Abstract
Positioning using ultra-wideband (UWB) signals can be used to achieve centimeter-level indoor positioning. UWB has been widely used in indoor localization, vehicle networking, industrial IoT, etc. However, due to non-line-of-sight (NLOS) and multipath interference problems, UWB cannot provide adequate position information, which affects the final positioning accuracy. This paper proposes an adaptive UWB/PDR localization algorithm based on the maximum point-by-point distance to solve the problems of poor UWB performance and the error accumulation of the pedestrian dead reckoning (PDR) algorithm in NLOS scenarios that is used to enhance the robustness and accuracy of indoor positioning. Specifically, firstly, the cumulative distribution function (CDF) map of localization under normal conditions is obtained through offline pretraining and then compared with the CDF obtained when pedestrians are moving on the line. Then, the maximum point-by-point distance algorithm is used to identify the abnormal base stations. Then, the standard base stations are filtered out for localization. To further improve the localization accuracy, this paper proposes a UWB/PDR algorithm based on an improved adaptive extended Kalman filtering (EKF), which dynamically adjusts the position information through the adaptive factor, eliminates the influence of significant errors on the current position information and realizes multi-sensor fusion positioning. The realization results show that the algorithm in this paper has a solid ability to identify abnormal base stations and that the adaptive extended Kalman filtering (AEKF) algorithm is improved by 81.27%, 58.50%, 29.76%, and 18.06% compared to the PDR, UWB, EKF, and AEKF algorithms, respectively.
1. Introduction
Along with developing location-based services (LBS), indoor localization has gradually become an important research direction and hotspot. According to statistics, 80% of location-based services are used in indoor scenarios [1]. However, problems such as architectural shading limit the Global Navigation Satellite System (GNSS) in indoor environments. To provide location services indoors, indoor positioning schemes based on wireless positioning technology have been widely studied, including wireless fidelity (Wi-Fi) [2], Bluetooth [3], cellular mobile networks [4], radio frequency identity (RFID) [5], ZigBee [6], geomagnetic [7], ultra-wideband (UWB) [8] and inertial measurement units (IMUs) [9]. Domestic and foreign researchers have focused on multi-sensor fusion localization technology to reduce positioning errors and improve the positioning system’s accuracy, continuity, and reliability. Kalman filtering (KF) has been widely used in sensor fusion research, including extended Kalman filtering (EKF), unscented Kalman filtering (UKF), adaptive Kalman filtering (AKF), and so on. However, constructing filtering models rationally and effectively in complex indoor environments is a significant challenge nowadays.
In the last few years, UWB technology has advanced rapidly. In comparison to other sensors, UWB can provide centimeter-level accuracy, as well as insensitivity to channel fading, low power spectral density of transmitted signals, low interception capacity, and low system complexity, which makes it an ideal localization method; however, its signals are susceptible to occlusion, and its dynamic performance indoors is susceptible and its arrangement cost is high, making it unsuitable for large-scale deployment. Its main localization algorithms include the time of arrival (TOA) [10], time difference of arrival (TDOA) [11], two-way ranging (TWR), angle of arrival (AOA), and received signal strength (RSS) [12] methods. Reference [13] proposes a hybrid observer for UWB-based indoor localization using a combination of TOA and inertial measurements, addressing challenges such as lower update rates and single-beacon communication. The relevance of this work lies in its focus on combining sparse UWB data with IMU measurements. Since the phenomenon of non-line-of-sight (NLOS) is frequent in complex indoor environments, this results in the round-trip time between the UWB tag and the base station (BS) increasing the error due to the influence of the non-line-of-sight environment and the accuracy of the localization results decreasing. In order to solve this problem, reference [14] recognizes and classifies NLOS/LOS signals by using a deep learning model with CNN-LSTM. Marano et al. [15] proposed a method to extract features using SVM for differences in CPR under LOS/NLOS conditions and then perform NLOS signal identification and mitigation. Yang [16] introduced conceptions of the “virtual inertial point” and “environmental factor” and used the environmental factor as a weighting factor to merge the coordinates of the virtual inertial points with the measurement results to obtain the coordinates compensated under non-line-of-sight. Kim et al. [17] designed a system to train the ranging error between the CIR of a received UWB signal and the corresponding UWB device. EKF localization and LSTM training on the observed channel states mitigate the degradation of localization performance caused by non-channel conditions. Reference [18] introduces one dual Kalman filter (KF) based on a single direction under a colored measurement noise (CMN) scheme, which is developed herein to improve the robustness and operational efficiency. The study findings highlight the importance of computational considerations in indoor localization algorithms, providing useful insights for comparisons with the proposed method. Most researchers have used deep learning when dealing with the NLOS case, and while this improves the performance of the system, it may also lead to localization that requires a large amount of data to achieve good performance with limited generalization capabilities. The pedestrian dead reckoning (PDR) algorithm uses accelerometer and gyroscope sensor data to deduce the real-time traveling length and direction of pedestrians and calculates the relative position by accumulating them to achieve positioning [1]. However, PDR technology has the problem of error accumulation after a long period of time, leading to a decrease in positioning accuracy. Reference [19] mitigated the error accumulation at each step by using zero velocity update (ZUPT). Mehrabian et al. [20] used weight-based optimization (WBO) to optimize the raw RSSI values, converted the RSSI values into distances using particle swarm optimization (PSO), and finally, fused the RSSI and PDR results using KF, reducing cumulative error in PDR. Jiang et al. [21] implemented smartphone-based combined PDR/GNSS positioning via KF and factor graph optimization (FGO), correlating the state with the waypoint derivation algorithm to effectively improve the position accuracy of smartphones. The current solution for PDR error accumulation is mainly to use multi-sensor combination navigation.
At this stage, it is difficult for indoor positioning algorithms based on a single sensor to achieve high-accuracy positioning services in small and cluttered indoor environments. Multi-sensor positioning, which is a fusion of the advantages of different sensors to improve positioning accuracy to cope with complex indoor environments, is now the mainstream trend in the development of indoor positioning. Reference [22] uses UWB range information and INS for combined navigation and iteratively extends the Kalman filter to handle multi-sensor data fusion; however, when the amount of UWB range information varies dynamically, the method needs to reconstruct the measurement equations. Li et al. [23] developed a combined SINS/DVL navigation algorithm based on variable-structure multi-models, in which a group of ocean current velocity models is set up, activated, and terminated according to a certain strategy during the filtering process. However, this method requires the presetting of multiple measurement models, which leads to the problems of high cost-effectiveness and memory consumption. Aiming at the random error of PDR and the susceptibility of UWB to the external environment, Guo et al. [24] proposed an improved PDR/UWB system, which dynamically adjusts noise distribution using a non-line-of-sight evaluation function and improves the fusion localization accuracy by utilizing a variable noise variance Kalman filter. Sun et al. [25] proposed an improved particle filtering algorithm to solve the particle degradation problem by using gene mutation and reconstructing the particle set, as well as a fused indoor localization method, which incorporates pedestrian dead reckoning (PDR) and geomagnetic localization. However, the PF algorithm is computationally heavy and slow compared to the EKF, and the improved GPF algorithm adds to this burden.
The abovementioned studies have shown that multi-sensor combination navigation can achieve better positioning accuracy, but they ignore the dynamic nature of indoor positioning systems. The adaptive Kalman filtering algorithm resists the effect of coarseness on dynamic models. Currently, Kalman filtering is used in a wide range of applications in the field of positioning, such as SLAM [26], UWB/GNSS single-point positioning [27], in-vehicle INS/GPS [28], and radar tracking [29]. Li et al. [30] fused WiFi/PDR localization using the AKF, which effectively suppressed the jumping or accumulating phenomenon of wireless positioning, as well as the problem of PDR error accumulation, by determining the dynamic noise of the filtering based on the characteristic case of pedestrian movement. Pittet et al. [21] used the extended Kalman filtering technique for PDR/UWB fusion. However, EKF does not yield positive outcomes and even causes filter divergence for nonlinear systems. Lee et al. [31] implemented a fusion algorithm for UWB/U-PDR based on Kalman filtering, using deep learning to train pedestrian steps and step lengths, as well as using UWB-assisted PDR (U-PDR). However, this algorithm does not take into account the effect of dynamic model errors.
In this paper, a base station screening algorithm based on maximum point-by-point distance is proposed to address the problem of degradation of UWB localization accuracy in an NLOS environment. Then, this paper uses an improved EKF algorithm to further integrate the PDR algorithm into the UWB positioning results. The algorithm adjusts the weight between UWB and PDR according to the adaptive factor and then uses the adaptive calibration factor to adjust the position information to eliminate the influence of larger errors on the current position information, thus improving the robustness and accuracy of the UWB positioning system.
The article is divided into four sections. Section 2 introduces the principle of the maximum point-by-point distance algorithm, the principle of UWB positioning, the principle of PDR positioning, and the improved adaptive Kalman filter algorithm. Section 3 demonstrates and analyzes the algorithm using experimental data, and Section 4 analyzes and concludes the algorithm.
2. Materials and Methods
2.1. Abnormal Base Station Identification System
Assuming that there are base stations in the environment, whose ranging method is TDOA, Z ranging results can be obtained, these Z results are used to build a ranging model, and the estimated coordinates of the base stations are solved using the least squares method. When N of these base stations are affected by obstacles, it increases the localization error . Then, when this BS is used for positioning, it will reduce the positioning accuracy. Therefore, the problem considered in this section is how to filter out abnormal base stations from base stations and then use the remaining normal base stations for localization in order to improve the localization accuracy.
2.1.1. Maximum Point-by-Point Distance Algorithm
The main purpose of abnormal base station identification is to identify abnormal base stations from all base stations; the principle is to use the maximum point-by-point distance of the cumulative distribution function (CDF) to identify the set of normal UWB base stations and the set of base stations containing abnormal base stations and, ultimately, to filter out the set of normal UWB base stations to be used for localization and reduce the influence of the abnormal base stations on the localization.
CDF describes the probability that a random variable, X, will take a value less than or equal to a specific value, x. It is widely used in probability and statistics to study the distribution of random variables. For a random variable, X, the CDF is defined as . Here, represents the probability that X is less than or equal to x.
Suppose there are two CDFs, denoted and , which represent the cumulative distributions of two random variables. To obtain the maximum point-by-point distance between and , we first have to calculate every possible value of x, i.e., the absolute value of the difference between and , i.e., . Then, we find the maximum of all CDF differences by traversing, i.e., .
2.1.2. Comparison of CDF Between Normal and Abnormal Base Stations
The anomalous base station discrimination algorithm proposed in this paper first locates the randomly selected test points offline, letting their corresponding location be . Then, the corresponding location estimation result, , can be obtained based on the TDOA localization algorithm, and the localization error is , where denotes the vector norm.
Next, the corresponding CDF result, denoted as , can be obtained by sorting . When in the subsequent time course, with the change in the environment, there may be some base stations whose ranging noises become larger, whose signals are blocked, or whose positions are changed, resulting in anomalies of the base stations, which bring about a large positioning error. It is assumed that in the subsequent localization of the above test points, the CDF is . We calculate the maximum point-by-point distance, Q, between the two curves based on the algorithm in Section 2.1.1.
As shown in Figure 1, when only five base stations are used for localization, there is a significant difference between the two CDF diagrams depicting the positioning of the CDF when all five base stations are normal and the positioning of the CDF when the ranging noise increases significantly at the fifth base station (assuming that the signal is blocked or there are other anomalies at the BS). According to the CDFs of the two, it can be determined that there is an abnormal positioning of the base station at this time.
Figure 1.
Comparison of normal and abnormal localization CDFs for base stations.
Based on Figure 1 and the experimental results of multiple simulation experiments, this paper sets the hyperparameters ; the equations are obtained as follows:
2.1.3. Anomalous Base Station Identification Algorithm
Through the presentation and analysis in Section 2.1.2, we note that the differences between CDFs are small when different combinations of normal base stations are used for positioning. Therefore, we first determine the CDF results, , offline and identify anomalous base stations by gradually reducing the number of base stations. The process is as follows:
Step 1: Assuming that there are anomalous base stations among the current base stations, the set of normal base stations is selected for localization, with a total of selection methods;
Step 2: Based on the Q subset of base stations, the CDF results for the combination of Q base stations are calculated;
Step 3: Compare the CDF results with the CDF results determined offline to calculate the maximum point-by-point distance;
Step 4: Select a subset of base stations from the point-by-point distances, which have point-by-point distances that are less than ;
Step 5: The combination of base stations from which the point-by-point distance is minimized is selected as the final robust base station required.
2.2. UWB Positioning System
A wireless sensor network using UWB usually consists of a number of base stations (BS), also known as the anchor node (AN), and the target node (TN), also known as the tag, which are positioned using the communication signals between the AN and the TN. In this paper, the TDOA method is adopted, which has a fast calculation speed and a small number of errors and is suitable for real-time accurate positioning. Its basic principle is to select the moment when a certain AN receives the signal as the reference and the moment when other ANs receive the signal minus the reference AN. In a TDOA-based positioning system, at least three ANs are usually required to determine the location of each TN [8].
A typical UWB positioning system model consists of ANs and one TN, with the distance between each AN and TN calculated as follows:
where is the moment when the th AN receives the UWB signal, ; is the moment when the TN transmits the signal; is the UWB signal propagation speed in space; and is the distance between the lth AN and the TN. For each , the coordinate relationship between the corresponding AN and TN satisfies Equation (3).
Here, the unknown tag is located at and the th AN is located at . Each distance determines the equation for the location of the unknown label, as follows:
Subtracting the first equation from all equations eliminates the effect of and only requires time synchronization to be completed between the ANs. Thus, we obtain the following equation:
where
Finally, we can use least squares (LS) to obtain a solution of as follows:
2.3. PDR Positioning System
PDR is an IMU-based positioning method that infers the pedestrian’s position by detecting the number of steps and estimating the step length and heading. It is especially suitable for environments with weak GPS signals, such as indoors. The pedestrian’s position is updated based on the pedestrian’s previous position, current distance traveled, and heading. The position update equation can be expressed as follows:
where and denote the current position of the pedestrian in the north and east directions, respectively; and represent the pedestrian’s position in the north and east directions at the previous moment in time; denotes estimated pedestrian step length; and refers to the heading angle.
Achieving pedestrian heading estimation, step detection, and step length estimation are the main problems of PDR. In this paper, we have accomplished heading estimation for pedestrians by using the AHRS method [32]. By sensing the gravity component through acceleration, the pitch and roll angles of the carrier can be calculated; the magnetometer can sense the magnetic north direction, so the magnetic north heading of the carrier can be calculated; the gyroscope measures the rotational angular velocity of the output carrier; the roll, pitch, and heading increments can be calculated through integration; and the instantaneous output values of the accelerometer and magnetometer are used to correct the gyro.
The accelerometer measurements are then used to detect the number of steps taken by the pedestrians, using the crest and trough detection method to detect whether the pedestrians took a step or not. Using the sum of the three-axis accelerometers, the calculation formula is expressed as follows:
where , and denote the acceleration measurements on the x, y, and z axes, respectively, and denotes the sum of the three-axis accelerometer measurements.
Finally, we use the Weinberg empirical model to achieve step size estimation by estimating the step size from the difference (amplitude) between the peaks and valleys of the acceleration measurements [33]. The equation is as follows:
where a denotes the step size of the k step; and refer to the maximum and minimum values of accelerometer amplitude, respectively; and is an empirically defined constant factor. To further improve the performance of PDR, the coefficient constant k can be trained in conjunction with deep learning methods. This is a direction that can be improved in future work.
2.4. Improved UWB and PDR Fusion Algorithm Based on Adaptive Kalman Filtering
2.4.1. EKF-Based UWB/PDR Fusion Localization Model
PDR is a technique that uses IMU data for pedestrian position estimation, which is highly accurate and continuous for short periods of time. However, due to the accumulation of errors, positioning accuracy decreases over time. Although UWB is used for indoor pedestrian positioning with high accuracy without worrying about the accumulation of errors, because of the indoor conditions’ complexity, there are often occluded environments, which can greatly affect the positioning accuracy of UWB. So, we used extended Kalman filtering to achieve UWB and PDR position fusion to reduce the error accumulation and signal occlusion problems and improve the positioning accuracy. Using the coordinates of the north and east directions and the heading angle as state variables, the dynamics model for UWB/PDR fusion can be expressed as follows:
where denotes the state vector, and denote the northward coordinates at moments k and k − 1, respectively; and denote the eastward coordinates at moments k and k − 1, respectively; denotes the displacement at moment k; and denote the heading angles at moments k and k−1, respectively; is the heading angle increment relative to the k-1 moment; and is process noise obeying a normal distribution.
The observation equations are as follows:
where denotes the observation variable containing the northward and eastward coordinates obtained using uwb localization and the displacement and heading angle obtained using PDR; and respectively denote the northward and eastward coordinates of the uwb localization at moment k; denotes the position at moment k obtained using PDR; denotes the heading angle at moment k obtained using PDR; and is the observation residuals.
The state transfer matrix F is obtained by solving the Jacobi matrix for the state equation .
Solving the Jacobi matrix for the observation equation yields the observation matrix .
Although the relationship between the observed heading angle and state variables can be established with the help of the inverse tangent formula with the northward and eastward coordinates at the k and k − 1 moments, the value domain of the inverse tangent function is , which is different from the expression of the actual heading angle. In addition, it is necessary to process the actual heading angle in order to correspond to it; therefore, in this paper, the heading angle is used as a state variable, which corresponds to the observed heading angle at the same time.
The EKF algorithm is divided into two parts, the prediction phase and the update phase. When the observations are obtained, it combines the abovementioned state and observation equations for the fusion localization of UWB and PDR, for which the prediction formula is as follows:
Then, the Kalman gain is calculated to update the system, and the update equation is as follows:
where and denote the optimal estimates of the UWB/PDR state variables at the k − 1 and k moments, respectively; and are the covariance matrices of the state variables of the UWB/PDR at moments k − 1 and k, respectively; denotes the state prediction of the UWB/PDR system; is the process noise covariance matrix; is the covariance matrix of the state prediction values; is the observation noise covariance matrix; is the noise-driving matrix; is the process noise; and is the Kalman gain matrix.
2.4.2. Improved UWB/PDR Fusion Localization Model Based on AEKF
In the previous section is the fusion of UWB and PDR positioning information using the EKF algorithm. However, the model established in practical applications has uncertainty, which will cause the filtering performance to deteriorate and the positioning accuracy of the EKF model to gradually converge with the increment of time, resulting in the gradual reduction of the correlation between the current state prediction value and the positioning data of the previous moment. In order to address this problem, this paper proposes an improved adaptive EKF fusion filtering algorithm based on the standard EKF. The adaptive calibration factors, λ, are proposed, and λ is used to dynamically adjust the position information first to eliminate the influence of large errors on the current position information. Then, noises Q and R are adaptively adjusted. The distance threshold g is determined through multiple experiments by using the difference, , between the localization coordinates of the UWB at the previous moment and the localization coordinates of the current UWB, as well as the difference, , between the localization coordinates of the PDR at the previous moment and the localization coordinates of the current PDR. The comparison between and g is used as a condition for determining whether an anomaly has occurred in the positioning coordinates; the adaptive calibration factor λ can be obtained using the following equation:
where indicates that the measurement information is normal, and indicates that the measurement information is abnormal.
Adaptive calibration factor λ is used to adjust estimate Pi, which in turn adaptively adjusts the one-step prediction in the EKF, as follows:
where A is the state transfer matrix, and Q is the process noise covariance matrix [34].
In the next step, which is an adaptive adjustment of the measurement noise R, the equation is as follows:
where denote the UWB individual localization result and the fused localization result at moment k, respectively. The initial measurement noise matrix R = diag (0.1, 0.1, 0.1), 0.05 is an empirical parameter based on several experiments and is the weighting factor to adjust the UWB and PDR weights. According to this equation, it can be shown that when the difference between the localization results of UWB and fusion is large, the measurement noise R-value is designed to be larger, thus trusting the results of the PDR more in order to adaptively and dynamically adjust the weights between UWB and PDR.
Based on the equations above, the principle of the UWB/PDR fusion positioning system in this paper is shown in Figure 2, including the PDR positioning system, the UWB positioning system, and the improved adaptive EKF algorithm. Taking the PDR positioning system as the main reference system, the algorithm dynamically fuses the positioning information of UWB and PDR by adding an improved adaptive calibration factor and uses the positioning information of UWB to correct the positioning information of PDR to decrease the cumulative error of PDR and the NLOS interference of UWB.
Figure 2.
UWB/PDR fusion positioning system process.
3. Results
In order to verify the effectiveness of the two algorithms proposed in this paper, experimental tests were conducted to verify them.
3.1. Experiment Device
In this experiment, the DW1000 is used as the core UWB chip, and an STM32F103CBT6 microcontroller is used as the main control MCU. The DW1000 is manufactured by Decawave, based in Dublin, Ireland. STM32F103CBT6 microcontroller is manufactured by ST, a multinational company based in Paris, France. It supports six frequency bands from 3.5 G to 6.5 G; the maximum distance is 150 m; the module size is 60 × 60 × 20 mm; the ranging accuracy is ±5 cm; the max communications rate is 6.8 Mbps; and synchronization between UWB stations is required. The MEMS hardware utilizes the MPU9250, which contains a three-axis accelerometer and a three-axis gyroscope. The MPU9250 is manufactured by Invensense, a company based in Sunnyvale, CA, USA. The features of the MPU9250 are as follows: the gyroscope (gyro) full-scale range is ±2000°/s; the gyro rate noise is 0.01 dps/Hz; the gyro operating current is 3.2 mA; the accelerometer (accel) full-scale range is ±16 g; the accel sensitivity is ±4800 LSB/g; and the accel operating current is 450 uA. The device is shown in Figure 3.
Figure 3.
UWB station (left); UWB tag (right).
To achieve synchronization between UWB stations, the time-sync protocol for sensor networks (TPSN) algorithm is used in this paper. It utilizes the two-way beacon exchange mechanism to complete synchronization and has the advantages of high precision, high reliability, and good scalability. The TPSN algorithm consists of four main steps: master selection, synchronization, calibration, and synchronization completion. At the beginning of the synchronization, one node is randomly selected as the master clock, which is responsible for sending beacons to the other nodes (the beacons contain the timestamp of the master clock) and calibrating the time difference of all nodes. The other nodes receive the beacon, calculate the beacon arrival time, and calculate the time difference between the local clock and the master clock based on the beacon arrival time. All nodes send the calculated time difference to the master clock. The master clock averages the time difference of all nodes and uses the average value as the time difference of all nodes. All nodes take the average value as the time of the local clock, and synchronization is complete.
3.2. Anomalous Base Station Based on Maximum Point-by-Point Distance
In order to verify the effectiveness of the algorithm, NLOS influence is added to one of the base stations, and to facilitate the comparison of the experimental results, we masked the fifth base station as an abnormal base station. Then, the localization under the conditions of all five base stations being normal and the fifth base station being abnormal were carried out, and their localization CDF plots were obtained, as shown in Figure 4.
Figure 4.
Comparison test of normal base station and abnormal base station localization.
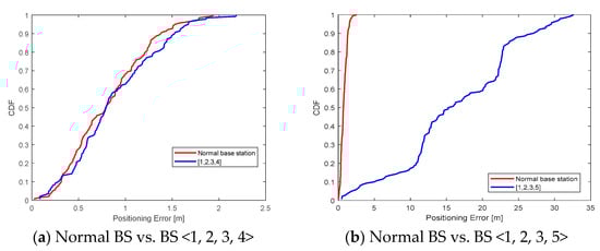
According to our proposed abnormal base station identification algorithm, following the steps of the algorithm, five sets with four sub-base stations are first selected from five base stations, and the base stations contained in the five sub-base station sets are <1, 2, 3, 4>, <1, 2, 3, 5>, <1, 3, 4, 5>, <1, 2, 4, 5>, <2, 3, 4, 5>, and <2, 3, 4, 5>, respectively. We have determined through several experiments that the optimal threshold for the empirical parameter is around 0.2. A threshold that is too large will result in base stations in the set containing abnormal base stations, while a threshold that is too small will result in a failure to screen normal base stations. Figure 5 shows the CDF of the five sub-base station ensemble localization against the normal CDF. It can be intuitively seen that when the <1, 2, 3, 4> sub-base station is used for localization, its maximum point-by-point distance from the CDF localized by the normal base station is 0.11, which is smaller than the set threshold value of 0.2; thus, <1, 2, 3, 4> can be regarded as the normal base station. As for the remaining four sub-base station sets, their maximum point-by-point distances are 0.95, 1, 1, and 1, which are all greater than the set threshold. Thus, only one sub-base station is the required base station set in this experiment, and hence base stations 1, 2, 3, and 4 can be identified as robust base stations, which is also consistent with the fact that we masked the fifth base station as the abnormal base station. If all sets do not obtain results less than the threshold, it means that there are still anomalous base stations. We will reduce the number of merged base stations and continue to use the algorithm to detect anomalous base stations until the result is obtained or there are fewer than three base stations in the base station subset. When more than one consistent BS subset is detected, showing that these BS subsets are normal, we choose combinations with more evenly spaced base stations.

Figure 5.
Comparison of CDF for sub-base station ensemble localization and CDF for normal base station localization.
In order to explore the performance differences with varying numbers of base stations, we increased one base station and decreased one base station. Then, we set the last base station as an anomalous base station. According to Figure 6, it can be seen that our algorithm can still recognize normal combinations of base stations.

Figure 6.
Screening results for different base station scenarios.
3.3. Improved AKEF-Based Fusion Algorithm
Based on the abovementioned experiments, this paper further collects new trajectory data to verify the effectiveness of the improved adaptive Kalman filtering algorithm proposed in this paper, which shows that the algorithm improves the positioning accuracy of UWB/PDR fusion. The experimental site is located on Qufu Normal University Rizhao Campus F.
In order to verify the accuracy of the algorithm, as well as the anti-interference, we divided the experimental path into three parts.
The testers carry UWB positioning tags and PDR devices for positioning tests according to the experimental route. First, they walk to the end of corridor A, which is 30 m long and 3 m wide, and turn left into corridor B (25 m long and 3 m wide). Then, they walk to the end of corridor B, turn back, walk another 12 m, and turn left into corridor C (25 m long and 3 m wide). Finally, they walk to the end of corridor C. All experimental scenarios had UWB base stations uniformly placed in them. The experimental scenario is shown in Figure 7.
Figure 7.
Experimental scenario.
In the experimental scenario, transitions between each corridor, which will block the signal due to the concrete wall, can simulate the interference faced by UWB positioning terminals in real applications.
The experimental results are shown in Figure 8, where the blue dashed line indicates the real trajectory, and UWB, PDR, EKF-based UWB/PDR fusion, AEKF-based UWB/PDR fusion, and the fusion localization results of the improved AEKF proposed in this paper are given for comparison. This figure shows the effectiveness of the proposed algorithm.
Figure 8.
Trajectory comparison results.
In order to further illustrate the effectiveness of the proposed algorithm, the localization CDF plots of the five trajectory tracking results are given in this paper, as shown in Figure 9. From Figure 9, it can be seen that the proposed improved adaptive EKF (abbreviated as i-AEKF), whose localization CDF curve is located at the top of the remaining three algorithms, illustrates the effectiveness of the algorithm in this paper, which can effectively improve trajectory tracking accuracy and reduce error accumulation.
Figure 9.
CDF comparison of five algorithms.
We took the initial position as the starting coordinate (0, 0), planned trajectories and landmarks in advance, used a meter scale and a laser range finder to determine the walking distance, and recorded it according to the acquisition frequency as the real path reference. Then we obtained the absolute error of the algorithm by subtracting the position calculated by the algorithm from the actual position recorded and by taking the absolute value. Finally, Figure 10 gives the localization error at each test point. It can be clearly seen that the algorithm proposed in this paper can effectively improve the localization accuracy, and it should be noted that the PDR algorithm will gradually increase the localization error over time, which is in line with expectations. This is mainly due to the inertial guidance data in the integration process, which will make the error gradually accumulate; most of the current research can only reduce the impact of the accumulated error. The laser range finder is the SW-M70 from SNDWAY. It has a tolerance of about 1.5 mm. The meter scale size of 10 m × 13 mm is made by the deli, and the tolerance is around 0.5 mm.
Figure 10.
Specific positioning errors for each positioning test point.
The statistical results of the evaluation indices of the five algorithms are given in Table 1. Taking the average positioning error as an example, the error of this paper’s algorithm is 0.59 m, which improves the accuracy by 58.50%, 81.27%, 29.76%, and 18.06% compared with the 3.15 m of the PDR, the 1.42 m of the UWB, the 0.84 m of the EKF, and the 0.72 m of the AEKF, respectively.
Table 1.
Statistical results of localization evaluation metrics for five algorithms.
3.4. Improved AKEF-Based Fusion Algorithm in Offices
In order to verify the effect of the algorithm in more complex and diverse environments, we chose an office (Figure 11) as the experimental environment. The travel track is a rectangle 5 m long and 4 m wide. In the experiment, we used six base stations for localization.
Figure 11.
Office laboratory environment.
The trajectory of the experimental results is shown in Figure 12, demonstrating the effectiveness of the proposed algorithm.
Figure 12.
Office laboratory environment in office.
The localization CDF plots for the five trajectory tracking results are given as shown in Figure 13. We can see that the algorithm in this paper (i-AEKF) has the best performance.
Figure 13.
CDF comparison of five algorithms in an office.
Finally, Figure 14 gives the localization errors for each test point. It can be seen that the algorithm in this paper improves the localization accuracy, even in experiments with complex environments.
Figure 14.
Specific positioning errors for each positioning test point in an office.
The statistics of the evaluation metrics for the five algorithms in the office are shown in Table 2. We can clearly see that the accuracy of the i-AEKF algorithm proposed in this paper demonstrates superior performance, even in offices with complex environments.
Table 2.
Comparison of the accuracy of the five algorithms in an office environment.
3.5. Computational Speed of the Proposed Algorithm
We have compared the computational speed of the three Kalman filtering algorithms, as shown in Table 3. It can be seen that although the i-AEKF algorithm proposed in this paper has the longest computation time, the difference between the algorithms is in the order of milliseconds. The i-AEKF is only about 9 ms different from the AEKF, but the positioning accuracy is significantly improved.
Table 3.
Calculation speed comparison.
4. Conclusions
When using UWB positioning in an environment with dense obstacles, the signal is easily reflected or blocked, creating a multipath effect that affects ranging accuracy. PDR has better results in the initial stage of positioning, but over time, inertial sensors generate drift and noise, and the positioning error gradually increases. Aiming to address these problems, this paper proposes an adaptive UWB/PDR localization algorithm based on the maximum point-by-point distance and verifies its effectiveness through experiments. The algorithm first obtains the CDF plot of the positioning error under normal conditions through pretraining and then compares it with the CDF obtained when pedestrians are moving on the line. It then identifies the abnormal base stations using the maximum point-by-point distance algorithm and filters out the normal base stations for positioning. In addition, this paper incorporates the pedestrian dead reckoning (PDR) algorithm and proposes an improved adaptive extended Kalman filter algorithm for multi-sensor fusion localization to further enhance localization accuracy and robustness.
The experimental results show that the proposed algorithm has a strong ability to identify anomalous base stations and can effectively improve the accuracy of the position estimation of the UWB system. Comparison tests show that in the presence of an abnormal base station, the algorithm has the smallest maximum point-by-point distance from the CDF of a normal base station when it is localized using the set of base stations <1, 2, 3, 4>, and it is possible to determine that all of the base stations in this combination are robust. This also coincides with the fact that we set BS 5 as an anomalous BS beforehand, proving the feasibility of the algorithm. The next trajectory comparison experiments and the analysis of positioning error CDF plots also demonstrate the superiority of the improved adaptive EKF (i-EKF) algorithm in terms of positioning accuracy and trajectory tracking accuracy. Specifically, the average positioning error of the i-EKF algorithm is 0.59 m, which is 81.27%, 58.50%, 29.76%, and 18.06% lower compared with the PDR, UWB, EKF, and AEKF algorithms, respectively, which is a significant improvement in accuracy. Combined with the anomalous base station identification algorithm, it can enhance the anti-interference of the positioning system and adapt to the complex indoor environment.
In summary, the robust UWB positioning algorithm based on the maximum point-by-point distance and the improved adaptive EKF fusion algorithm proposed in this paper not only improves the robustness and accuracy of the UWB positioning system but also provides new ideas and methods for the development of indoor positioning technology. Future work can further explore the application of the algorithms in more complex environments and optimize the algorithms in combination with deep learning to adapt to a wider range of application scenarios.
Author Contributions
S.L. contributed to the conception of this study and helped revise the manuscript. M.L. contributed to the implementation of the design of the experiments, the analysis of the results, and the writing of the manuscript. All authors have read and agreed to the published version of the manuscript.
Funding
This research received no external funding.
Institutional Review Board Statement
Not applicable.
Informed Consent Statement
Not applicable.
Data Availability Statement
The original contributions presented in this study are included in the article. Further inquiries can be directed to the corresponding author.
Conflicts of Interest
The authors declare no conflicts of interest.
References
- Li, Z.K.; Liu, C.Y.; Gao, J.X.; Li, X. An Improved WiFi/PDR Integrated System Using an Adaptive and Robust Filter for Indoor Localization. ISPRS Int. Geo-Inf. 2016, 5, 224. [Google Scholar] [CrossRef]
- Yang, C.C.; Shao, H.R. WiFi-Based Indoor Positioning. IEEE Commun. Mag. 2015, 53, 150–157. [Google Scholar] [CrossRef]
- Subhan, F.; Hasbullah, H.; Rozyyev, A.; Bakhsh, S.T. Indoor positioning in Bluetooth networks using fingerprinting and lateration approach. In Proceedings of the 2011 International Conference on Information Science and Applications, Jeju Island, Republic of Korea, 26–29 April 2011; pp. 1–9. [Google Scholar]
- Spirito, M.A. On the accuracy of cellular mobile station location estimation. IEEE Trans. Veh. Technol. 2001, 50, 674–685. [Google Scholar] [CrossRef]
- Weinstein, R. RFID: A technical overview and its application to the enterprise. IT Prof. 2005, 7, 27–33. [Google Scholar] [CrossRef]
- Uradzinski, M.; Guo, H.; Liu, X.; Yu, M. Advanced indoor positioning using zigbee wireless technology. Wirel. Pers. Commun. 2017, 97, 6509–6518. [Google Scholar] [CrossRef]
- Sun, M.; Wang, Y.; Joseph, W.; Plets, D. Indoor localization using mind evolutionary algorithm-based geomagnetic positioning and smartphone IMU sensors. IEEE Sens. J. 2022, 22, 7130–7141. [Google Scholar] [CrossRef]
- Mazhar, F.; Khan, M.G.; Sällberg, B. Precise indoor positioning using UWB: A review of methods, algorithms and implementations. Wirel. Pers. Commun. 2017, 97, 4467–4491. [Google Scholar] [CrossRef]
- Bai, N.; Tian, Y.; Liu, Y.; Yuan, Z.; Xiao, Z.; Zhou, J. A high-precision and low-cost IMU-based indoor pedestrian positioning technique. IEEE Sens. J. 2020, 20, 6716–6726. [Google Scholar] [CrossRef]
- Shi, Q.; Cui, X.; Zhao, S.; Lu, M. Sequential TOA-based moving target localization in multi-agent networks. IEEE Commun. Lett. 2020, 24, 1719–1723. [Google Scholar] [CrossRef]
- Dardari, D.; Conti, A.; Ferner, U.; Giorgetti, A.; Win, M.Z. Ranging with ultrawide bandwidth signals in multipath environments. Proc. IEEE 2009, 97, 404–426. [Google Scholar] [CrossRef]
- Yang, B.; Guo, L.; Guo, R.; Zhao, M.; Zhao, T. A novel trilateration algorithm for RSSI-based indoor localization. IEEE Sens. J. 2020, 20, 8164–8172. [Google Scholar] [CrossRef]
- Alonge, F.; D’Ippolito, F.; Garraffa, G.; Sferlazza, A. Hybrid observer for indoor localization with random time-of-arrival measurments. In Proceedings of the 2018 IEEE 4th International Forum on Research and Technology for Society and Industry (RTSI), Palermo, Italy, 10–13 September 2018; pp. 1–6. [Google Scholar]
- Jiang, C.; Shen, J.; Chen, S.; Chen, Y.; Liu, D.; Bo, Y. UWB NLOS/LOS classification using deep learning method. IEEE Commun. Lett. 2020, 24, 2226–2230. [Google Scholar] [CrossRef]
- Marano, S.; Gifford, W.M.; Wymeersch, H.; Win, M.Z. NLOS identification and mitigation for localization based on UWB experimental data. IEEE J. Sel. Areas Commun. 2010, 28, 1026–1035. [Google Scholar] [CrossRef]
- Yang, X.; Wang, J.; Song, D.; Feng, B.; Ye, H. A novel NLOS error compensation method based IMU for UWB indoor positioning system. IEEE Sens. J. 2021, 21, 11203–11212. [Google Scholar] [CrossRef]
- Kim, D.-H.; Farhad, A.; Pyun, J.-Y. UWB positioning system based on LSTM classification with mitigated NLOS effects. IEEE Internet Things J. 2022, 10, 1822–1835. [Google Scholar] [CrossRef]
- Wu, Q.; Yang, R.; Liu, K.; Xu, Y.; Miao, J.; Sun, M. Dual Kalman filter Based on a single direction under colored measurement noise for INS-based Integrated Human Localization. Electronics 2024, 13, 3027. [Google Scholar] [CrossRef]
- Zhuang, Y.; El-Sheimy, N. Tightly-coupled integration of WiFi and MEMS sensors on handheld devices for indoor pedestrian navigation. IEEE Sens. J. 2015, 16, 224–234. [Google Scholar] [CrossRef]
- Mehrabian, H.; Ravanmehr, R. Sensor fusion for indoor positioning system through improved RSSI and PDR methods. Future Gener. Comput. Syst. 2023, 138, 254–269. [Google Scholar] [CrossRef]
- Pittet, S.; Renaudin, V.; Merminod, B.; Kasser, M. UWB and MEMS based indoor navigation. J. Navig. 2008, 61, 369–384. [Google Scholar] [CrossRef]
- Xu, Y.; Chen, X. Range-only UWB/INS tightly integrated navigation method for indoor pedestrian. Chin. J. Sci. Instrum. 2016, 37, 142–148. [Google Scholar]
- Li, Q.; Wang, J.; Yin, D. SINS/DVL integrated navigation algorithm based on variable structure multi model. Navig. Position. Timing 2021, 8, 51–58. [Google Scholar]
- Guo, S.; Zhang, Y.; Gui, X.; Han, L. An improved PDR/UWB integrated system for indoor navigation applications. IEEE Sens. J. 2020, 20, 8046–8061. [Google Scholar] [CrossRef]
- Sun, M.; Wang, Y.; Xu, S.; Cao, H.; Si, M. Indoor positioning integrating PDR/geomagnetic positioning based on the genetic-particle filter. Appl. Sci. 2020, 10, 668. [Google Scholar] [CrossRef]
- Jose, E.; Adams, M. An augmented state SLAM formulation for multiple lineof-sight features with millimetre wave RADAR. In Proceedings of the 2005 IEEE/RSJ International Conference on Intelligent Robots and Systems, Edmonton, AB, Canada, 2–6 August 2005; pp. 3087–3092. [Google Scholar]
- Huang, Z.; Jin, S.; Su, K.; Tang, X. Multi-GNSS Precise Point Positioning with UWB Tightly Coupled Integration. Sensors 2022, 22, 2232. [Google Scholar] [CrossRef] [PubMed]
- Hu, G.; Gao, B.; Zhong, Y.; Gu, C. Unscented Kalman filter with process noise covariance estimation for vehicular INS/GPS integration system. Inf. Fusion 2020, 64, 194–204. [Google Scholar] [CrossRef]
- Rohal, P.; Ochodnicky, J. Radar target tracking by Kalman and particle filter. In Proceedings of the 2017 Communication and Information Technologies (KIT), Vysoke Tatry, Slovakia, 4–6 October 2017; pp. 1–4. [Google Scholar]
- Li, X.; Wang, J.; Liu, C.; Zhang, L.; Li, Z. Integrated WiFi/PDR/smartphone using an adaptive system noise extended Kalman filter algorithm for indoor localization. ISPRS Int. Geo-Inf. 2016, 5, 8. [Google Scholar] [CrossRef]
- Lee, G.T.; Seo, S.B.; Jeon, W.S. Indoor localization by Kalman filter based combining of UWB-positioning and PDR. In Proceedings of the 2021 IEEE 18th Annual Consumer Communications & Networking Conference (CCNC), Las Vegas, NV, USA, 9–12 January 2021; pp. 1–6. [Google Scholar]
- Guerrero-Castellanos, J.; Madrigal-Sastre, H.; Durand, S.; Marchand, N.; Guerrero-Sánchez, W.; Salmerón, B. Design and implementation of an Attitude and Heading Reference System (AHRS). In Proceedings of the 2011 8th International Conference on Electrical Engineering, Computing Science and Automatic Control, Merida City, Mexico, 26–28 October 2011; pp. 1–5. [Google Scholar]
- Jimenez, A.R.; Seco, F.; Prieto, C.; Guevara, J. A comparison of pedestrian dead-reckoning algorithms using a low-cost MEMS IMU. In Proceedings of the 2009 IEEE International Symposium on Intelligent Signal Processing, Budapest, Hungary, 26–28 August 2009; pp. 37–42. [Google Scholar]
- Tian, Q.; Salcic, Z.; Kevin, I.; Wang, K.; Pan, Y. A multi-mode dead reckoning system for pedestrian tracking using smartphones. IEEE Sens. J. 2015, 16, 2079–2093. [Google Scholar] [CrossRef]
Disclaimer/Publisher’s Note: The statements, opinions and data contained in all publications are solely those of the individual author(s) and contributor(s) and not of MDPI and/or the editor(s). MDPI and/or the editor(s) disclaim responsibility for any injury to people or property resulting from any ideas, methods, instructions or products referred to in the content. |
© 2024 by the authors. Licensee MDPI, Basel, Switzerland. This article is an open access article distributed under the terms and conditions of the Creative Commons Attribution (CC BY) license (https://creativecommons.org/licenses/by/4.0/).