = f ( i q ) = a i q 2 + b i q + c
where the coefficients a, b, c, d and e are the unknown constants, which are obtained by the recursive least squares (RLS) with the sampling data [33].

Remark

When the magnet flux and q-axis inductance are fitted, the following assumptions are made:
  • The variation in d-axis inductance is quite small and can be regarded as a constant in the MTPA region.
  • The rotor PM flux linkage and q-axis inductance are irrespective of the d-axis current and only vary with the q-axis current.

3.2. MTPA Control with Consideration of Magnetic Saturation

The electromagnetic torque model of a PMSM can be expressed as (16):
T e = 3 2 p [ ( ψ m L q i d ) + L d i d ] i q
where p is the number of pole pairs. After the substitution of (14) and (15) into (16), it yields:
T e = T e ( f ( i q ) , g ( i q ) ) = 3 2 p a i d i q 3 + ( b i d d ) i q 2 + ( c i d e ) i q L d i q i d ]
The MTPA control can be obtained by differentiating (17):
𝜕 T e 𝜕 i d = 0
i q = I s 2 i d 2
where Is is the amplitude of phase current. The derivation processes for the MTPA control law are introduced below:
𝜕 i q 𝜕 i d = i d I s 2 i d 2 = i d i q 𝜕 ( a i d i q 3 ) 𝜕 i d = a i q 3 3 a i d 2 i q 𝜕 ( b i d d ) i q 2 𝜕 i d = b i q 2 2 ( b i d d ) i d 𝜕 ( c i d e ) i q 𝜕 i d = c i q ( c i d e ) i d i q 𝜕 L d i d i q 𝜕 i d = L d i q L d i d 2 i q
The above partial derivatives are derived from the differentials of each term on the right side of Equation (17), respectively. The constant coefficients, such as a, b, c, d and e, have nothing to do with partial derivatives. Thus, a quadratic equation can be obtained as follows:
A i d 2 + B i d + C = 0
A = L d 3 a i q 2 2 b i q c
B = 2 d i q + e
C = L d i q 2 + a i q 4 + b i q 3 + c i q 2
Thus, the MTPA control considering the magnetic saturation can be derived as follows:
i d = B + B 2 4 A C 2 A i q = I S 2 i d 2

4. Experimental Validation

In order to validate the effectiveness of the proposed MTPA control, two prototype IPMSMs, named as motor 1 and motor 2, are used to test the performance of the proposed approach, which is based on a dSPACE-based experiment platform, with the test rig shown in Figure 1. The design parameters of two prototype IPMSMs are depicted in Table 1. The product model of employed power module is FF75R12RT4, which is manufactured by Infineon. The sampling period is set to 100 µs. In addition, the typical electrical characteristic parameters of VSI are listed in Table 2.
Figure 1. Test rig and prototype PMSMs.
Table 1. Design parameters of tested PMSMs.
Table 2. Design parameters of employed VSI.

4.1. Parameter Identification of Motor 1

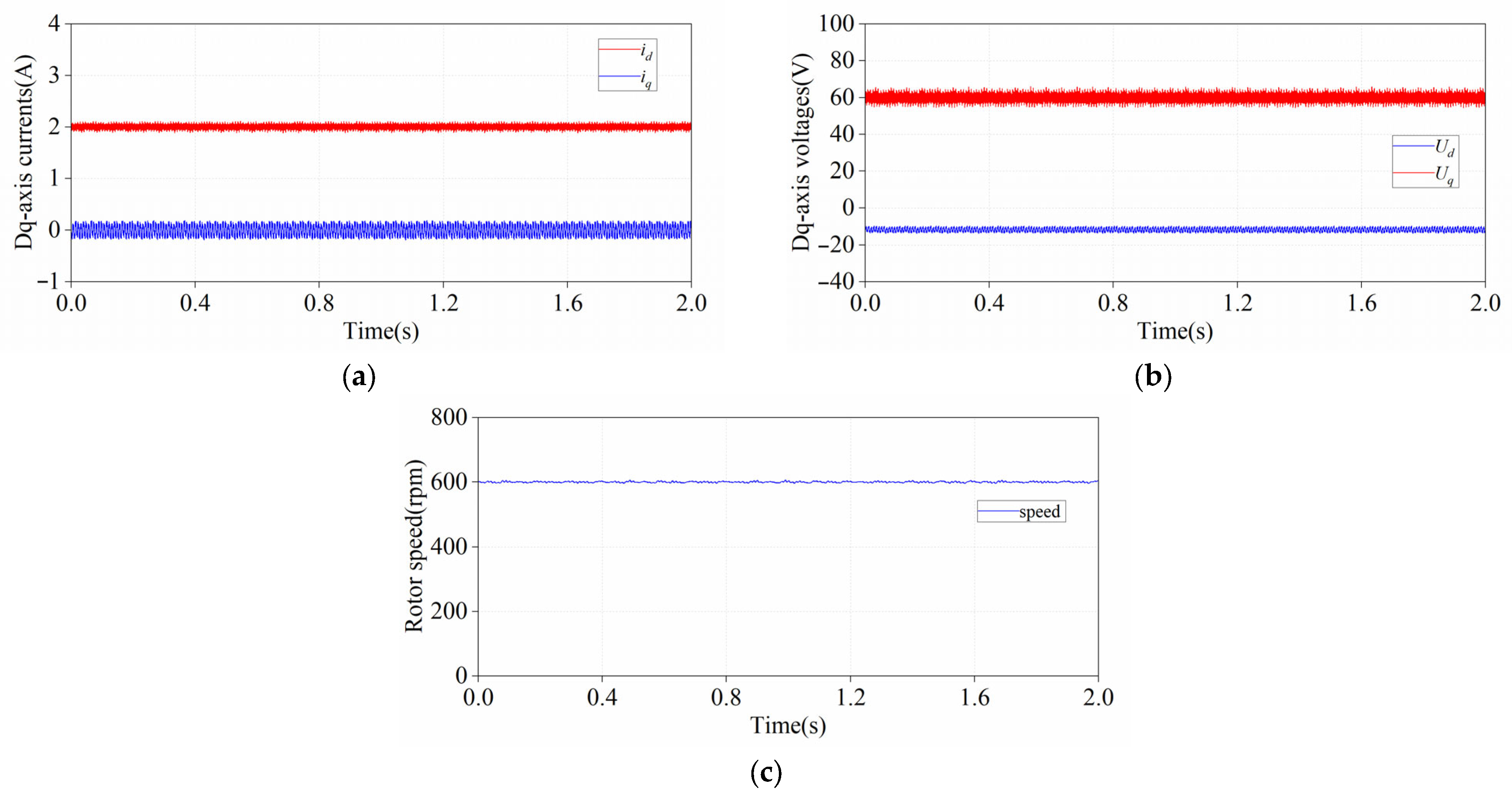
When Motor 1 works under id = 0 control, the dq-axis currents, voltage and electrical rotor speed recorded when using the position offset method to estimate the flux linkage are shown in Figure 2, which shows that the time of injected positions +∆θn and −∆θn are both for 5 s. Figure 3 shows the corresponding estimated result of magnet flux, which shows that the estimated value of magnet flux is 0.4214 Wb and is very close to the nominal value. Furthermore, the estimated magnet flux under different q-axis currents is shown in Figure 4. A linear function is used to fit the relationship between magnet flux and q-axis current, and the fit result d = −0.00829 and e = 0.4394 can be obtained.
Figure 2. Recorded waveforms with and without injection of position (Motor 1, id = 0, iq = 2 A, 600 rpm). (a) dq-axis currents; (b) dq-axis reference voltages; (c) rotor speed.
Figure 3. Estimation result of magnet flux (Motor 1, id = 0, iq = 2 A, 600 rpm).
Figure 4. Estimation of magnet flux and curve fit results (Motor 1, id = 0).
Figure 5 shows the dq-axis current, voltage and electrical angular speed under id = 0 control. The corresponding estimated result of q-axis inductance is shown in Figure 6. Furthermore, the estimated q-axis inductance under different q-axis currents is shown in Figure 7. A quadric equation is used to fit the relationship between q-axis inductance and q-axis current, and the fit result a = −4.621 × 10−5, b = −8.841 × 10−4 and c = 0.04907 can be obtained.
Figure 5. Recorded waveforms under id = 0 control ((Motor 1, id = 0, iq = 2 A, 600 rpm). (a) dq-axis currents; (b) dq-axis reference voltages; (c) rotor speed.
Figure 6. Estimation result of q-axis inductance (Motor 1, id = 0, iq = 2 A, 600 rpm).
Figure 7. Estimation of q-axis inductance and curve fit results (Motor 1, id = 0).
As shown in Figure 8, d-axis currents of −1 A and −2 A are continuously injected into Motor 1 with a given DC bus voltage of 40 V under standstill. The winding resistance and distortion voltage can be obtained to be 0.84 Ω and 0.454 by Equations (9) and (10), respectively. Furthermore, the identification of d-axis inductance is shown in Figure 9. The frequency and amplitude of added sinusoidal d-axis currents are set to 100 Hz and 0.5 A, respectively. As shown in Figure 9a,b, special points id = 0.0022 A, id = 0.4722 A and ud = −9.598 V are selected, and when the position θ = 0°, Dd = 4 can be calculated. Therefore, the d-axis inductance can be obtained as:
L d = u d * + V d e a d D d ω h i d * = 9.598 + 4 × 0.454 100 × 2 × 3.14 × 0.4722 = 26.24   mH
Figure 8. Recorded waveforms with and without injection of id (Motor 1, id = 0, iq = 0, 0 rpm). (a) dq-axis currents; (b) dq-axis reference voltages; (c) rotor speed.
Figure 9. Estimation of d-axis inductance. (a) Measured d-axis current id = 1 × sin(ωht), ωh = 100 Hz. (b) d-axis reference voltage.

4.2. Comparison among Three MTPA Schemes for Motor 1

In order to verify the performance of the proposed method, the trajectories of three different MTPA schemes are compared. The MTPA scheme 1 is derived by using the estimated machine parameters at id = 0, while the MTPA scheme 2 is derived by only considering the variation in q-axis inductance with q-axis current. The MTPA scheme 3 is the proposed method, which is derived by considering the variation in both Lq and ψm. The comparison among three MTPA schemes for Motor 1 is depicted in Figure 10, which shows that at a relatively small current 0 A ≤ Is ≤ 6 A, the three MTPA schemes produce almost the same output torque which can be explained by magnetic saturation and are not so significant at small current. However, when the phase current is greater than 7 A, there are obvious differences among the three MTPA schemes, and the MTPA scheme taking into account the variation in Lq and ψm significantly improves the output torque at higher phase currents.
Figure 10. Comparison among three different MTPA schemes of Motor 1 at different torque regions. (a) Te ∈ [0 N·m, 6 N·m]. (b) Te ∈ [4 N·m, 12 N·m]. (c) Te ∈ [10 N·m, 18 N·m].

4.3. Parameter Identification of Motor 2

For further verifying the effectiveness of proposed approach on other IPMSM, similar tests are also performed on the Motor 2. The test platform of Motor 2 is shown in Figure 11. Under id = 0 control, the identified magnet flux and q-axis inductance versus q-axis current of Motor 2 are presented in Figure 12. For the estimated magnet flux, the curve fit result is d = −0.007501 and e = 0.2291 while the curve fit result for the estimated q-axis inductance is a = −0.0002429, b = −0.002636, and c = 0.06685. It is obvious that when the q-axis current increases, the estimated q-axis inductance and magnet flux will decrease.
Figure 11. Test platform. (a) Prototype PMSM and load machine. (b) Scale for standstill test.
Figure 12. Estimation of magnet flux and q-axis inductance and curve fit results (id = 0). (a) Magnet flux. (b) q-axis inductance.
Besides, the identification of d-axis inductance is shown in Figure 13. The frequency and amplitude of added sinusoidal d-axis current are set to 120 Hz and 0.5 A, respectively. Figure 13c shows the identified d-axis inductance which is about 32.9 mH.
Figure 13. Estimation of d-axis inductance. (a) Measured d-axis current id = 0.5 × sin(ωht), ωh = 120 Hz. (b) d-axis reference voltage. (c) Estimation result of d-axis inductance.

4.4. Comparison among Three MTPA Schemes for Motor 2

The trajectories of three different MTPA schemes of Motor 2 are compared in Figure 14. The MTPA trajectory 1 is derived by using the estimated machine parameters at id = 0 while the MTPA trajectory 2 is derived by considering the variation in q-axis inductance. The MTPA trajectory 3 is derived by considering the variation in both Lq and ψm. It is obvious that the difference among the three trajectories is quite transparent and cannot be neglected. In this case, without the consideration of variation in machine parameters, the MTPA trajectory may not be the optimal one and the identification of the variation trends of real machine parameters will be quite important. This influence is then experimentally investigated with the aid of a torque transducer, respectively.
Figure 14. Current limit circle and three MTPA trajectories of Motor 2. MTPA trajectory 1 is derived with estimated parameters at id = 0. MTPA trajectory 2 is derived with considering variation in Lq. MTPA trajectory 3 is derived with considering variation in Lq and ψm.
As illustrated Figure 11a, a rotor shaft is locked with one end of an iron arm while the other end with a nail head is placed on an electronic scale. The force due to the mass of an iron arm can be measured when there is no current excitation in PMSM, which will be regarded as a DC offset of torque measurement. The torque will be calculated by the scale reading multiplied by the length of the iron arm (10 cm). The comparison among three MTPA schemes is then depicted in Figure 15.
Figure 15. Standstill tests for comparison among three different MTPA schemes of Motor 2. (a) Output torque ranging from low to high. (b) In high load torque region.
As illustrated in Figure 15a, it is worth noting that at relatively small current 1 A ≤ Is ≤ 2 A, the three MTPA schemes produce almost the same output torque which can be explained that the magnetic saturation is not so significant at relatively small current. Furthermore, it is found that the MTPA scheme taking into account the variation in Lq and ψm produce significantly higher output torque at higher phase current 3 A ≤ Is ≤ 4 A. This can be explained by the fact that the saturation effect will cause a non-negligible variation in both magnet flux and q-axis inductance at relatively high current and the output torque will be maximized if their variation is considered in the MTPA algorithm.
Since the dq-axis inductances will slightly change at different rotor positions, the standstill test may not be able to represent the average torque when the rotor is spinning. Thus, the second test using a torque transducer as shown in Figure 11b is conducted for a further investigation. As illustrated in Figure 16, the MTPA scheme taking into account both the change of magnet flux and q-axis inductance shows a better performance than the other two in the whole load region.
Figure 16. Comparison among three different MTPA schemes at different torque regions. (a) Te ∈ [0 N·m, 2 N·m]. (b) Te ∈ [1.5 N·m, 3.5 N·m]. (c) Te ∈ [3 N·m, 4.5 N·m].
Therefore, from the above two tests at standstill and when the rotor is rotating, respectively, it is clear that the proposed approach can improve the performance of MTPA control thanks to the consideration of both the variations of magnet flux and q-axis inductance.

5. Discussion

From the results of two experimental motors, it can be found that at the relatively low torque region, although MTPA scheme taking into account the variation in Lq and ψm shows better performance under most load conditions, the performance of the three schemes is very close. In the higher torque region, the MTPA scheme taking into account the variation in Lq and ψm shows better performance than the other two schemes. The above phenomenon can be explained by the fact that the variation in machine parameters is not very high in a relatively low saturation region (or low torque region). In this case, the calculated optimal combination of dq-axis currents by using the three MTPA schemes will be quite close to each other. Thus, the superior performance of the MTPA scheme considering the variation in Lq and ψm will not be very high in a low saturation region. In the higher torque region, the proposed method has taken into account the variation in more parameters in saturation region, especially the rotor PM flux linkage. However, the other two schemes do not take into account the variation in rotor PM flux linkage, which results in a poorer output torque. Thus, the proposed method is suitable for deeply saturated motors. When in the low saturation region, the proposed method may not significantly improve the output torque compared with conventional MTPA schemes using fixed machine parameters. In addition, for different machines, the variation trend in magnet flux with the q-axis current may be different. We will consider whether to perform polynomial fitting or piecewise curve fitting on the relationship between the magnet flux and the q-axis current in the future, so as to accurately model the variation in magnet flux with the q-axis current of different machines.

6. Conclusions

This paper proposes an MTPA control scheme that considers the influence of magnetic saturation effect. The change in machine parameters such as magnet flux and q-axis inductance due to varying load current or magnetic saturation is identified by parameter estimation and is curve fitted for the sake of the derivation of a new MTPA control law. The effectiveness of the proposed method is verified on two prototype PMSMs and it is found that during the experimental tests, the proposed method taking into account both the variation in q-axis inductance and magnet flux can produce higher output torque than the MTPA schemes derived by fixed machine parameters or only considering the change in q-axis inductance. Especially in the high torque region, the proposed method shows an overall superior performance. For Motor 1, the proposed method can achieve a 2.1% higher maximum output torque than the MTPA control with fixed machine parameters when the current is greater than 9 A. For Motor 2, the proposed method can achieve a 3.2% higher maximum output torque than the MTPA control with fixed machine parameters when the current is greater than 3 A. Thus, the proposed method can be regarded as a good improvement to the widely used MTPA control methods.

Author Contributions

Conceptualization, M.Y. and B.W.; methodology, M.Y. and Q.C.; software, M.Y. and X.P.; validation, B.W. and Q.C.; formal analysis, M.Y. and B.W.; investigation, M.Y. and X.P.; resources, B.W.; data curation, M.Y.; writing—original draft preparation, M.Y.; writing—review and editing, B.W., Q.C. and X.P.; funding acquisition, X.P. All authors have read and agreed to the published version of the manuscript.

Funding

This research was supported by the National Natural Science Foundation of China (No. 52275105) and the APC was funded by Xiaoyan Peng.

Data Availability Statement

The data that were used in this study are available from the author, upon reasonable request.

Acknowledgments

The authors would like to acknowledge the support from Engineering Research Center of Ministry of Education on Automotive Electronics and Control Technology.

Conflicts of Interest

The authors declare no conflicts of interest.

References

  1. Zhu, Z.Q.; Howe, D. Electrical machines and drives for electric, hybrid, and fuel cell vehicles. Proc. IEEE 2007, 95, 746–765. [Google Scholar] [CrossRef]
  2. Jahns, T. Getting rare-earth magnets out of EV traction machines: A review of the many approaches being pursued to minimize or eliminate rare-earth magnets from future EV drivetrains. IEEE Electrif. Mag. 2017, 5, 6–18. [Google Scholar] [CrossRef]
  3. Jung, S.Y.; Hong, J.; Nam, K. Current minimizing torque control of the IPMSM using Ferrari’s method. IEEE Trans. Power Electron. 2013, 28, 5603–5617. [Google Scholar] [CrossRef]
  4. Tinazzi, F.; Zigliotto, M. Torque estimation in high-efficency IPM synchronous motor drives. IEEE Trans. Energy Convers. 2015, 30, 983–990. [Google Scholar] [CrossRef]
  5. Morimoto, S.; Takeda, Y.; Hirasa, T.; Taniguchi, K. Expansion of operating limits for permanent magnet motor by current vector control considering inverter capacity. IEEE Trans. Ind. Appl. 1990, 26, 866–871. [Google Scholar] [CrossRef]
  6. Morimoto, S.; Sanada, M.; Takeda, Y. Effects and compensation of magnetic saturation in Flux weakening controlled permanent magnet synchronous motor drives. IEEE Trans. Ind. Appl. 1994, 30, 1632–1637. [Google Scholar] [CrossRef]
  7. Kim, Y.S.; Sul, S.K. Torque control strategy of an IPMSM considering the flux variation of the permanent magnet. In Proceedings of the 2007 IEEE Industry Applications Annual Meeting, New Orleans, LA, USA, 23–27 September 2007; pp. 1301–1307. [Google Scholar]
  8. Kim, H.; Hartwig, J.; Lorenz, R.D. Using on-line parameter estimation of improve efficiency of IPM machine drives. In Proceedings of the 2002 IEEE 33rd Annual IEEE Power Electronics Specialists Conference. Proceedings (Cat. No.02CH37289), Cairns, QLD, Australia, 23–27 June 2002; pp. 815–820. [Google Scholar]
  9. Kim, J.M.; Sul, S.K. Speed control of interior permanent magnet synchronous motor drive for the flux weakening operation. IEEE Trans. Ind. Appl. 1997, 33, 43–48. [Google Scholar]
  10. Rang, G.; Lim, J.; Nam, K.; Ihm, H.B.; Kim, H.G. A MTPA control scheme for an IPM synchronous motor considering magnet flux variation caused by temperature. In Proceedings of the Nineteenth Annual IEEE Applied Power Electronics Conference and Exposition, 2004. APEC ‘04., Anaheim, CA, USA, 22–26 February 2004; pp. 1617–1621. [Google Scholar]
  11. Kim, S.; Yoon, Y.D.; Sul, S.K.; Ide, K. Maximum torque per ampere (MTPA) control of an IPM machine based on signal injection considering inductance saturation. IEEE Trans. Power Electron. 2013, 28, 488–497. [Google Scholar] [CrossRef]
  12. Li, K.; Wang, Y. Maximum torque per ampere (MTPA) control for IPMSM drives using signal injection and an MTPA control law. IEEE Trans. Ind. Inform. 2019, 15, 5588–5598. [Google Scholar] [CrossRef]
  13. Liu, G.; Wang, J.; Zhao, W.; Chen, Q. A novel MTPA control strategy for IPMSM drives by space vector signal injection. IEEE Trans. Ind. Electron. 2017, 64, 9243–9252. [Google Scholar] [CrossRef]
  14. Lai, C.; Feng, G.; Mukherjee, K.; Tjong, J.; Kar, N.C. Maximum torque per ampere control for IPMSM using gradient descent algorithm based on measured speed harmonics. IEEE Trans. Ind. Inform. 2018, 14, 1424–1435. [Google Scholar] [CrossRef]
  15. Sun, T.; Wang, J.; Chen, X. Maximum torque per ampere (MTPA) control for interior permanent magnet synchronous machine drives based on virtual signal injection. IEEE Trans. Power Electron. 2015, 30, 5036–5045. [Google Scholar] [CrossRef]
  16. Sun, T.; Wang, J.; Koc, M. On accuracy of virtual signal injection based MTPA operation of interior permanent magnet synchronous machine drives. IEEE Trans. Power Electron. 2017, 32, 7405–7408. [Google Scholar] [CrossRef]
  17. Ahmadi Kamarposhti, M.; Shokouhandeh, H.; Colak, I.; Eguchi, K. Performance Improvement of Reluctance Synchronous Motor Using Brain Emotional Learning Based Intelligent Controller. Electronics 2021, 10, 2595. [Google Scholar] [CrossRef]
  18. Cao, M.; Egashira, J.; Kaneko, K. High efficiency control of IPMSM for electric motorcycles. In Proceedings of the 2009 IEEE 6th International Power Electronics and Motion Control Conference, Wuhan, China, 17–20 May 2009; pp. 1893–1897. [Google Scholar]
  19. Gallegos, L.G.; Gunawan, F.; Walters, J. Optimum torque control of permanent-magnet AC machines in the field-weakened region. IEEE Trans. Ind. Appl. 2005, 41, 1020–1028. [Google Scholar] [CrossRef]
  20. Boileau, T.; Leboeuf, N.; Nahid, B.; Meibody, F. Online identification of PMSM parameters: Parameter identifiability and estimator comparative study. IEEE Trans. Ind. Appl. 2011, 47, 1944–1957. [Google Scholar] [CrossRef]
  21. Mohamed, Y.R.; Lee, T.K. Adaptive self-tuning MTPA vector controller for IPMSM drive system. IEEE Trans. Energy Convers. 2006, 21, 636–644. [Google Scholar] [CrossRef]
  22. Kim, S.J.; Lee, H.W.; Kim, K.S.; Bae, J.N.; Im, J.B.; Kim, C.-J.; Lee, J. Torque ripple improvement for interior permanent magnet synchronous motor considering parameters with magnetic saturation. IEEE Trans. Magn. 2009, 45, 4720–4723. [Google Scholar]
  23. Underwood, S.; Husain, I. Online parameter estimation and adaptive control of permanent-magnet synchronous machines. IEEE Trans. Ind. Electron. 2010, 57, 2435–2443. [Google Scholar] [CrossRef]
  24. Liu, K.; Zhu, Z.Q.; Stone, D.A. Parameter estimation for condition monitoring of PMSM stator winding and rotor permanent magnets. IEEE Trans. Ind. Electron. 2013, 60, 5902–5913. [Google Scholar] [CrossRef]
  25. Liu, K.; Zhang, Q.; Chen, J.T.; Zhu, Z.Q.; Zhang, J.; Shen, A.W. Online multi-parameter estimation of non-salient pole PM synchronous machines with temperature variation tracking. IEEE Trans. Ind. Electron. 2011, 58, 1776–1788. [Google Scholar] [CrossRef]
  26. Stumberger, B.; Stumberger, G.; Dolinar, D.; Hamler, A.; Trlep, M. Evaluation of saturation and cross-magnetization effects in interior permanent-magnet synchronous motor. IEEE Trans. Ind. Appl. 2003, 39, 1264–1271. [Google Scholar] [CrossRef]
  27. Feng, G.; Lai, C.; Tan, X.; Kar, N.C. Maximum-torque-per-square-ampere control for interior PMSMs considering cross-saturation inductances. IEEE Trans. Transp. Electrif. 2021, 7, 1482–1492. [Google Scholar] [CrossRef]
  28. Feng, G.; Lai, C.; Han, Y.; Kar, N.C. Fast Maximum torque per ampere (MTPA) angle detection for interior PMSMs using online polynomial curve fitting. IEEE Trans. Power Electron. 2022, 37, 2045–2056. [Google Scholar] [CrossRef]
  29. Li, C.; Zhang, W.; Gao, J.; Huang, S. Permanent magnet flux linkage analysis and maximum torque per ampere (MTPA) control of high saturation IPMSM. Energies 2023, 16, 4717. [Google Scholar] [CrossRef]
  30. Liu, K.; Zhu, Z.Q. Position offset based parameter estimation using the Adaline NN for condition monitoring of permanent magnet synchronous machines. IEEE Trans. Ind. Electron. 2015, 62, 2372–2383. [Google Scholar] [CrossRef]
  31. Kim, H.S.; Kim, K.H.; Youn, M.J. On-line dead-time compensation method based on time delay control. IEEE Trans. Contr. Syst. Technol. 2003, 11, 279–285. [Google Scholar]
  32. Kim, H.W.; Youn, M.J.; Cho, K.Y.; Kim, H.S. Nonlinearity estimation and compensation of PWM VSI for PMSM under resistance and flux linkage uncertainty. IEEE Trans. Contr. Syst. Technol. 2006, 14, 589–601. [Google Scholar]
  33. Wang, Q.; Zhao, N.; Wang, G.; Zhao, S.; Chen, Z.; Zhang, G.; Xu, D. An offline parameter self-learning method considering inverter nonlinearity with zero-axis voltage. IEEE Trans. Power Electron. 2021, 36, 14098–14109. [Google Scholar] [CrossRef]
Disclaimer/Publisher’s Note: The statements, opinions and data contained in all publications are solely those of the individual author(s) and contributor(s) and not of MDPI and/or the editor(s). MDPI and/or the editor(s) disclaim responsibility for any injury to people or property resulting from any ideas, methods, instructions or products referred to in the content.

Article Metrics

Citations

Article Access Statistics

Multiple requests from the same IP address are counted as one view.