Distributed Malicious Traffic Detection
Abstract
1. Introduction
- Proposes a federated learning-based distributed malicious traffic detection framework (FL-CNN-Traffic): This framework combines CNN and various federated learning aggregation algorithms (FedAvg, FedProx, Scaffold, and FedNova) to enable local detection on edge devices and global model aggregation on a central server. In malicious traffic detection tasks, the framework integrates data privacy preservation with cross-user collaboration, effectively addressing the “Data Silo” issue while mitigating the privacy leakage risks inherent in centralized detection methods.
- Establish a dynamic collaboration mechanism between the independent client model and the global model: In this framework, clients can use local data for independent model training and updating; and then, only the updated parameters need to be uploaded to the server, which would aggregate these parameters to generate a global model. This collaboration mechanism avoids the centralized transmission of raw traffic data, effectively protecting data privacy and fully learning the diverse data features across devices.
- Performance validation and adaptability evaluation in multiple data scenarios: In the IID data scenario, experiments show that the distributed detection framework for malicious traffic can effectively use computing resources on clients, reduce training time and memory usage, and achieve a level of accuracy comparable to or even better than that of centralized detection methods. In the Non-IID data scenario, datasets are divided by using the Dirichlet and logarithmic normal distribution, so as to implement a systematic analysis of the performance and applicability of the four aggregation algorithms. Moreover, a comparison with other deep neural networks based on federated learning reveals an accuracy improvement of 2.59–4.73%, confirming this framework’s advantages.
2. Related Work
2.1. Malicious Traffic
2.2. Federated Learning for Malicious Traffic Detection
3. FL-CNN-Traffic Framework
3.1. Overview
3.2. Edge Client Design
- Data Collection and Preprocessing: Capture raw traffic data from devices, conduct data preprocessing and feature extraction, and use the processed data as local data for clients to use in subsequent model training.
- Global Model Reception: Receive the global model transmitted by the server and use it as the foundation for updating the local model.
- Local Model Training: Upon receiving the global model parameters sent by the server, initialize them as the local model parameters. Then, the model will be updated using the local dataset through optimization algorithms, such as stochastic gradient descent (SGD).
- Uploading Local Model Parameters: Return the updated model parameters to the server, where they will be aggregated to update the new global model. This process enables collaborative training across multiple clients without disclosing local traffic data.
3.3. Central Server Aggregation Design
- Global Model Initialization: The server randomly initializes a global model parameter to provide a solid starting point for the entire federated learning training process.
- Global Model Distribution: In the first round, the initialized global model is sent to the participating clients. In subsequent rounds of iteration, the server distributes the updated global model parameters to the participating training clients.
- Global Model Aggregation: To effectively aggregate the local traffic data knowledge from each client, the server receives the updated model parameters returned by the clients and performs aggregation according to various methods after each round of federated learning.
| Algorithm 1 Implementation of central server |
|
| Algorithm 2 Implementation of edge client |
|
- Defined the relevant parameters for the client: total number of clients n, unique index Client ID “k”, number of samples per client , local training epochs E, learning rate , and local training loss function gradient .
- Defined the relevant parameters for the server’s global model: global model , total communication rounds , and control variable c for the aggregation algorithm.
3.3.1. FedAvg Weighted Average Aggregation
3.3.2. FedProx Regularization Constraint Aggregation
3.3.3. Scaffold Control Variable Aggregation
3.3.4. FedNova Normalized Averaging Aggregation
4. Experiments
4.1. Experimental Setup
4.1.1. Experimental Environment
4.1.2. Dataset Processing
4.2. Evaluation Metrics
4.3. Performance Comparison Between Centralized and Federated Learning for Traffic Classification
4.4. Performance of the FL-CNN-Traffic
4.4.1. Non-IID Traffic Scenario Segmentation
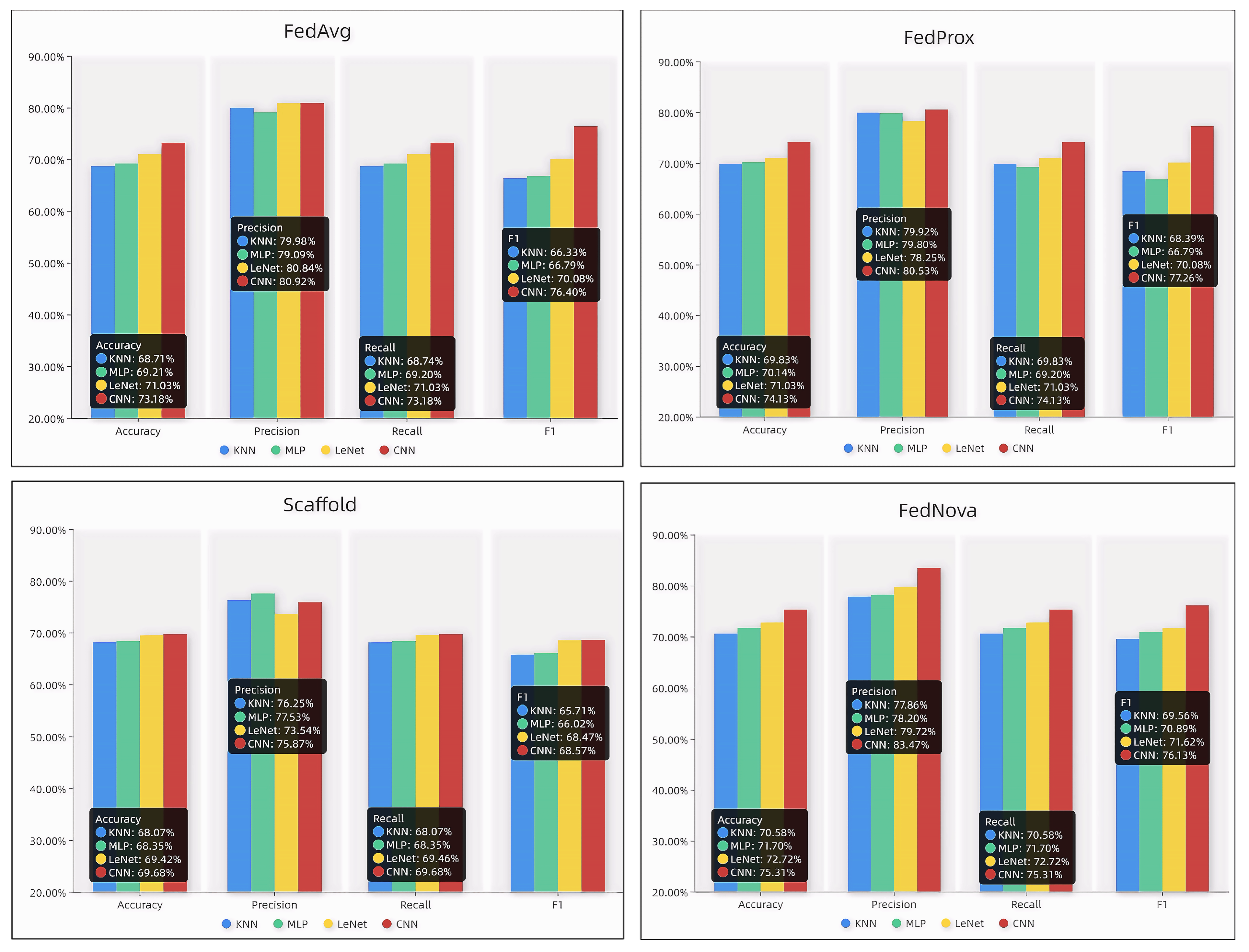
4.4.2. Performance of the FL-CNN-Traffic
4.5. Comparison of Different Neural Networks Combined with Federated Learning for Malicious Traffic Detection
5. Conclusions
Author Contributions
Funding
Data Availability Statement
Conflicts of Interest
Abbreviations
| FL-CNN-Traffic | Federated Learning-based Distributed Malicious Traffic Detection Framework |
| FL | Federated Learning |
| CNN | Convolutional Neural Network |
| IID | Independent and Identically Distributed |
| Non-IID | Non-Independent and Identically Distributed |
References
- Jayaraman, B.; Thai, M.T.N.T.; Anand, A.; Anandan, K.R. Detecting malicious IoT traffic using machine learning techniques. Rom. J. Inf. Technol. Autom. Control 2023, 33, 47–58. [Google Scholar] [CrossRef]
- Chen, F.; Li, P.; Miyazaki, T. In-network aggregation for privacy-preserving federated learning. In Proceedings of the 2021 International Conference on Information and Communication Technologies for Disaster Management (ICT-DM), Hangzhou, China, 3–5 December 2021; IEEE: Piscataway, NJ, USA, 2021; pp. 49–56. [Google Scholar]
- Nguyen, D.C.; Ding, M.; Pathirana, P.N.; Seneviratne, A.; Li, J.; Poor, H.V. Federated learning for internet of things: A comprehensive survey. IEEE Commun. Surv. Tutorials 2021, 23, 1622–1658. [Google Scholar] [CrossRef]
- Chen, M.; Shlezinger, N.; Poor, H.V.; Eldar, Y.C.; Cui, S. Communication-efficient federated learning. Proc. Natl. Acad. Sci. USA 2021, 118, e2024789118. [Google Scholar] [CrossRef]
- Li, L.; Fan, Y.; Tse, M.; Lin, K.Y. A review of applications in federated learning. Comput. Ind. Eng. 2020, 149, 106854. [Google Scholar] [CrossRef]
- Lu, W.; Zhang, X. Based on federated learning and convolutional neural networks intrusion detection model. J. Inf. Secur. Res. 2024, 10, 642. [Google Scholar]
- Yin, Z.W. Design and Implementation of a Distributed Network Security Knowledge Update Mechanism Based on Federated Learning. Master’s Thesis, Beijing Jiaotong University, Beijing, China, 2023. [Google Scholar]
- Moore, A.W.; Zuev, D. Internet traffic classification using bayesian analysis techniques. In Proceedings of the 2005 ACM SIGMETRICS International Conference on Measurement and Modeling of Computer Systems, Banff, AB, Canada, 6–10 June 2005; pp. 50–60. [Google Scholar]
- Li, X.; Qi, F.; Xu, D.; Qiu, X.S. An Internet traffic classification method based on semi-supervised support vector machine. In Proceedings of the 2011 IEEE International Conference on Communications (ICC), Kyoto, Japan, 5–9 June 2011; pp. 1–5. [Google Scholar]
- Fu, C.; Li, Q.; Xu, K. Detecting unknown encrypted malicious traffic in real time via flow interaction graph analysis. arXiv 2023, arXiv:2301.13686. [Google Scholar]
- Aldwairi, T.; Perera, D.; Novotny, M.A. An evaluation of the performance of Restricted Boltzmann Machines as a model for anomaly network intrusion detection. Comput. Netw. 2018, 144, 111–119. [Google Scholar] [CrossRef]
- Belarbi, O.; Khan, A.; Carnelli, P.; Spyridopoulos, T. An intrusion detection system based on deep belief networks. In Proceedings of the International Conference on Science of Cyber Security, Cham, Switzerland, 15–17 August 2022; Springer International Publishing: Cham, Switzerland, 2022; pp. 377–392. [Google Scholar]
- Li, X. Research and Implementation of an Intrusion Detection System Based on Autoencoders. Master’s Thesis, Nanjing University of Posts and Telecommunications, Nanjing, China, 2020. [Google Scholar]
- Wang, W.; Zhu, M.; Zeng, X.; Ye, X. Malware traffic classification using convolutional neural network for representation learning. In Proceedings of the 2017 International Conference on Information Networking (ICOIN), Da Nang, Vietnam, 11–13 January 2017; IEEE: Piscataway, NJ, USA, 2017; pp. 712–717. [Google Scholar]
- Cui, J.; Long, J.; Min, E.; Liu, Q.; Li, Q. Comparative study of CNN and RNN for deep learning based intrusion detection system. In Proceedings of the Cloud Computing and Security: 4th International Conference, ICCCS 2018, Haikou, China, 8–10 June 2018; Revised Selected Papers, Part V. Springer International Publishing: Cham, Switzerland, 2018; pp. 159–170. [Google Scholar]
- Li, X.; Wang, J.; Wang, S.; Chen, J.; Sun, J.; Wang, J. A malicious traffic detection method based on multi-model parallel fusion network. J. Comput. Appl. 2023, 43 (Suppl. S2), 122–129. [Google Scholar]
- McMahan, B.; Moore, E.; Ramage, D.; Hampson, S.; y Arcas, B.A. Communication-efficient learning of deep networks from decentralized data. In Artificial Intelligence and Statistics; PMLR: New York, NY, USA, 2017; pp. 1273–1282. [Google Scholar]
- Mothukuri, V.; Khare, P.; Parizi, R.M.; Pouriyeh, S.; Dehghantanha, A.; Srivastava, G. Federated-learning-based anomaly detection for IoT security attacks. IEEE Internet Things J. 2021, 9, 2545–2554. [Google Scholar] [CrossRef]
- Man, D.; Zeng, F.; Yang, W.; Yu, M.; Lv, J.; Wang, Y. Intelligent intrusion detection based on federated learning for edge-assisted Internet of Things. Secur. Commun. Netw. 2021, 2021, 9361348. [Google Scholar] [CrossRef]
- Chen, H.; Luo, Y.; Xie, L.; Zhang, Z.; Luo, Z.; Guo, W. Collaborative Detection Technology of SDN Abnormal Traffic Based on Federated Learning. Comput. Eng. 2023, 49, 168–176. [Google Scholar]
- Zhang, S.; Zhang, S.; Zhou, M.; Xu, C.; Chen, X. Malicious traffic detection model based on semi-supervised federated learning. J. Comput. Appl. 2024, 11, 3487–3494. [Google Scholar]
- Guo, Y.; Wang, D. Feat: A federated approach for privacy-preserving network traffic classification in heterogeneous environments. IEEE Internet Things J. 2022, 10, 1274–1285. [Google Scholar] [CrossRef]
- Sarhan, M.; Layeghy, S.; Moustafa, N.; Portmann, M. Cyber threat intelligence sharing scheme based on federated learning for network intrusion detection. J. Netw. Syst. Manag. 2023, 31, 3. [Google Scholar] [CrossRef]
- Wang, W. Research on Malicious Traffic Detection Methods for the Internet of Things Based on Federated Learning. Master’s Thesis, Jinan University, Guangzhou, China, 2023. [Google Scholar]
- Bonawitz, K. Towards federated learning at scale: System design. arXiv 2019, arXiv:1902.01046. [Google Scholar]
- Shi, W.; Cao, J.; Zhang, Q.; Li, Y.; Xu, L. Edge computing: Vision and challenges. IEEE Internet Things J. 2016, 3, 637–646. [Google Scholar] [CrossRef]
- Li, H.; Cao, H.; Feng, Y.; Li, X.; Pei, J. Optimization of Graph Clustering Inspired by Dynamic Belief Systems. IEEE Trans. Knowl. Data Eng. 2023, 36, 6773–6785. [Google Scholar] [CrossRef]
- Li, T.; Sahu, A.K.; Zaheer, M.; Sanjabi, M.; Talwalkar, A.; Smith, V. Federated optimization in heterogeneous networks. Proc. Mach. Learn. Syst. 2020, 2, 429–450. [Google Scholar]
- Karimireddy, S.P.; Kale, S.; Mohri, M.; Reddi, S.; Stich, S.; Suresh, A.T. Scaffold: Stochastic controlled averaging for federated learning. In Proceedings of the International Conference on Machine Learning, Virtual, 13–18 July 2020; PMLR: New York, NY, USA, 2020; pp. 5132–5143. [Google Scholar]
- Wang, J.; Liu, Q.; Liang, H.; Joshi, G.; Poor, H.V. Tackling the objective inconsistency problem in heterogeneous federated optimization. Adv. Neural Inf. Process. Syst. 2020, 33, 7611–7622. [Google Scholar]






| Symbol | Description |
|---|---|
| K | The total number of clients in the framework. |
| k | The index representing a specific client. |
| E | The number of local training rounds performed by each client. |
| n | The total number of data samples across all clients. |
| The number of data samples for client k. | |
| The total number of global communication rounds | |
| The global model parameters at communication round t. | |
| The local model parameters updated by client k at round t. | |
| The learning rate used for local model updates. | |
| b | The batch size of local data used during training. |
| c | The global control variable in the scaffold. |
| The local control variable for client k in the scaffold. | |
| The regularization parameter used to balance local updates in the FedProx. | |
| The gradient of the loss function for client k after local iterations. |
| Type | Number | Name |
|---|---|---|
| Malicious Traffic | 624,414 | Cridex, Geodo, Htbot, Miuref, Neris, Nsis-ay, Shifu, Tinba, Virut, Zeus |
| Benign Traffic | 309,887 | BitTorrent, Facetime, FTP, Gmail, MySQL, Outlook, Skype, SMB, Weibo, WorldOf-Warcraft |
| Metric | Description | Formula |
|---|---|---|
| Accuracy | The ratio of correctly identified samples, both malicious and benign, to the total number of samples. | |
| Precision | The ratio of correctly predicted malicious traffic samples to the total number of samples predicted as malicious. | |
| Recall | The ratio of correctly detected malicious traffic samples to the total number of actual malicious traffic samples. | |
| F1-Score | The harmonic mean of Precision and Recall. A higher F1 indicates better classification performance. |
| Type | Accuracy | Precision | Recall | F1 |
|---|---|---|---|---|
| BitTorrent | 93.02% | 94.83% | 93.79% | 93.81% |
| Facetime | 100.00% | 100.00% | 100.00% | 100.00% |
| FIP | 99.48% | 100.00% | 100.00% | 99.74% |
| Gmail | 98.87% | 99.78% | 99.35% | 99.56% |
| Miuref | 93.83% | 91.59% | 93.26% | 92.42% |
| MySQL | 100.00% | 96.76% | 100.00% | 98.35% |
| OutLook | 68.23% | 80.47% | 60.76% | 69.24% |
| Skype | 75.68% | 64.67% | 86.29% | 73.93% |
| Tinba | 96.42% | 93.41% | 96.13% | 94.75% |
| World | 100.00% | 98.63% | 99.17% | 98.90% |
| Zeus | 89.04% | 100.00% | 89.15% | 94.26% |
| Type | Accuracy | Precision | Recall | F1 |
|---|---|---|---|---|
| BitTorrent | 94.25% | 91.43% | 94.37% | 92.90% |
| Facetime | 100.00% | 100.00% | 100.00% | 100.00% |
| FIP | 100.00% | 100.00% | 100.00% | 100.00% |
| Gmail | 99.23% | 99.87% | 99.12% | 99.49% |
| Miuref | 95.07% | 96.38% | 95.35% | 95.86% |
| MySQL | 100.00% | 94.78% | 100.00% | 97.32% |
| OutLook | 69.23% | 72.47% | 69.62% | 71.02% |
| Skype | 86.52% | 67.45% | 76.34% | 71.68% |
| Tinba | 96.45% | 93.42% | 96.13% | 94.76% |
| World | 100.00% | 97.35% | 100.00% | 98.66% |
| Zeus | 89.17% | 99.24% | 89.31% | 94.01% |
| Client Model | Server Aggregation | Accuracy | Precision | Recall | F1 |
|---|---|---|---|---|---|
| CNN | FedAvg | 73.18% | 79.85% | 73.18% | 72.32% |
| FedProx | 74.13% | 80.53% | 74.13% | 77.26% | |
| Scaffold | 69.68% | 75.87% | 69.68% | 68.57% | |
| FedNova | 75.31% | 83.47% | 75.31% | 76.13% |
Disclaimer/Publisher’s Note: The statements, opinions and data contained in all publications are solely those of the individual author(s) and contributor(s) and not of MDPI and/or the editor(s). MDPI and/or the editor(s) disclaim responsibility for any injury to people or property resulting from any ideas, methods, instructions or products referred to in the content. |
© 2024 by the authors. Licensee MDPI, Basel, Switzerland. This article is an open access article distributed under the terms and conditions of the Creative Commons Attribution (CC BY) license (https://creativecommons.org/licenses/by/4.0/).
Share and Cite
Liu, Y.; Wang, Z.; Pang, S.; Ju, L. Distributed Malicious Traffic Detection. Electronics 2024, 13, 4720. https://doi.org/10.3390/electronics13234720
Liu Y, Wang Z, Pang S, Ju L. Distributed Malicious Traffic Detection. Electronics. 2024; 13(23):4720. https://doi.org/10.3390/electronics13234720
Chicago/Turabian StyleLiu, Ying, Zhiqiang Wang, Shufang Pang, and Lei Ju. 2024. "Distributed Malicious Traffic Detection" Electronics 13, no. 23: 4720. https://doi.org/10.3390/electronics13234720
APA StyleLiu, Y., Wang, Z., Pang, S., & Ju, L. (2024). Distributed Malicious Traffic Detection. Electronics, 13(23), 4720. https://doi.org/10.3390/electronics13234720

