Abstract
Vehicular communication is revolutionizing transportation by enhancing passenger experience and improving safety through seamless message exchanges with nearby vehicles and roadside units (RSUs). To accommodate the growing number of vehicles in dense urban traffic with limited channel availability, non-orthogonal multiple access (NOMA) is a promising solution due to its ability to improve spectral efficiency by sharing channels among multiple users. However, to completely leverage NOMA on mobile vehicular networks, a chain of operations and resources must be optimized, including vehicle user (VU) and RSU association, channel assignment, and optimal power control. In contrast, traditional orthogonal multiple access (OMA) allocates separate channels to users, simplifying management but falling short in high-density environments. Additionally, enabling NOMA-OMA switching can further enhance the system performance while significantly increasing the complexity of the optimization task. In this study, we propose an optimized framework to jointly utilize the power domain NOMA in a vehicular network, where dynamic NOMA-OMA switching is enabled, by integrating the optimization of vehicle-to-RSU association, channel assignment, NOMA-OMA switching, and transmit power allocation into a single solution. To handle the complexity of these operations, we also propose simplified formulations that make the solution practical for real-time applications. The proposed framework reduces total power consumption by up to compared to Util&LB/opt, improves fairness in user association by , and operates efficiently with minimal computational overhead. These findings highlight the potential of the proposed framework to enhance communication performance in dynamic, densely populated urban environments.
1. Introduction
The advent of intelligent vehicles is transforming the transportation industry, offering improvements in safety, efficiency, and user experience. A key factor in achieving these benefits is the development of robust and scalable vehicular communication networks, which enable vehicles to exchange crucial information with each other and with the encircling infrastructure. Among the feasible technologies designed to realize efficient vehicular communications, IEEE 802.11p [], IEEE 802.11bd, and cellular communication [] are notable candidates; in particular to the context of Vehicle-to-Everything (V2X), the cellular communication is a promising technology due to its scalability, reliability, and superior coverage. Although IEEE 802.11bd, the successor to IEEE 802.11p, has addressed limitations such as restricted support for high-speed vehicles (up to 252 km/h) and lack of retransmissions, it cannot yet match the extensive coverage offered by cellular communication.
However, the use of advanced communication technologies such as cellular communication does not automatically resolve all the issues we encounter in real-time traffic scenarios. For example, on urban roads where vehicle density increases significantly during peak hours, maintaining seamless communication under quality of service (QoS) constraints becomes a critical challenge. Traditional orthogonal multiple access (OMA) schemes, which allocate distinct channels to each user, often struggle with channel scarcity in high-density environments. To address this challenge, we explore non-orthogonal multiple access (NOMA) as a potential solution. NOMA enhances spectral efficiency by enabling multiple users to share the same channel simultaneously, distinguishing each user’s signal through power domain differentiation rather than unique encoding schemes. Using a technique called successive interference cancellation (SIC), the receiver can separate and decode the composite signal, effectively managing interference and allowing more efficient use of limited channel resources. Capable of accommodating more users compared to traditional OMA, NOMA is treated as a promising solution for high-density scenarios. Integrating NOMA into vehicular communication systems is expected to enhance the overall network performance and QoS []. NOMA is becoming a practical and indispensable solution for real-world applications, including cellular communication (i.e., multi-user superposition transmission or MUST) and digital TV (i.e., layered division multiplexing or LDM) [].
In addition to the channel scarcity with high user density, high energy consumption for communication is another urgent challenge to overcome especially in the vehicular communication domain [,]. Wireless access networks are projected to consume approximately 446 TWh of electricity in 2030, which is approximately four times greater than what it is in 2024, i.e., 102 TWh []. High consumption of energy can result in an increase in greenhouse gas emissions and operational expenditures (OpEx) of the mobile network operators (MNOs). In the case of intelligent transport systems (ITSs), wireless nodes can be embedded in battery-operated road signs and traffic control devices []. Poor power transmit power management schemes can quickly deplete these batteries. Even in the case where roadside units (RSUs) with stable power supply are utilized for communication, careless transmit power control may lead to a violation of QoS requirements. While power usage is indeed a fundamental aspect of wireless networks, we aim to emphasize its specific importance within vehicular networks, where devices often rely on limited battery resources and operate in energy-constrained environments. Efficient power management is essential to maintaining continuous communication in dense urban settings with high energy demands.
In this regard, this study focuses on how to optimally utilize NOMA downlink to accommodate more VUs while minimizing transmit power consumption to guarantee reliable and energy-efficient communication in crowded urban traffic environments. Downlink communication is critical in vehicular networks, as it may enable RSUs to provide vehicles with safety-related real-time information such as traffic alerts, road conditions, and navigation updates. NOMA for downlink has been widely studied and also it has demonstrated substantial benefits in enhancing spectral efficiency, reduced latency, and support for massive connectivity, its real-time application in vehicular networks introduces critical challenges, particularly regarding resource optimization [,]. In addition, NOMA introduces intra-cell and intra-cluster interference, which increases the complexity at the receiver end compared to conventional OMA []. Moreover, poor user clustering can pose a critical hurdle to enhancing system throughput [,,,]. Chen et al. [] show that NOMA outperforms OMA in terms of sum rate and transmit power consumption. However, these performance gains are often achieved through optimization formulations that use binary and integer variables, which increase computational complexity. In real-time applications such as autonomous driving or smart traffic management, the increased complexity of resource optimization due to interference and poor user clustering can lead to delays, impacting system performance and safety. The time complexity of optimization problems becomes crucial because delays in solving them could degrade the responsiveness of the system. In particular, the high complexity of resource optimization can become a significant hurdle in real-time applications []. If the optimization process is computationally expensive due to the use of binary or integer variables, it may not be fast enough to meet real-time requirements. Therefore, a thorough investigation of the impact of binary and integer variables on time complexity is essential. This will help ensure that the optimization process remains efficient without introducing significant delays, which would hinder the effectiveness of NOMA in real-time environments.
Aims and Objectives
In this study, we consider an urban and dynamic vehicular network with multi-VUs, multi-RSU scenarios, and we propose an optimization-based approach to schedule VU-RSU association, channel assignment and transmit power allocation. The proposed approach utilizes NOMA to accommodate a large number of vehicles with a limited number of orthogonal channels. For a better utilization of NOMA, we also propose an optimal user pairing method employing a two-user clustering approach. Additionally, by allowing NOMA-OMA switching, the proposed solution can further improve the energy efficiency when the number of VUs on the network is low. Finally, to make the proposed approach applicable to real-time scheduling, we introduce low-complex algorithms that can yield sub-optimal solutions with minimal time overhead. The summary of the contributions we make in this paper is as follows;
- We mathematically formulate the joint RSU-user association, channel assignment, NOMA-OMA switching, user pairing, and power control problem for NOMA-enabled V2X networks, aiming at minimizing the total transmit power consumption for downlink transmission. These operations are closely interconnected with each other to maximize resource utilization, making joint optimization essential.
- We propose a novel approach to derive a low-complex, sub-optimal solution by transforming the proposed joint optimization formulation to reduce time complexity, thus enabling real-time scheduling of network resources. The methods for complexity reduction include binary variable relaxation and problem partitioning.
- To extensively evaluate and validate the proposed approach, we have implemented a customized, discrete-time simulator. We also compared the performance of the proposed approach to the conventional solutions to validate its effectiveness with respect to total power consumption, association fairness and CPU time. In addition, to investigate the effect of VUs’ mobility on performance, we carry out a long-term simulation that incorporates realistic movement in a complex intersection scenario.
The remainder of this paper is structured as follows. Section 2 summarizes the related studies. The following Section 3 presents the proposed user pairing and power control method for NOMA on dynamic urban vehicular networks. Evaluation, validation, and analysis of the proposed solution are carried out in Section 4, and Section 5 concludes this paper. The frequently used abbreviations and terminologies are summarized in Table 1.

Table 1.
Abbreviations and terminologies.
2. Related Work
The integration of non-orthogonal multiple access (NOMA) into vehicular communication systems has garnered significant attention in recent years due to its potential to enhance spectral efficiency and support massive connectivity. In this section, we will scrutinize the relevant resources to NOMA and its applications in vehicular communication networks, particularly in the context of resource scheduling and Vehicle-to-Everything (V2X) systems. We are dividing the approach into two primary areas: general NOMA resource scheduling strategies and the integration of NOMA into V2X communication systems.
2.1. Optimal Resource Scheduling on General NOMA
Effective resource scheduling is a critical aspect of NOMA systems, aimed at maximizing spectral efficiency and supporting massive connectivity. Unlike orthogonal multiple access (OMA), which assigns distinct frequency resources to each user, NOMA allows multiple users to share the same frequency band by differentiating power levels. This unique feature requires careful management of user pairing and power allocation to optimize system performance. An analytical performance comparison between NOMA and OMA is carried out by Chen et al. [], and validated the superiority of NOMA with respect to sum rate and power consumption. Riazul et al. [] highlight NOMA as a superior alternative to traditional OMA techniques like OFDMA, offering higher spectral efficiency and support for more users through power-domain signal overlap and SIC. NOMA meets the key demands of 5G and beyond, such as higher data rates and lower latency, outperforming OMA in system throughput and user fairness via optimized power allocation and pairing strategies.
2.1.1. User Pairing and Scheduling
User pairing plays a significant role in improving NOMA performance. Budhiraja et al. [] demonstrated that pairing users with distinct channel state information (CSI) improves both throughput and fairness. Their work has inspired dynamic user-pairing algorithms that adapt to real-time channel conditions. Sedaghat et al. [] further analysis on user-pairing strategies in NOMA, showing that optimizing pairing can significantly improve sum-rate performance. Azam et al. [] highlighted that pairing users with highly distinctive channel gains not only enhances system capacity but also maintains fairness in resource allocation. Jiang et al. [] proposed a user pairing and power allocation for NOMA with possible use cases of vehicular communications. To effectively handle the non-convexity of the problem, the authors proposed to decouple the problem and to use deep Q learning. Despite the computational efficiency, the proposed system assumes a single base station which may limit the scalability. Budhiraja et al. [] analytically demonstrated that pairing users with distinct channel gains significantly enhances system performance.
2.1.2. Power Allocation Strategies
Power allocation is another cornerstone of NOMA optimization. Various algorithms have been proposed to efficiently allocate power among users while balancing interference and system capacity. Akbar et al. [] analyzed power allocation schemes and their computational complexity, which limits their implementation in real-time systems. Al-Imari et al. [] focused on balancing complexity and effectiveness in dynamic environments, such as vehicular networks. Furthermore, Azam et al. [] proposed a lookup table to simplify the pairing and power allocation process while maintaining optimal performance. Alishahi et al. [] proposed an energy minimization for NOMA networks with the use case of federated learning. The authors first proposed a joint optimization for time and power allocation. In addition, to reduce the computation complexity, the bisection algorithm has been applied. However, the limited evaluation scenario, i.e., one single-antenna base station, casts doubts on the scalability.
2.2. NOMA with V2X Applications
The application of NOMA in V2X communications shows great promise in enhancing system performance in high-mobility and densely connected environments. V2X encompasses diverse interactions, including vehicle-to-vehicle (V2V), vehicle-to-infrastructure (V2I), and vehicle-to-pedestrian (V2P), all of which demand reliable, low-latency communication. In such vehicular networks, resource scheduling is particularly challenging due to high vehicle mobility and rapidly changing network topologies. Meeting the stringent requirements of V2X communication, such as low latency and high reliability, is critical to ensuring seamless interactions.
Traditional orthogonal multiple access (OMA) schemes often face challenges in dense vehicular environments like urban areas, leading researchers to explore NOMA as a promising alternative. NOMA’s capacity for massive connectivity and improved spectral efficiency makes it particularly suitable for V2X applications, which require high data throughput and real-time communication.
For example, Boya et al. [] proposed a NOMA-based V2X framework tailored to ultra-dense vehicular networks, demonstrating its ability to significantly reduce latency and enhance reliability by efficiently managing spectrum resources. Their work also highlighted NOMA’s practical benefits across unicast and broadcast V2X systems, excelling in spectrum allocation and interference mitigation in crowded networks. These findings underscore the importance of advanced resource management for the successful integration of NOMA in V2X applications.
The dynamic and high-mobility nature of vehicular environments calls for advanced resource allocation strategies tailored to NOMA-enabled V2X communications. Previous studies have established a solid foundation in this area. Dinh-Thuan et al. [] highlighted the importance of adaptive resource allocation to address frequent topology changes in vehicular networks. Boya et al. [] demonstrated the advantages of NOMA in ultra-dense vehicular networks, showing its ability to reduce latency and improve reliability by efficiently managing spectrum resources. Similarly, Liu et al. [] introduced relay-assisted NOMA frameworks, including half-duplex and full-duplex schemes, to enhance spectral efficiency and reliability under poor channel conditions. Zhang et al. [] proposed a hybrid approach combining centralized resource allocation with distributed power control, optimizing communication in highly dynamic environments. Ihsan et al. [] explored energy-efficient NOMA multi-casting systems, focusing on reducing energy consumption while maintaining high throughput under imperfect channel conditions.
Despite these advances, significant challenges remain, particularly in joint optimization of the NOMA resource chain including association, user clustering, channel assignment and power assignment, computational complexity, and adaptive algorithm design for rapidly changing network conditions. Building on this prior work, our research introduces a novelty that specifically addresses the efficient computation of joint resource optimization in a general configuration with multiple RSUs with mobile users.
3. Proposed Joint Resource Optimization for NOMA-Enabled Vehicular Networks
In this section, we first present the proposed formulation of the joint RSU-VU association, channel assignment, NOMA-OMA switching and transmission power control. Then, to reduce the complexity of the formulation, we propose two solution variants.
3.1. Assumed Configuration
This study assumes a power domain (PD) NOMA-enabled downlink vehicular network as shown in Figure 1 that encodes multiple signals into one by using different power levels at the transmitter [,]. Regarding the signal propagation and channel model, the assumed system is primarily based on the configurations proposed in 3GPP 5G standard [] as follows. Although the proposed solutions do not depend upon the particular channel models and mobility, the urban macro scenario is assumed with line of sight and the logarithmic path loss model along with shadow fading. In terms of mobility, it affects channel condition and signal strength, which has been investigated in Section 4.

Figure 1.
Assumed power domain NOMA system where a vehicular user receives downlink service from its associated roadside unit with dynamic NOMA-OMA switching and resource optimization.
An essential characteristic of PD NOMA is that it leverages the differences in channel gain among devices assigned to the same channel. Then, the receiver carries out SIC as part of a multi-user detection algorithm (MUD). In PD NOMA, it is common to allocate more power to the user experiencing low channel gain. For example, in Figure 1, RSU will allocate more power to VU1 which is further away from the RSU than VU2, where RSUs are treated as base stations for vehicular communication in this study. As pointed out in [], the NOMA system becomes particularly effective in terms of the sum rate when the clustered users exhibit different channel gains []. In the assumed network, there are VUs and each VU is equipped with a single antenna []. Thus, a VU can be associated with only a single RSU for each time slot. On the other hand, an RSU b can associate with up to VUs, where is set to in this study with being the number of orthogonal channels available to each RSU.
In this study, we assume multi-RSUs specifically to address the high density and mobility challenges in dynamic urban vehicular networks, where a single RSU may struggle to maintain connectivity, latency, and load balance. The multi-RSU configuration improves resource utilization and load distribution, helping to manage rapid changes in vehicle density. It also supports more effective NOMA-OMA switching, which enhances spectral efficiency. However, by introducing multiple RSUs, the global coordination may become more complex. The proposed algorithms are designed to minimize inter-RSU coordination, adding only modest overhead. VUs are generally resource-limited, and thus, grouping too many users into the same NOMA cluster can cause multiple iterations of SIC which will incur high processing delays []. Therefore, in this work, the size of the cluster is limited to two [], meaning that at each time step, two VUs can occupy a channel for downlink transmission []. Different clusters are served with different channels in an OFDM manner [], forming a multi-carrier NOMA system []. In addition, the time is slotted, and thus the time-frequency resources are allocated as a unit of resource block [].
3.2. Proposed Optimal Resource Optimization
The proposed approach jointly optimizes RSU-VU association, channel assignment and OMA-NOMA switching for downlink transmission. Furthermore, the proposed approach optimizes the transmit power consumption at RSU, which is essential for reducing the OpEx of MNOs.
To begin with, let us present the problem to be solved in this study as follows. Given number of VUs and number of RSUs with number of orthogonal channels available, the goal is to minimize the downlink transmit power consumption () while fulfilling the QoS requirements of all VUs () which is defined by the requested bits per time unit. In the proposed approach, each VU is classified as either a high-power user (h) or low-power user (l) depending on the channel condition at the moment. The high- or low-power decision will control the precise transmit power for PD NOMA. To achieve the goal in an optimal manner, the proposed approach schedules RSU-VU association, VU-channel mapping and OMA-NOMA switching by using the decision variable ). In short, the considered problem can be summarized as follows: minimize by optimally scheduling , while fulfilling .
Figure 2 outlines the proposed approach that consists of two phases of operations. Each of the sub-procedures under each phase will be elaborated on shortly. It is assumed that the resource optimization decision is made at a high-performance central scheduler, and the resulting decisions are distributed to RSUs with negligible delay.

Figure 2.
Flowchart of the proposed approach that consists of two phases to jointly optimize association, channel assignment, NOMA-OMA switching and transmit power allocation.
The chain of operations shown in Figure 2 proceeds as follows:
In Phase A: Association, Channel Assignment, and NOMA-OMA Switching
- VU-RSU Association: Each VU is paired with an RSU based on signal strength, accessibility, and load balancing to minimize interference and ensure optimal connectivity.
- Channel Assignment: Channels are allocated to VUs associated with each RSU, focusing on reducing interference and improving spectral efficiency.
- NOMA-OMA Switching: For each assigned channel, the system dynamically decides between OMA and NOMA, considering channel conditions and the number of associated VUs. NOMA is enabled for two users with distinct channel gains, while OMA is used for single-user assignments.
In Phase B: Transmission Power Control
- Power Allocation: The optimal transmit power for each RSU-VU pair is determined to satisfy Quality of Service (QoS) requirements while minimizing overall power consumption.
3.2.1. Formulation (Phase A): Association, Channel Assignment and NOMA-OMA Switching
Phase A involves three key operations: RSU-VU association, channel assignment, and NOMA-OMA switching. These steps collectively define preliminary resource allocation for the network, determining which VUs are associated with each RSU, how channels are allocated, and whether a channel operates in OMA or NOMA mode based on user clustering and channel conditions. When NOMA is activated on a particular channel, two-user clustering will be applied by finding a pair of VUs to be assigned to the channel. Depending on the number of associated VUs and their channel condition, a channel may be assigned with a single VU or two, resulting in OMA or NOMA decision, respectively. Although the first phase does not determine the actual transmit power under QoS constraint, the decisions therein cannot be made without considering the power consumption. Thus, Phase A also carries out total power minimization, but the related constraint is not QOS satisfaction, but signal to noise threshold. In the proposed formulation, the binary decision variable plays a major role in determining the association, channel assignment and NOMA-OMA switching.
As aforementioned, when NOMA is enabled on a particular channel, two-user clustering will be applied. Thus, each of the two users assigned to the same channel is classified as either a high-power user () or low-power user (), where the high-power user receives higher power from RSU for transmission. To be specific, the binary variable determines whether VU u is associated with RSU b on channel c as a high-power user or not. In a similar manner, the binary variable indicates whether the corresponding user is a low-power user or not. The following constraint, Equation (1) limits the number of high-power users to be assigned to RSU b on channel c up to one, and the same limit is also applied to the low-power user. The last constraint in Equation (1) will be activated when the channel c is operating at OMA mode so that the OMA user will be treated as a low power user.
It is worth noting that for each RSU b and channel c, is the number of VUs occupying the channel, and it determines the NOMA-OMA switching. In the proposed approach, when a channel is occupied by two users, the RSU configures the channel to operate as a NOMA channel. On the other hand, if there is only a single device mapped to a channel, the RSU triggers an OMA mode on the channel. According to the following constraint, Equation (2), each RSU b can associate with up to number of VUs for each time instance where is set to twice the number of available channels, .
Due to the single-antenna assumption for each user and the QoS requirement, a user must associate with a single RSU for connectivity as shown below, Equation (3).
The RSUs periodically broadcast beacon signals to notify their readiness to nearby VUs. Each VU collects those signals from possibly multiple RSUs, and then uploads the list of accessible RSUs to the central controller. Collection of such lists is referred as accessibility matrix, with , where if VU u can access or associate with RSU b. The following constraint Equation (4) allows VU u to associate with RSU b only when .
Each RSU has a limited power budget, , and the maximum amount of power for a channel is also bounded by . The following constraint Equation (5) limits the transmission power allocated to a VU on a certain channel by . In the constraint, the real domain variables and are the decision variables corresponding to the transmit power allocation to the VU u associated with RSU b on channel c for the high-power and low-power user, respectively.
The total amount of transmission power that an RSU can allocate to all VUs on a single channel is also bounded by (refer to Equation (6)).
The total amount of power that an RSU can use for transmission is bounded by as shown in Equation (7).
Although the accessibility matrix indicates whether a VU u can receive the beacon message from an RSU b, having is not sufficient to ensure that VU u will receive quality service from RSU b while minimizing the power consumption. To this end, the proposed system further checks that, given the per-channel and per-RSU power budget, the S(I)NR threshold can be satisfied. It is worth noting that the VU receiving downlink service at low power will perform SIC, resulting in an interference-free signal. On the other hand, the VU receiving high power will decode its own data from the composite signal, meaning that the interference should be considered. As a result, we have the following constraint Equation (8) that can be derived by simply rearranging the well-known Shannon capacity formula. In the constraint, , and are the S(I)NR threshold, per-Hz noise and a very large number, respectively.
The use of makes the constraint convex as follows. The original formulation of the first part of Equation (8) is , where corresponds to the channel gain between the RSU b and VU u on channel c. Due to the coupling of the two variables and , the problem becomes non-convex and it cannot be solved with computer solvers. To make the original constraint convex, the notation has been introduced. If there is a user assigned as a high-power user, the term will become zero. If not, the value of remains, allowing to be zero.
Finally, the objective function of the Phase A formulation is given in Equation (9) which is to minimize the total power consumption from all RSUs. Although the first phase does not determine the actual transmit power under QoS constraint, the decisions cannot be made without considering power minimization.
where and .
It is worth noting that depending on the number of VUs associated with an RSU and their channel conditions, some channels are assigned to a single VU each, resulting in the realization of OMA. On the other hand, some channels are to serve two users each, enabling NOMA. Such dynamic switching between OMA and NOMA is allowed especially by the constraint Equation (1). In the proposed resource optimization approach, OMA (orthogonal multiple access) and NOMA (non-orthogonal multiple access) modes are dynamically selected based on the number of vehicle users (VUs) assigned to each channel. OMA mode: When only one VU is assigned to a channel, the system uses OMA mode, providing exclusive access to avoid interference. NOMA mode: When two VUs share a channel, NOMA mode is activated, differentiating users by assigning higher power to the VU with weaker channel gain. This allows simultaneous use of the same frequency through Successive Interference Cancellation (SIC). The binary decision variable in Phase A controls OMA-NOMA switching, maximizing channel use while meeting each VU’s quality of service (QoS) requirements.
3.2.2. Formulation (Phase B): Transmission Power Control
The Phase A formulation determines the optimal RSU-VU association, VU-channel assignment and NOMA-OMA switching using the binary decision variable . While Phase A also estimates optimal power consumption, to satisfy the S(I)NR requirements, it does not perform actual power allocation. Given the output , from Phase A, Phase B proceeds to allocate the optimal power for each user, ensuring that all quality of service (QoS) requirements are met. Specifically, Phase B incorporates the following constraint Equation (11), derived by rearranging the Shannon capacity formula, to fulfill the QoS requirements. In the following constraint, and represent the QoS requirement (bits per time slot) for VU u when classified as a high-power or low-power user, respectively, after Phase A. The term denotes the per-channel bandwidth.
The rest terms including , , and are referred as the same as before.
The Phase B formulation reuses some of the formerly defined constraints: Equations (5)–(7). The objective function of the Phase B formulation is also the same as that of Phase A, Equation (9). It is worth nothing that the second-phase problem for a particular RSU b is independent of the rest RSUs. Thus, for reducing the computational complexity, the second-phase problem can be solved in a distributed, per-RSU manner.
3.3. Solution Variants for Reducing Computational Complexity
In this section, we propose a few variants of the proposed optimization formulation aiming at reducing computational complexity.
3.3.1. Binary Relaxation
The association and assignment relations are determined by binary variables in the proposed optimization problem, which makes the problem intractable. Although there are advanced algorithms that can efficiently handle binary and integer variables such as branch-and-bound and cutting planes [,], the computational complexity increases sharply as the problem size increases. To reduce the complexity of the problem, we apply relaxation to the binary variables, , in the first-phase problem formulation. If the problem satisfies the uni-modular property, the relaxed problem will still yield a binary solution []. If it does not, one of the following strategies can be employed:
- The linear solutions as they are can be interpreted as the proportion of the time when the corresponding action is taken. For example, if , then 70% of the time the system will assume .
- The linear solutions can be rounded to yield binary solutions. However, the rounding operation may yield infeasible solutions, and thus, validation of the solution should be carried out after each rounding operation. This is the approach taken in this study.
- Iterative removal algorithm [] can be used to effectively retrieve binary solutions.
It is worth noting that in the relaxation approach, the second phase is still the same as the original formulation since it does not include any binary or integer variables and thus, it can be quickly solved with a computer solver.
3.3.2. Reformulation with Utility Function and Load Balancing
One effective way of reducing the complexity of an optimization problem is to reduce the number of binary/integer variables, and further partitioning of the problem so that all or part of the problem can be solved in a distributed manner. To address the computational challenges, we reformulate the first-phase problem through a three-step hierarchical approach in Table 2, aimed at utility maximization with load balancing, per-RSU channel assignment, and independent power control.

Table 2.
Three-step hierarchical approach for the reformulated solution variant.
The reformulated problem still uses binary variables. However, due to the reduced number of binary variables to handle at a time, the computer solvers can (e.g., CPLEX, Gurobi, Mosek, Matlab to name a few) compute the optimal solution quickly. To this end, we introduce a new decision variable where to represent the RSU-VU association. In this formulation, indicates that RSU b is associated with VU u. Here, represents the total number of RSUs, and is the total number of vehicle users. The reformulated problem is given below (referred to as P. (13)).
In the objective function, the parameter is a weight assigned to the utility function, which is non-decreasing function of . Additionally, and are scaling factors that normalize each term in the objective function to the range [0,1].
The first component of the objective function focuses on maximizing throughput under a fixed transmit power. Achieving high throughput with implies that the user’s QoS requirements can be met with lower power, aligning with the primary goal of reducing total power consumption. Since the channel gain varies across different channels, the achievable throughput depends on the channel-to-user mapping. To reduce computational complexity, we use a function to represent the effective channel gain. In this study, the function f computes either the average gain across all channels or the gain from a randomly selected channel. The second component of the objective function ensures load balancing among RSUs, as enforced by constraint Equation (13e). The load balancing level is represented by l, which limits the number of users assigned to each RSU. Intuitively, reducing the number of users associated with an RSU decreases intra-channel interference by minimizing the need for NOMA channels. Although the variable remains binary, the reduced number of decision variables in this formulation decreases the computational complexity compared to the original first-phase problem.
After determining the RSU-VU association, the subsequent optimization step (S2) is executed on a per-RSU basis. Despite the use of binary variables, the reduced dimensionality and advanced algorithms make this step computationally efficient. To determine the optimal VU-channel mapping, the following optimization problem (referred to as P. (14)) is solved. Using the output from P. (13), each RSU processes this problem independently.
In the formulation, the objective function is almost the same as Equation (9) except that the outermost summation over all RSUs is no longer needed. Also, and the constraints related to the association are not needed since it is already taken care of by P. (13). For the constraints that are taken from the original optimization problems, the only necessary change is to remove since P. (14) is executed for each RSU. The optimal solution from P. (14) is then passed to the second-phase QoS-constrained optimal power control problem that is already presented in Section 3.2.2.
4. Evaluation
For evaluation and validation, we have implemented the optimization problem and its variants on MATLAB (R2022b) [] software platform with CVX (v2.1) [] and Gurobi (v9.1.0) [] for modeling and solving the proposed optimization problems, respectively. Gurobi is a widely used computer solver that can be used for convex optimization problems and non-convex ones such as mixed-integer linear/quadratic programming. In the case of integer programming, Gurobi can efficiently compute optimal solutions by using advanced algorithms such as branch-and-bound and cutting planes []. In addition to evaluating the performance on short- and long-term urban road scenarios, we have also implemented a discrete-time simulator on Matlab which is also used for visualization and result reporting. Throughout the simulation and optimization, we have used a high-performance computer with Intel(R) i9-13900KF CPU and 32 GB memory. The processor has 8 performance cores and 16 efficient cores, making 32 threads in total, and the clock speed can go up to 5.8 GHz.
4.1. Evaluation and Comparison Framework
To evaluate the proposed optimization framework in diverse dynamic vehicular networks, we compared its performance with four baseline methods, R&R/opt, Util&LB/opt, SSF/opt, and RND/opt, each of which is summarized as below.
- Proposed: The proposed optimal solution that consists of the optimal association, channel assignment and NOMA-OMA switching (see Section 3.2.1), which is followed by the optimal power allocation (see Section 3.2.2).
- R&R/opt: The optimization problem with relaxation and rounding (see Section 3.3.1). It first solves the optimal association, channel assignment and NOMA-OMA switching with relaxed binary variables. Then, to recover the binary solution simple rounding technique is applied while checking the validity of the recovered solution. The following power allocation is carried out in an optimal manner as the proposed approach does.
- Util&LB/opt: The RSU-VU association is carried out first. Then, per-RSU channel assignment and NOMA-OMA switching problem is invoked in a distributed manner, where all the mentioned problems use binary variables. The following power allocation is carried out as Proposed does. For the weight parameter, is assumed to put more weight to power minimization which is the main focus of this study. The unit-scaling term, and is set to the maximum possible value of the corresponding term, respectively.
- SSF/opt: The Signal Strength First (SSF) approach is taken to make the association between VUs and RSUs, which assigns VUs to RSUs based on signal strength, ignoring load balancing and interference, followed by optimal channel and power allocation. The remaining steps including per-RSU channel assignment, NOMA/OMA switching and power allocation are carried out in the same manner as Util&LB/opt does.
- RND/opt: A random algorithm that uniformly randomizes and makes the RSU-VU association, channel assignment, and NOMA-OMA switching decisions, while optimal power allocation is still carried out as above. Although random, RND/opt verifies the validity of the decision, which means that the association is made only if there is an accessibility relation between VU and RSU, and the channel assignment is made only when there is an availability.
For performance comparison, the performance metrics of total power consumption, fairness, NOMA utilization ratio, and CPU time have been utilized. Each metric is formulated as described below:
- Total power consumption (dBm or watt): Total power consumption represents the sum of the transmit power consumed by all RSUs considered in each scenario, i.e., . The resulting values are computed in watts, and conversion to dBm is performed using the following calculation: .
- Fairness (Jain’s fairness index []): The Jain’s fairness index is widely used to measure the equitable distribution of resources []. Using this index, the fairness score for the fair distribution of VUs among RSUs is calculated as follows:
- NOMA utilization ratio: The NOMA utilization ratio reflects the fraction of channels configured for NOMA communication relative to the total number of available channels across all RSUs. Using the mathematical notations from Section 3, the ratio is calculated as follows: Let the set S be defined as , where each element is a tuple that satisfies the condition that channel c in RSU b is used for NOMA communication by assigning the channel to two users. Then, the NOMA utilization ratio is given by: .
- CPU time (s): CPU time represents the time taken to compute the decisions, measured in seconds. MATLAB’s built-in tic and toc functions were used for measurement []. Specifically, the tic function records the current time before the method begins execution and the toc function calculates the elapsed time using the recorded value, immediately after the method completes execution. When each of the considered methods is invoked to compute a decision, the tic function is called before the method begins, and toc function is called immediately after the method finishes, to measure the time taken for computation.
Results were validated across diverse configurations and compared against baseline methods. Each scenario configuration was evaluated and compared over 10 iterations, with the corresponding results reported as mean and standard deviation values, where available.
4.2. Scenario and Parameter Configuration
We assume an urban road traffic site with an intersection at the center as shown in Figure 3, where the road is shaded. The size of the concerned area is 300 m by 300 m, and there are five RSUs deployed in a planned manner with a 150 m spacing between the nearby RSUs. In the figure, each RSU is marked with a black dot, where the top-most starts with RSU 1, followed by RSU 2, 3, 4 and 5 are deployed horizontally from left to right. VUs, marked with red triangles, are randomly located on the road, and when the mobility is assumed, they move at a random speed in the direction toward the center of the intersection. The speed is randomly chosen from the following distribution Uniform [30, 60] km/h or Uniform [8.33, 16.67] m/s. The number of vehicles varies depending on the scenario. Each user generates a downlink transmission request per time slot, and the amount of requests is randomly drawn from the distribution of Uniform [0.6, 2.0] Mbps.

Figure 3.
An example urban intersection road scenario with five RSUs and twenty vehicle users denoted by black circles and red triangles, respectively.
There can be one or multiple orthogonal channels available to each RSU. The channel bandwidth is 180 kHz each [], and the center frequency is 850 MHz which has been utilized for cellular communications in the Republic of Korea. Each RSU’s transmit power budget is 46 dBm (39.81 watt) []. The channel model and its parameters are taken from the 3GPP 5G standard as follows;
- Scenario: Urban macro (UMa) with line of sight (LoS).
- Path loss (dB): , where d is the distance (m) between the transceiver–receiver pair and is the central frequency.
- Shadow fading standard deviation [dB]: .
The fundamental experiment setup is summarized in Table 3.

Table 3.
Fundamental experiment setup.
The setup strategy for evaluation is summarized as follows.
- Radio propagation and channel models along with the related parameters are taken from the 3GPP 5G standard.
- The center frequency, channel bandwidth, and mobility model and VUs’ moving speed are taken from the related articles.
- The remaining parameters are randomly chosen.
4.3. Results of Simple and Stationary Scenarios
We first carry out an evaluation of a simple network configuration to assess the performance in depth. On the assumed scenarios, there can be one to ten VUs on the road, and each RSU can utilize only a single channel for communication. As a result, when there are only a few VUs on the network, most RSUs can activate OMA communications, but as the number of VUs increases, RSUs have no choice but to switch to NOMA to accommodate more VUs.
As shown in Figure 4, the proposed approach achieves the lowest power consumption due to its ability to jointly optimize resource allocation across multiple layers, a feature absent in the other methods. It also shows the mean total power consumption with respect to the number of VUs. It is obvious that as the number of VUs increases the network consumes more power to transmit a larger amount of traffic to more users. However, Proposed successfully minimizes the total power consumption. It is worth noting that all the considered approaches satisfy the QoS requirement since it is coded as a constraint. On the other hand, RND/opt uses the largest amount of power in most cases for its randomness in association, channel assignment and NOMA-OMA switching decisions. SSF/opt can reduce the power consumption when there is a lower number of users, but when the number of users exceeds seven, it is outperformed by RND/opt. The reason is that although RND/opt has no strategy in making decisions, its uniform randomness can exercise a certain level of load distribution. However, SSF/opt greedily allocates users only by considering the channel condition, and thus, when NOMA is triggered, power has been allocated inefficiently.

Figure 4.
Mean total power consumption for a simple and stationary configuration with a single channel with respect to the number of VUs on the network.
To evaluate our proposed method, we compared it with four alternatives: R&R/opt, Util&LB/opt, SSF/opt, and RND/opt as mentioned in Section 4. The proposed method delivered the best performance, reducing power consumption by up to 27%. Its joint optimization of RSU-VU association, channel assignment, NOMA-OMA switching, and power control ensures high efficiency in dense urban networks, but increases computational complexity and slightly impacts fairness.
All the considered methods were tested under identical simulation conditions and evaluated based on the following four metrics: power consumption, association fairness (Jain’s index), NOMA channel usage, and CPU time. The scenarios included both low-density and high-density urban vehicular networks with/without mobility to fairly assess each method’s strengths and limitations. The reported values are the average over 10 simulations, and we have considered only the scenarios where all the considered approaches should satisfy the desired QoS requirement for a fair comparison.
Due to the inherent similarity between Util&LB/opt and SSF/opt, their power usage patterns tend to be similar to each other, although Util&LB/opt outperforms SSF/opt for distributing the VUs across RSUs. Although R&R/opt is outperformed by other solutions in some configurations, its overall power consumption is lesser than others except Proposed. The reason for that is it jointly optimizes association, channel assignment and NOMA-OMA switching as Proposed does. In general, the relaxed binary solution yields better results than its binary counterpart; however, this is not the case in this work. This is because, in this study, fractional association and channel assignment are not allowed by assumption and thus, the real-valued solutions must be converted to binary. For this, a simple rounding solution has been applied, which degrades the quality of the solution.
It is interesting that even when there is only a single user on the network, the amount of allocated power varies depending on the considered solution. Both Proposed and SSF/opt outperform the rest since they are essentially the same when there is a single VU on the network. In the case of R&R/opt, when the VU is located in such a way that its distance to some RSUs is almost the same, it results in real-valued solutions. The following simple rounding and random tie-breaking approach leads to deviation of the solution from the optimal.
Figure 5 shows the association fairness in terms of Jain’s fairness index. As expected, Util&LB/opt tries to maximize the fair distribution of VUs among RSUs with weight , and thus its load balancing performance outperforms the rest. Overall, as the number of VUs increases the load balancing index increases as there is only a single channel per RSU. It is interesting to see that when there are four and five VUs on the network, Proposed does not increase the fairness, indicating that NOMA is being exercised although there are five RSUs available. It may happen in the cases that the unutilized RSUs are far away from the RSUs and thus, Proposed has decided to switch to NOMA for reducing the aggregate power consumption.

Figure 5.
Mean association fairness performance for a simple, stationary configuration with a single channel with respect to the number of VUs on the network.
The above discussion can also be verified by Figure 6, which shows the ratio of the NOMA channels to the entire channels available. Util&LB/opt triggers NOMA communication in the most delayed manner when there are five VUs on the network. On the other hand, other approaches including Proposed activate NOMA earlier in order to minimize the power consumption.

Figure 6.
Mean proportion of the NOMA channels for a simple, stationary configuration with a single channel with respect to the number of VUs on the network.
The optimal power-minimization formulation results in the least power consumption. The relaxed counterpart, generally yields a better performance due to the relaxed search space, since we have used the naive binary recovery algorithm in this study the solution quality degrades. Despite the difference in formulation, both SSF/opt and Util&LB/opt have shown some similar behaviors, suggesting that the low complex SSF/opt could be a reasonable replacement for Util&LB/opt. The fairness index and the ratio of NOMA channels directly do not indicate the power minimization performance especially when few devices are available.
4.4. Results of Complex Stationary and Mobile Scenarios
In this configuration, we have increased the complexity of the vehicular network scenario by increasing the number of VUs and channels to twenty and three, respectively. The effect of scenario complexity on the CPU processing time will be discussed shortly in Section 4.5.
Figure 7 shows the mean total power consumption of the considered approaches. Proposed still outperforms the rest, validating its robustness regardless of the complexity of the scenario. Although the simple rounding technique degrades the solution quality, R&R/opt shows an outstanding performance, showing its effectiveness in a complex configuration as well. As the number of VUs and available orthogonal channels increases, fair distribution of VUs is an effective solution in genera and thus, the performance of Util&LB/opt is similar to R&R/opt. In contrast, the effectiveness of SSF/opt degrades as the scenario becomes complex since it only focuses on maximizing the total signal strength. Thus, when VUs are densely deployed around a small number of RSUs, most SSF/opt VUs associate with those RSUs, resulting in an inefficient power allocation when NOMA is exercised.

Figure 7.
Mean total power consumption for a complex, stationary configuration with twenty VUs and three channels.
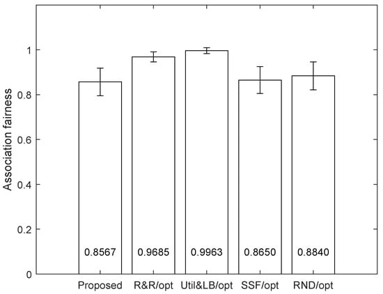
Figure 8 shows the association fairness on a complex road scene. It is obvious that Util&LB/opt achieves the largest fairness as it should be. R&R/opt also has yielded a high fairness score because its simple rounding with random tie-breaking has resulted in a fair distribution of VUs. RND/opt randomly distributes the VUs and thus, it is able to achieve a certain level of fairness and thus, it outperforms Proposed and SSF/opt in terms of fairness score. SSF/opt only highlights maximizing the total signal strength sum, and thus its fairness score is low. Surprisingly, Proposed has recorded the lowest fairness score although the difference to SSF/opt is negligible. Considering that Proposed has consumed the least amount of power, such unfairness indicates that Proposed decides that a certain way of rather unfair association can yield the optimal performance in terms of power consumption.

Figure 8.
Mean association fairness performance for a complex, stationary configuration with twenty VUs and three channels.
The following Figure 9 shows the proportion of the NOMA channel. Except RND/opt which randomly enables NOMA channels, Proposed, Util&LB/opt and SSF/opt utilize more NOMA channels compared to R&R/opt, although the difference is not significant. It is straightforward that if the fairness score is low, more NOMA channels should be utilized which is why Proposed and SSF/opt result in a high proportion of NOMA channels. On the other hand, R&R/opt’s association fairness score is high and thus, the proportion of NOMA channel is relatively small. In the case of Util&LB/opt, although its association fairness score is high, Util&LB/opt utilizes the NOMA channel relatively much. After an in-depth analysis, we found that the randomness in channel conditions occasionally deters VUs from utilizing some channels. As a result, Util&LB/opt actively utilizes NOMA in some scenarios.

Figure 9.
Mean proportion of the NOMA channels for a complex, stationary configuration with twenty VUs and three channels.
Finally, we conducted a long-term simulation to evaluate the performance of the proposed framework under vehicular mobility. The simulation was run for 50 timesteps, with each timestep spanning 100 ms. Vehicle users (VUs) were assumed to move toward the center of the intersection, with their speeds randomly selected to reflect realistic mobility patterns. To simplify the interpretation of results, the accumulated transmit power expenditure, measured in watts, is shown in Figure 10. As anticipated, Proposed demonstrates superior performance, consistently outperforming all other approaches. R&R/opt ranks second, benefiting from its optimization of the association, channel assignment, and NOMA-OMA switching components. Both R&R/opt and SSF/opt exhibit similar power consumption trends due to their shared reliance on simplified optimization techniques. In contrast, RND/opt performs the worst, primarily due to its reliance on random decision-making, which leads to inefficient resource utilization. In the case of Proposed, the slope of the power consumption increases as the simulation progresses toward the final timesteps. This is because VUs gradually converge toward the center of the intersection over time, leading to an increased density around the central RSU. While VUs associated with the central RSU benefit from high channel gains, those linked to edge RSUs must rely on higher transmit power due to weaker channel conditions. This disparity explains the upward trend in the accumulated power consumption toward the end of the simulation.

Figure 10.
Accumulated total power consumption for a long-term complex, mobile configuration with twenty VUs and three channels where each time step spans 100 ms.
For stationary configurations, the complexity of the scenario has little impact on power consumption performance, further validating the robustness of the proposed approaches. This consistency demonstrates that the proposed and comparable methods effectively handle resource allocation regardless of scenario intricacy. However, in mobile scenarios, where VUs operate over a longer duration, the differences in accumulated power consumption become more pronounced. This extended runtime highlights a noticeable performance gap, with R&R/opt outperforming both Util&LB/opt and SSF/opt by a wider margin than in stationary scenarios. Furthermore, both Proposed and R&R/opt exhibit a relatively stable trend in power consumption throughout the simulations, underscoring the robustness of their optimization strategies. This stability indicates their adaptability to dynamic conditions and ensures efficient performance over time, even in complex mobile vehicular networks.
4.5. CPU Time Comparison
In this section, we present the CPU time taken to solve the considered approaches. Figure 11 shows the CPU time of the considered approaches for the simple scenario with varying number of VUs.

Figure 11.
Comparison of the time taken to solve the considered problems with varying numbers of vehicular users on a single-channel stationary configuration.
Both SSF/opt and RND/opt exhibit the least time for solving both phase decisions due to their rule-based simplicity in the first phase. Since this phase employs straightforward algorithms, the computational time required is negligible. However, these methods still solve an optimization problem for power allocation during the second phase, similar to the other approaches. On the other hand, Proposed, R&R/opt, and Util&LB/opt tackle optimization problems in both phases, leading to higher CPU times compared to SSF/opt and RND/opt. When there is only a single vehicle user (VU) in the network, the CPU time differences between Proposed, R&R/opt, and Util&LB/opt are negligible. As the number of VUs increases, the computational time for Proposed grows significantly compared to R&R/opt and Util&LB/opt. This difference arises primarily due to the complexity of the first phase. In Proposed, the first phase involves a centralized optimization problem with the largest number of binary variables, which adds to the computational overhead. R&R/opt simplifies this process by relaxing the binary variables, effectively reducing the time complexity. Meanwhile, Util&LB/opt reduces complexity by splitting the problem into smaller, more manageable parts: it first solves the association problem with fewer binary variables, followed by distributed, per-RSU optimization for channel assignment and NOMA-OMA switching. This partitioned approach substantially decreases CPU time. The mean (standard deviation) CPU time for Proposed, R&R/opt, Util&LB/opt, SSF/opt, and RND/opt is 0.0906 (0.0078), 0.0746 (0.0055), 0.0706 (0.0017), 0.0332 (0.0034), and 0.0318 (0.0029) seconds, respectively.
As the network grows more complex, the differences in CPU time between these approaches become more pronounced. Figure 12 illustrates the mean CPU time required to solve the optimization problems in both stationary and mobile scenarios. The figure highlights that Proposed requires the most time due to its centralized and binary optimization framework for both phases. On the other hand, the rule-based approaches, SSF/opt and RND/opt, continue to show the least CPU time. Notably, the gap between R&R/opt and Util&LB/opt also widens in complex scenarios. Although Util&LB/opt partitions the problem to manage complexity, the presence of binary variables still causes a significant increase in computational time as the number of VUs and channels grows. Conversely, R&R/opt’s relaxation of binary variables enables it to handle increased complexity more efficiently than Util&LB/opt.

Figure 12.
Comparison of the time taken to solve the considered problems with twenty users on a three-channel mobile and stationary configuration.
Our evaluation highlights the uniqueness of the proposed algorithm in its joint optimization of RSU-VU association, channel assignment, NOMA-OMA switching, and power allocation. Unlike other approaches, which handle these components separately, our method integrates them into a unified framework. This integration enables significant reductions in power consumption Figure 4, improved association fairness Figure 5, and increased utilization of NOMA channels Figure 6. Furthermore, the use of binary relaxation and distributed computation ensures computational feasibility for real-time applications, as demonstrated in CPU time comparisons Figure 11 and Figure 12. These results confirm the effectiveness of our novel dynamic switching strategy and its adaptability to diverse vehicular network scenarios.
As an overall summary of the evaluation results, especially when the scenario configuration is complex, the detailed performance comparison across the evaluated methods are given in Table 4.

Table 4.
Overall performance comparison for a complex configuration with twenty VUs and three channels with and without mobility.
5. Conclusions
In this study, we have explored an optimized approach for scheduling a series of essential operations for effectively applying power domain NOMA on vehicular networks. Compared to the previous studies that focus on one or a few aspects, we propose optimizing roadside unit–vehicle user association, channel assignment and power control to fully leverage the advantages of NOMA. The proposed optimization formulation has demonstrated outstanding performance through extensive evaluation. Additionally, to reduce the time complexity of the optimization formulation with complex network configurations, we propose two alternative formulations that can operate efficiently with minimal performance degradation. The inclusion of additional metrics such as SINR and throughput demonstrates the robustness and real-time applicability of the proposed algorithm. These results validate the algorithm’s ability to minimize power consumption while maintaining high communication quality and meeting the constraints, crucial for urban vehicular network scenarios. Our proposed approach is expected to expedite the use of NOMA technology in mobile and dense populated urban vehicular networks, significantly enhancing user experience and safety to a larger extent.
Future Research Directions
The promising future research directions include incorporating dynamic traffic models on rural and urban scenarios, integrating deep learning models for improved adaptability with high generalization performance, extending to heterogeneous networks such as Vehicular Internet of Things (VIoT) [], and validating on real-world testbeds. These steps will further advance NOMA’s application in vehicular networks.
Author Contributions
Conceptualization, A.B. and T.K.; methodology, T.K., Y.K. (Yonggang Kim) and Y.K. (Yohan Kim); software, A.B. and T.K.; validation, S.S., Y.K. (Yohan Kim), Y.K. (Yonggang Kim) and T.K.; formal analysis, S.S. and T.K.; investigation, A.B. and T.K.; resources, T.K.; data curation, A.B.; writing—original draft preparation, A.B. and T.K.; writing—review and editing, S.S., Y.K. (Yonggang Kim) and Y.K. (Yohan Kim); visualization, A.B. and T.K.; supervision, T.K.; project administration, T.K.; funding acquisition, T.K. All authors have read and agreed to the published version of the manuscript.
Funding
This work was supported in part by the National Research Foundation of Korea (NRF) grant funded by the Korea government (MSIT) (No. 2022R1A4A1033600) and in part by Institute of Information & communications Technology Planning & Evaluation (IITP) under the Artificial Intelligence Convergence Innovation Human Resources Development (IITP-2024-RS-2023-00254177) grant funded by the Korea government (MSIT).
Informed Consent Statement
Not applicable.
Data Availability Statement
Data are contained within the article.
Conflicts of Interest
The authors declare no conflicts of interest.
References
- Jiang, D.; Delgrossi, L. IEEE 802.11 p: Towards an international standard for wireless access in vehicular environments. In Proceedings of the VTC Spring 2008-IEEE Vehicular Technology Conference, Singapore, 11–14 May 2008; pp. 2036–2040. [Google Scholar]
- Naik, G.; Choudhury, B.; Park, J.M. IEEE 802.11 bd & 5G NR V2X: Evolution of radio access technologies for V2X communications. IEEE Access 2019, 7, 70169–70184. [Google Scholar]
- Di, B.; Song, L.; Li, Y.; Han, Z. V2X meets NOMA: Non-orthogonal multiple access for 5G-enabled vehicular networks. IEEE Wirel. Commun. 2017, 24, 14–21. [Google Scholar] [CrossRef]
- Ding, Z.; Lei, X.; Karagiannidis, G.K.; Schober, R.; Yuan, J.; Bhargava, V.K. A survey on non-orthogonal multiple access for 5G networks: Research challenges and future trends. IEEE J. Sel. Areas Commun. 2017, 35, 2181–2195. [Google Scholar] [CrossRef]
- Wang, J.; Zhu, K.; Hossain, E. Green Internet of Vehicles (IoV) in the 6G era: Toward sustainable vehicular communications and networking. IEEE Trans. Green Commun. Netw. 2021, 6, 391–423. [Google Scholar] [CrossRef]
- Saluja, D.; Singh, R.; Saluja, N.; Kumar, S. Energy-efficient strategy for improving coverage and rate using hybrid vehicular networks. IEEE Trans. Intell. Transp. Syst. 2020, 23, 430–443. [Google Scholar] [CrossRef]
- SG Andrae, A. New perspectives on internet electricity use in 2030. Eng. Appl. Sci. Lett. 2020, 3, 19–31. [Google Scholar]
- Saito, Y.; Kishiyama, Y.; Benjebbour, A.; Nakamura, T.; Li, A.; Higuchi, K. Non-orthogonal multiple access (NOMA) for cellular future radio access. In Proceedings of the 2013 IEEE 77th Vehicular Technology Conference (VTC Spring), Dresden, Germany, 2–5 June 2013; pp. 1–5. [Google Scholar]
- Akbar, A.; Jangsher, S.; Bhatti, F.A. NOMA and 5G emerging technologies: A survey on issues and solution techniques. Comput. Networks 2021, 190, 107950. [Google Scholar] [CrossRef]
- Budhiraja, I.; Kumar, N.; Tyagi, S.; Tanwar, S.; Han, Z.; Piran, M.J.; Suh, D.Y. A Systematic Review on NOMA Variants for 5G and Beyond. IEEE Access 2021, 9, 85573–85644. [Google Scholar] [CrossRef]
- Islam, S.R.; Avazov, N.; Dobre, O.A.; Kwak, K.S. Power-domain non-orthogonal multiple access (NOMA) in 5G systems: Potentials and challenges. IEEE Commun. Surv. Tutorials 2017, 19, 721–742. [Google Scholar] [CrossRef]
- Chen, Z.; Ding, Z.; Dai, X.; Zhang, R. An optimization perspective of the superiority of NOMA compared to conventional OMA. IEEE Trans. Signal Process. 2017, 65, 5191–5202. [Google Scholar] [CrossRef]
- Sedaghat, M.A.; Müller, R.R. On User Pairing in Uplink NOMA. IEEE Trans. Wirel. Commun. 2018, 17, 3474–3486. [Google Scholar] [CrossRef]
- Azam, I.; Shahab, M.B.; Shin, S.Y. User Pairing and Power Allocation for Capacity Maximization in Uplink NOMA. In Proceedings of the 2019 42nd International Conference on Telecommunications and Signal Processing (TSP), Budapest, Hungary, 1–3 July 2019; pp. 690–694. [Google Scholar]
- Jiang, F.; Gu, Z.; Sun, C.; Ma, R. Dynamic user pairing and power allocation for NOMA with deep reinforcement learning. In Proceedings of the 2021 IEEE Wireless Communications and Networking Conference (WCNC), Nanjing, China, 29 March–1 April 2021; pp. 1–6. [Google Scholar]
- Al-Imari, M.; Xiao, P.; Imran, M.A.; Tafazolli, R. Uplink non-orthogonal multiple access for 5G wireless networks. In Proceedings of the 2014 11th International Symposium on Wireless Communications Systems (ISWCS), Barcelona, Spain, 26–29 August 2014; pp. 781–785. [Google Scholar]
- Alishahi, M.; Fortier, P.; Hao, W.; Li, X.; Zeng, M. Energy minimization for wireless-powered federated learning network with NOMA. IEEE Wirel. Commun. Lett. 2023, 12, 833–837. [Google Scholar] [CrossRef]
- Do, D.T.; Anh Le, T.; Nguyen, T.N.; Li, X.; Rabie, K.M. Joint Impacts of Imperfect CSI and Imperfect SIC in Cognitive Radio-Assisted NOMA-V2X Communications. IEEE Access 2020, 8, 128629–128645. [Google Scholar] [CrossRef]
- Liu, G.; Wang, Z.; Hu, J.; Ding, Z.; Fan, P. Cooperative NOMA Broadcasting/Multicasting for Low-Latency and High-Reliability 5G Cellular V2X Communications. IEEE Internet Things J. 2019, 6, 7828–7838. [Google Scholar] [CrossRef]
- Zhang, F.; Wang, M.M.; Bao, X.; Liu, W. Centralized Resource Allocation and Distributed Power Control for NOMA-Integrated NR V2X. IEEE Internet Things J. 2021, 8, 16522–16534. [Google Scholar] [CrossRef]
- Ihsan, A.; Chen, W.; Zhang, S.; Xu, S. Energy-Efficient NOMA Multicasting System for Beyond 5G Cellular V2X Communications With Imperfect CSI. IEEE Trans. Intell. Transp. Syst. 2022, 23, 10721–10735. [Google Scholar] [CrossRef]
- 3GPP 5G. Study on Channel Model for Frequencies from 0.5 to 100 GHz (3GPP TR 38.901 Version 14.3.0 Release 14); Technical Report; ETSI TR 138 901 V14.3.0; ETSI: Sophia Antipolis, France, 2018. [Google Scholar]
- Baghani, M.; Parsaeefard, S.; Derakhshani, M.; Saad, W. Dynamic non-orthogonal multiple access and orthogonal multiple access in 5G wireless networks. IEEE Trans. Commun. 2019, 67, 6360–6373. [Google Scholar] [CrossRef]
- Dai, L.; Wang, B.; Ding, Z.; Wang, Z.; Chen, S.; Hanzo, L. A survey of non-orthogonal multiple access for 5G. IEEE Commun. Surv. Tutorials 2018, 20, 2294–2323. [Google Scholar] [CrossRef]
- Marijanović, L.; Schwarz, S.; Rupp, M. Multiplexing services in 5G and beyond: Optimal resource allocation based on mixed numerology and mini-slots. IEEE Access 2020, 8, 209537–209555. [Google Scholar] [CrossRef]
- Wolsey, L.A. Integer Programming; John Wiley & Sons: Hoboken, NJ, USA, 2020. [Google Scholar]
- Kim, T.; Qiao, D. Energy-efficient data collection for IoT networks via cooperative multi-hop UAV networks. IEEE Trans. Veh. Technol. 2020, 69, 13796–13811. [Google Scholar] [CrossRef]
- Xu, Y.; Mao, S. User association in massive MIMO HetNets. IEEE Syst. J. 2017, 11, 7–19. [Google Scholar] [CrossRef]
- Kim, T.; Chang, J.M. QoS-aware energy-efficient association and resource scheduling for HetNets. IEEE Trans. Veh. Technol. 2017, 67, 650–664. [Google Scholar] [CrossRef]
- The MathWorks Inc. MATLAB, version 9.13.0 (R2022b); The MathWorks Inc.: Natick, MA, USA, 2022.
- Grant, M.; Boyd, S. CVX: Matlab Software for Disciplined Convex Programming, version 2.1; CVX Research, Inc.: Austin, TX, USA, 2022.
- Gurobi Optimization, LLC. Gurobi Optimizer, version 9.1.0; Gurobi Optimization, LLC.: Beaverton, OR, USA, 2020.
- Gurobi Optimization. Mixed-Integer Programming (MIP)—A Primer on the Basics. Available online: https://www.gurobi.com/resources/mixed-integer-programming-mip-a-primer-on-the-basics (accessed on 1 October 2024).
- Jain, R.K.; Chiu, D.M.W.; Hawe, W.R. A Quantitative Measure of Fairness and Discrimination; Eastern Research Laboratory, Digital Equipment Corporation: Hudson, MA, USA, 1984; Volume 21. [Google Scholar]
- Nugroho, A.K.; Shioda, S.; Kim, T. Optimal Resource Provisioning and Task Offloading for Network-Aware and Federated Edge Computing. Sensors 2023, 23, 9200. [Google Scholar] [CrossRef]
- MATLAB. tic—Starts Stopwatch Timer. Available online: https://www.mathworks.com/help/matlab/ref/tic.html (accessed on 1 December 2024).
- Costa, R. The Internet of moving things [industry view]. IEEE Technol. Soc. Mag. 2018, 37, 13–14. [Google Scholar] [CrossRef]
Disclaimer/Publisher’s Note: The statements, opinions and data contained in all publications are solely those of the individual author(s) and contributor(s) and not of MDPI and/or the editor(s). MDPI and/or the editor(s) disclaim responsibility for any injury to people or property resulting from any ideas, methods, instructions or products referred to in the content. |
© 2024 by the authors. Licensee MDPI, Basel, Switzerland. This article is an open access article distributed under the terms and conditions of the Creative Commons Attribution (CC BY) license (https://creativecommons.org/licenses/by/4.0/).