Abstract
In recent years, the focus of space research and exploration by various countries and international space agencies has been on the return of humans to the moon. Astronauts on lunar missions need to utilize network communication and exchange data. Against this backdrop, it is necessary to consider the performance of communication systems and the extreme conditions of the lunar environment, such as signal attenuation and frequency selection, to ensure the reliability and stability of communication systems. Therefore, providing technical performance adapted to the lunar environment is crucial. In this article, we investigated the applicability of Orthogonal Frequency Division Multiple Access (OFDMA) and Single-Carrier Frequency Division Multiple Access (SC-FDMA) waveforms in the lunar communication environment. Specifically, we used Peak-to-Average Power Ratio (PAPR) and Bit Error Rate (BER) as performance indicators. By studying the impact of different modulation schemes and cyclic prefix lengths on communication performance, we completed the research on waveform adaptability based on lunar channels. Simulation results indicate that the transmission structure we designed can meet the system-level performance requirements of lunar communications. This research provides valuable insights for the design and optimization of communication systems for future lunar missions, paving the way for the seamless integration of advanced ground technologies in extraterrestrial environments.
1. Introduction
Under the ambitious drive of both governmental and private space agencies, lunar exploration has once again garnered widespread attention [1]. The goal of this exploration is to achieve grand objectives of human permanent presence, resource development, and scientific research [2]. Against this backdrop, the deployment and operation of lunar stations and exploration devices have become crucial, providing indispensable support for the exploration and utilization of resources on the lunar surface [3]. Therefore, ensuring that rovers are equipped with reliable and efficient communication systems is crucial for the success of missions.
In recent years, there has been a significant amount of research dedicated to lunar surface communication. Suyun Wang has investigated the scattering and emission characteristics of lunar regolith in the terahertz (THz) frequency band [4]. Through modeling, the study analyzed the contributions of rough boundaries, the volume, and the interactions between boundaries and the volume to the total scattering and emission. The simulation results indicate that surface roughness is the primary contributor to total scattering, while the dielectric contrast between the volume and the boundaries dominates the total emission. Dennis Ogbe has proposed a ranging system that measures the distance between two radio nodes by estimating the time of flight (ToF) of a series of short radio frequency bursts. The ToF is estimated by periodically exchanging two precisely timed OFDM frames and measuring the time of reception (ToR) using a cross-correlation-based technique. The main application of this system is to provide a ground-based local positioning and navigation system for exploration, scientific research, and commercial activities on the lunar surface.
It is clear that a thorough performance evaluation of communication systems is essential. Khattak et al. have provided a comprehensive evaluation of the Thread network protocol, examining not only the commonly assessed parameters of RTT and packet loss, but also the impact of jitter, offering a more holistic analysis of network behavior [5]. In the lunar surface communication environment, there are unique characteristics and challenges that impose additional requirements on the design and performance of communication systems [6]. Due to variations in lunar surface terrain and topography, signals experience attenuation and multipath propagation during transmission. Signal propagation delays can affect the real-time nature of communication systems [7]. Additionally, there is frequency-selective fading in the lunar surface communication environment, presenting a challenge to communication quality and reliability. Communication systems need to possess good fading resistance to address this frequency-selective fading challenge.
The Orthogonal Frequency Division Multiple Access (OFDMA) technology has demonstrated excellent performance in high-speed data transmission and combating multipath interference [8]. Therefore, we are considering the adaptability of OFDMA in the lunar communication environment. OFDMA allows the division of bandwidth into multiple subcarriers within the same spectrum, with each subcarrier being orthogonal to one another. This facilitates the transmission of more data, significantly improving spectrum efficiency. Additionally, OFDMA exhibits strong interference resistance in multipath propagation environments, reducing time-domain spreading and inter-symbol interference caused by multipath propagation. OFDMA supports the parallel transmission of multiple symbols, with each symbol corresponding to a subcarrier, providing high capacity and the ability to simultaneously transmit data for multiple users [9]. Furthermore, by applying independent equalization on each subcarrier, OFDMA combats frequency-selective fading, enhancing the system’s adaptability to frequency-selective channels. OFDMA systems are highly flexible, allowing adjustments based on the requirements of the communication environment, accommodating different bandwidths, spectrum resource allocations, and the needs of multi-user, multi-antenna systems. Given its outstanding spectrum efficiency and its ability to resist multipath interference in complex environments, OFDMA is considered a promising choice for achieving stable communication on the lunar surface [10].
Meanwhile, Single Carrier Frequency Division Multiple Access (SC-FDMA) technology has proven to be effective in the field of communication [11]. It not only provides high data rates, but also has the advantage of low Peak-to-Average Power Ratio (PAPR), which helps reduce nonlinear distortion in power amplifiers [12]. SC-FDMA demonstrates good energy efficiency, contributing to the improvement of battery life and the reduction of power consumption [13]. This is crucial for the design of lunar exploration devices and lunar landers, as it can significantly enhance the operational time of exploration equipment.
The organic integration of OFDMA and SC-FDMA technologies provides a comprehensive solution for the challenges in lunar communication. In this paper, we conducted an in-depth study of the application of OFDMA and SC-FDMA technologies in the lunar communication environment. By constructing realistic simulated terrain, we comprehensively considered various lunar environmental factors, including terrain elevation, obstacles, and restrictions on the movement of exploration devices. Simultaneously, we thoroughly accounted for the signal propagation characteristics in the lunar environment, employing a multipath fading model with frequency-selective fading characteristics to simulate the communication link between lunar exploration devices and lunar landers. Through experimental simulations, we validated that the proposed hybrid system can offer efficient and reliable communication transmission performance while maintaining PAPR performance.
The primary objective of this thesis is to address the unique challenges posed by the lunar environment to communication systems and to ensure the reliability and stability of communication systems in lunar surface communications. We investigated the applicability of Orthogonal Frequency Division Multiple Access (OFDMA) and Single-Carrier Frequency Division Multiple Access (SC-FDMA) waveforms in the lunar environment and designed communication transmission waveforms tailored to this environment. Using Peak-to-Average Power Ratio (PAPR) and Bit Error Rate (BER) as performance indicators, we comprehensively explored different modulation schemes and cyclic prefix lengths to design communication transmission waveforms suitable for the lunar environment. The main contributions of our thesis include: proposing a new lunar surface channel model based on the unique lunar environment; providing an analysis of the applicability of OFDMA and SC-FDMA waveforms in lunar surface communication environments, which has important guiding significance for the design and optimization of communication systems in future lunar missions; verifying through simulation experiments that our designed hybrid system can provide efficient and reliable communication transmission performance while maintaining PAPR performance; and selecting the 4QAM modulation scheme and demonstrating its superior performance in lunar surface communication environments through simulation results, contributing to the reliability and efficiency of communication systems under extreme lunar conditions.
Section 2 delves into the lunar communication environment in detail, including an analysis of the H-ITM lunar radio wave propagation fading model and the calculation of path loss. Section 3 analyzes lunar surface communication requirements, covering various areas of lunar activities and their impact on the design of communication systems. Section 4 presents numerical results on the performance of the waveforms we designed for lunar communication, including simulation parameters and results for Peak-to-Average Power Ratio (PAPR) and Bit Error Rate (BER). Section 5 summarizes our research, emphasizing the applicability of OFDMA and SC-FDMA waveforms in the lunar environment and how our designed transmission structure meets the system-level performance requirements for lunar communication.
2. Lunar Communication Environment
We investigate the H-ITM lunar radio wave propagation fading model, analyzing the path loss of radio wave propagation [14]. It analyzes the typical radio wave propagation path loss prediction model, ITM, and studies the process of predicting path loss in H-ITM lunar radio wave propagation [15]. The different communication environments on the lunar surface are divided into free space segment, dual-path loss propagation segment [16], and spherical diffraction propagation segment, as shown in Figure 1.
Figure 1.
Propagation path of lunar electromagnetic waves.
Using the ITM model, the path propagation loss is calculated and divided into three parts based on the path distance: line-of-sight loss, diffraction loss, and scattering loss. The corresponding calculation formulas are as follows:
where the distance for the communication path is represented by d, while stands for the smooth ground distance corresponding to the transmitting and receiving antennas. This distance is also the boundary point between line-of-sight propagation and diffraction propagation, which is given by
where is the assumed distance for line-of-sight propagation, is the height of the transmitting antenna, is the height of the receiving antenna, k is the wave number, is the distance from the transmitting and receiving antennas to the effective reflecting surface.
For the path loss, is the minimum starting distance for calculating scattering loss, where the scattering loss equals diffraction loss, , , and represent the propagation losses at a specific point in free space, diffraction, and scattering, respectively. and are propagation loss coefficients. and are diffraction and scattering loss coefficients. and are coefficients related to antenna height and permittivity.
After the above derivation and calculation, in line-of-sight propagation, i.e., the dual-path loss segment, the channel loss calculation is formulated as
where , represents the equivalent reflection coefficient.
3. Analysis of Lunar Communication Requirements
Lunar activities encompass various fields such as lunar human life science experiments, interactions between heaven and earth, flag displays, lunar driving, scientific exploration, lunar soil sampling, and return missions [17]. Taking the Apollo program in the United States as an example, the Apollo 11 mission only involved astronaut activities, primarily focusing on system testing and exploratory tasks. However, in the Apollo 15 mission, a two-person lunar rover configuration was introduced, leading to extensive lunar activities involving both astronauts and the rover [18].
The success of the Chang’e lunar exploration missions has laid the foundation for future lunar exploration activities. These activities pose challenges to the design of lunar communication systems in terms of time and complexity. Given the complexity of scientific experiments and operational requirements, involving astronauts will enhance the complexity of lunar scientific experiments and exploration activities [19]. Astronauts possess advanced operational and judgment capabilities, thereby improving the scientific efficiency of lunar activities. The future mode of lunar activities involving humans will transition from small-scale, single-point activities to larger-scale operations, necessitating the gradual deployment of more robust infrastructure to support these endeavors [20]. In accordance with current manned lunar exploration plans, there is a target to send astronauts to the Moon, accompanied by lunar rovers, to carry out joint human–machine exploration activities on the lunar surface. Subsequent efforts will gradually extend the duration of astronauts’ stays on the lunar surface, expand the scope of their activities, and deepen the level of exploration [21].
The focus of the manned lunar activities will be scientific exploration. The first lunar activities will primarily involve collaborative human–machine operations and scientific exploration, including sampling activities [22]. In comparison to the Apollo program, the activities are more diverse, involving a greater variety of devices. The analysis of communication requirements for lunar surface activities is as follows:
(1) Transmission of audio and collected data from the lunar probe for real-time monitoring of the probe’s operational status and the ability to issue task commands. (2) Transmission of images depicting lunar surface activities of the lunar probe to showcase mission achievements. (3) Remote control of lunar rovers, scientific instruments, and other lunar surface activity support facilities to convey mission plans and obtain status data, ensuring the correct operation of the facilities. (4) Communication should have a certain level of reliability, with an error rate of up to , determined based on the importance of the business type. (5) Due to energy constraints, the communication process should be simple and reliable, aiming to reduce device power consumption. (6) Considering the curvature of the moon, communication distance is related to the height of antenna deployment. Therefore, taking into account the infrastructure, lunar rover mobility, and resource support, an initial communication distance of approximately 6 km for the lunar surface direct communication link is deemed appropriate. Further extending the communication distance will result in a manifold increase in implementation costs across various aspects. The detailed requirements and constraints analysis for various nodes in the lunar surface activities are shown in Table 1. Table 2 lists the parameters required for the simulation.
Table 1.
Communication requirements for lunar surface activities.
Table 2.
Simulation parameters.
4. Numerical Results
In this section, we assess and analyze the waveform performance designed for lunar communication. The key simulation parameters are outlined as follows. In both Frequency Division Duplex (FDD) and Time Division Duplex (TDD), the uplink and downlink bandwidths are set at 20 MHz and 10 MHz, respectively. The subcarrier spacing is configured as 15 KHz. Under the 20 MHz condition, the number of subcarriers and samples per symbol are specified as 1333 and 2048, respectively. For the 10 MHz scenario, the corresponding figures are 666 subcarriers and 1024 samples per symbol. Each subframe spans a time of 1ms, incorporating 14 OFDM symbols. We conducted separate simulation experiments to evaluate the Peak-to-Average Power Ratio (PAPR) and Bit Error Rate (BER) performance under TDD and FDD.
The impact of different Cyclic Prefix (CP) lengths on BER performance is shown in Figure 2a–d. Based on the simulated attenuation in the lunar communication environment, we experimentally verified the optimal CP lengths in two duplex modes to complete the overall design of the communication system. In both TDD and FDD modes, the communication bandwidth for uplink and downlink on the lunar channel is set at 20 MHz and 10 MHz, respectively, with a delay of s in the multipath channel. For the uplink communication, OFDMA is used, while SC-FDMA is used for the downlink communication.
Figure 2.
BER performance versus the length of CP. (a) Uplink BER performance versus the length of CP in 20 MHz bandwidth. (b) Downlink BER performance versus the length of CP in 20 MHz bandwidth. (c) Uplink BER performance versus the length of CP in 10 MHz bandwidth. (d) Downlink BER performance versus the length of CP in 10 MHz bandwidth.
In Figure 3, we compare the performance under different modulation schemes, including 16APSK, 32APSK, and 64APSK, for both 10 MHz and 20 MHz scenarios. It can be observed that the performance difference across various bandwidths is not significant; however, the modulation scheme has a substantial impact on the variation of the bit error rate.
Figure 3.
Performance comparison of different modulation methods. (a) Performance comparison of different modulation methods for 20 M bandwidth. (b) Performance comparison of different modulation methods for 10 M bandwidth.
We simulated and calculated the BER performance under different CP lengths and plotted the curves for comparison. In the TDD, we set CP lengths to 0, 36, 72, 100, and 144. The cumulative time is greater than 140 CP, so we observe that when CP equals 144, the BER performance steadily improves with increasing Signal-to-Noise Ratio (SNR). When the cumulative CP time is less than the delay, BER performance remains unchanged.
For the FDD, we set CP lengths to 0, 18, 36, and 72. The cumulative time is greater than 70 CP, so we observe that when CP equals 72, BER performance steadily improves with increasing SNR. When the cumulative CP time is less than the delay, BER performance remains unchanged. From the curve analysis, it is determined that the lower limit of the added CP length to ensure communication system performance is the upper limit of the delay, which is one symbol period.
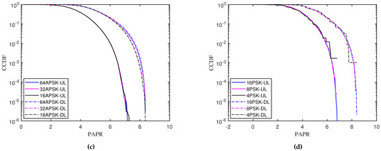
In both TDD and FDD modes, we conducted a comprehensive comparison of phase shift keying (PSK), amplitude phase shift keying (APSK), and quadrature amplitude modulation (QAM) modulation schemes across various orders in both the uplink and downlink scenarios. In the TDD, The performance comparison is shown in Figure 4a–d. In the FDD, The performance comparison is shown in Figure 5a–d. CCDF stands for Complementary Cumulative Distribution Function. Specifically, for APSK modulation, we examined orders 4, 5, and 6, for PSK orders 2, 3, and 4, and for QAM orders 2, 4, and 6. Additionally, we scrutinized the PAPR for different modulation schemes at order 4. In the downlink, communication utilizes OFDMA, whereas the uplink employs SC-FDMA. The impact of modulation order on PAPR remains consistent across the same modulation scheme. At modulation order 4, SC-FDMA exhibits the optimal PAPR performance under PSK modulation. For the OFDMA, the optimal PAPR performance is achieved with QAM modulation.
Figure 4.
Comparison of PAPR for different modulation schemes and orders. (a) Comparison of PAPR for different modulation schemes under 20 MHz bandwidth. (b) Comparison of PAPR for different modulation orders of QAM under 20 MHz bandwidth. (c) Comparison of PAPR for different modulation orders of APSK under 20 MHz bandwidth. (d) Comparison of PAPR for different modulation orders of PSK under 20 MHz bandwidth.

Figure 5.
Comparison of PAPR for different modulation schemes and orders. (a) Comparison of PAPR for different modulation schemes under 10MHz bandwidth. (b) Comparison of PAPR for different modulation orders of QAM under 10MHz bandwidth. (c) Comparison of PAPR for different modulation orders of APSK under 10MHz bandwidth. (d) Comparison of PAPR for different modulation orders of PSK under 10MHz bandwidth.
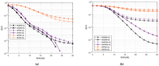
The impact of different modulation schemes on BER performance is shown in Figure 6a–d. Based on the simulated results of CP lengths obtained earlier, we chose 144 CP for TDD and 72 CP for FDD as the system parameters for modulation scheme simulation. We conducted a detailed comparative analysis of the BER performance for QAM, APSK, and PSK with the same order of modulation in both uplink and downlink transmissions. In this process, OFDMA was used for uplink communication, while SC-FDMA was employed for downlink communication.

Figure 6.
Comparison of BER performance for different modulation schemes. (a) Comparison of QAM and PSK modulation BER performance in 20 MHz bandwidth. (b) Comparison of BER performance for different modulation schemes in 20 MHz bandwidth. (c) Comparison of QAM and PSK modulation BER performance in 10 MHz bandwidth. (d) Comparison of QAM and PSK modulation BER performance in 10 MHz bandwidth.
It is worth noting that the simulation results clearly indicate that, across all modulation schemes, the BER performance for downlink transmission is superior to that for uplink transmission. Among the same-order modulation schemes, QAM modulation exhibits the most superior BER performance. Between APSK and PSK, the performance of APSK is significantly better than that of PSK. Therefore, in the design of the transmission system, we opt for the 4QAM modulation scheme, which demonstrates the optimal performance.
5. Conclusions
In this paper, our research focused on addressing the unique challenges posed by the lunar environment to communication systems. With the goal of ensuring the reliability and stability of communication systems for lunar missions, we investigated the applicability of OFDMA and SC-FDMA waveforms. Our study incorporated performance indicators such as PAPR and BER, essential for evaluating communication system effectiveness. We identified the optimal modulation scheme and cyclic prefix length tailored for the lunar environment. Notably, our findings reveal that the cyclic prefix length in our communication system surpasses the delay, indicating its ability to effectively handle signal attenuation and frequency-selective fading. Additionally, the incorporation of multi-carriers addresses the challenges posed by frequency-selective fading, further enhancing the robustness of our designed communication system.
Moreover, we adopted a 4QAM modulation method, and our simulation results underscore its excellent performance in the lunar surface communication environment. This choice contributes to the overall reliability and efficiency of the communication system in the face of extreme lunar conditions. The outcome of our research demonstrates that the transmission structure we designed meets the system-level performance requirements for lunar communication. These insights are invaluable for the future design and optimization of communication systems for lunar missions. By paving the way for the seamless integration of advanced ground technologies in extraterrestrial environments, our work contributes to the ongoing efforts in space research and exploration, particularly in facilitating the return of humans to the moon.
Author Contributions
Conceptualization, M.J. and C.Z.; methodology, J.L.; software, Z.W. and D.Y.; validation, W.S.; writing—original draft preparation, H.W.; writing—review and editing, D.L.; funding acquisition, M.J. All authors have read and agreed to the published version of the manuscript.
Funding
This work was supported by National Natural Science Foundation of China No. 62231012.
Data Availability Statement
Data is contained within the article.
Conflicts of Interest
The authors declare no conflicts of interest.
References
- Li, C.; Wang, C.; Wei, Y.; Lin, Y. China’s present and future lunar exploration program. Science 2019, 365, 238–239. [Google Scholar] [CrossRef] [PubMed]
- Israel, D.J.; Mauldin, K.D.; Roberts, C.J.; Mitchell, J.W.; Pulkkinen, A.A.; Cooper, L.V.D.; Johnson, M.A.; Christe, S.D.; Gramling, C.J. LunaNet: A Flexible and Extensible Lunar Exploration Communications and Navigation Infrastructure. In Proceedings of the 2020 IEEE Aerospace Conference, Big Sky, MT, USA, 7–14 March 2020; pp. 1–14. [Google Scholar] [CrossRef]
- teja Nallapu, R.; Vance, L.D.; Xu, Y.; Thangavelatham, J. Automated design architecture for lunar constellations. In Proceedings of the 2020 IEEE Aerospace Conference, Big Sky, MT, USA, 7–14 March 2020; IEEE: Piscataway, NJ, USA, 2020; pp. 1–11. [Google Scholar]
- Wang, S. Terahertz Emission Modeling of Lunar Regolith. Remote Sens. 2024, 16, 4037. [Google Scholar] [CrossRef]
- Khattak, S.B.A.; Nasralla, M.M.; Farman, H.; Choudhury, N. Performance Evaluation of an IEEE 802.15.4-Based Thread Network for Efficient Internet of Things Communications in Smart Cities. Appl. Sci. 2023, 13, 7745. [Google Scholar] [CrossRef]
- Bhamidipati, S.; Iiyama, K.; Mina, T.; Gao, G. Time-transfer from terrestrial gps for distributed lunar surface communication networks. In Proceedings of the 2022 IEEE Aerospace Conference (Aero), Big Sky, MT, USA, 5–12 March 2022; IEEE: Piscataway, NJ, USA, 2022; pp. 1–15. [Google Scholar]
- Simons, R.N. Cognitive Tapered Slot Circular Array Antenna for Lunar Surface Communications. In Proceedings of the 2021 IEEE Cognitive Communications for Aerospace Applications Workshop (CCAAW), Cleveland, OH, USA, 21–23 June 2021; IEEE: Piscataway, NJ, USA, 2021; pp. 1–6. [Google Scholar]
- Ochiai, H.; Morikawa, Y.; Mizutani, K.; Harada, H. An Enhanced Channel Estimation for IEEE 802.15. 4 OFDM Receiver in High-speed Mobile IoT Communication Systems. IEEE Internet Things J. 2023, 10, 11910–11921. [Google Scholar] [CrossRef]
- Chae, J.; Choi, J.; Kim, J.; Cho, J.H. A Low-Complexity Widely-Linear MMSE Equalizer for DFT-Spread OFDM with Frequency-Domain Spectrum Shaping. IEEE Trans. Wirel. Commun. 2023, 23, 3465–3479. [Google Scholar] [CrossRef]
- Tugtekin, O.F.; Dogukan, A.T.; Arslan, E.; Basar, E. Coordinate Interleaved OFDM with Repeated In-Phase/Quadrature Index Modulation. IEEE Trans. Wirel. Commun. 2023, 23, 117–127. [Google Scholar] [CrossRef]
- Ge, Y.; Tan, X.; Ji, Z.; Zeng, Y.; Zhang, Z.; You, X.; Zhang, C. Approximate Message Passing MIMO Detector with Frequency Domain Initialization for SC-FDMA. IEEE Trans. Veh. Technol. 2023, 73, 4801–4813. [Google Scholar] [CrossRef]
- Marey, M.; Mostafa, H. STBC identification for multi-user uplink SC-FDMA asynchronous transmissions exploiting iterative soft information feedback of error correcting codes. IEEE Access 2022, 10, 21336–21346. [Google Scholar] [CrossRef]
- Kumar, S.; Majhi, S. Design and Testbed Implementation of Multiuser CFOs Estimation for MIMO SC-FDMA System. IEEE Trans. Signal Process. 2022, 70, 1880–1889. [Google Scholar] [CrossRef]
- Divsalar, D.; Net, M.S.; Cheung, K.M. Acquisition and tracking for communications between Lunar South Pole and Earth. In Proceedings of the 2019 IEEE Aerospace Conference, Big Sky, MT, USA, 2–9 March 2019; IEEE: Piscataway, NJ, USA, 2019; pp. 1–14. [Google Scholar]
- Divsalar, D.; Net, M.S.; Cheung, K.M. Comparing Performance of Coded Communications over fading channels between the Lunar South Pole & Earth. In Proceedings of the 2022 IEEE Aerospace Conference (AERO), Big Sky, MT, USA, 5–12 March 2022; IEEE: Piscataway, NJ, USA, 2022; pp. 1–11. [Google Scholar]
- Toonen, R.C.; Booth, S.L.; Welch, B.W.; Zemba, M.J. Optimizing Lunar Map Partitioning for Multipath Fade Loss Analyses. IEEE J. Radio Freq. Identif. 2022, 6, 284–291. [Google Scholar] [CrossRef]
- Raza, W.; Abele, E.; O’Hara, J.; Sadr, B.; LoPresti, P.; Imran, A.; Choi, W.; Song, I.; Altunc, S.; Kegege, O.; et al. Toward a Hybrid RF/Optical Lunar Communication System (LunarComm). IEEE Netw. 2022, 36, 76–83. [Google Scholar] [CrossRef]
- Dudukovich, R.; Gormley, D.; Kancharla, S.; Wagner, K.; Short, R.; Brooks, D.; Fantl, J.; Janardhanan, S.; Fung, A. Toward the development of a multi-agent cognitive networking system for the lunar environment. IEEE J. Radio Freq. Identif. 2022, 6, 269–283. [Google Scholar] [CrossRef]
- Lu, F.; Yamaguchi, A.; Takeuchi, K.; Shinbo, H. Experimental Investigation of the Reflection Characteristics of a Flat Lunar Surface. In Proceedings of the 2022 IEEE International Conference on Wireless for Space and Extreme Environments (WiSEE), Winnipeg, MB, Canada, 12–14 October 2022; IEEE: Piscataway, NJ, USA, 2022; pp. 23–28. [Google Scholar]
- Ware, J.; Davarian, F. Lunar Communications Services with Emphasis on Commercialization. In Proceedings of the 2022 IEEE Aerospace Conference (AERO), Big Sky, MT, USA, 5–12 March 2022; IEEE: Piscataway, NJ, USA, 2022; pp. 1–10. [Google Scholar]
- Jiao, J.; He, Y.; Wang, Y.; Wu, S. Design and analysis of novel Ka band NOMA uplink relay system for Lunar farside exploration. China Commun. 2020, 17, 1–14. [Google Scholar] [CrossRef]
- Schonfeldt, M.; Grenier, A.; Delépaut, A.; Giordano, P.; Swinden, R.; Ventura-Traveset, J.; Blonski, D.; Hahn, J. A system study about a lunar navigation satellite transmitter system. In Proceedings of the 2020 European Navigation Conference (ENC), Dresden, Germany, 23–24 November 2020; IEEE: Piscataway, NJ, USA, 2020; pp. 1–10. [Google Scholar]
Disclaimer/Publisher’s Note: The statements, opinions and data contained in all publications are solely those of the individual author(s) and contributor(s) and not of MDPI and/or the editor(s). MDPI and/or the editor(s) disclaim responsibility for any injury to people or property resulting from any ideas, methods, instructions or products referred to in the content. |
© 2024 by the authors. Licensee MDPI, Basel, Switzerland. This article is an open access article distributed under the terms and conditions of the Creative Commons Attribution (CC BY) license (https://creativecommons.org/licenses/by/4.0/).