Compact DINO-ViT: Feature Reduction for Visual Transformer
Abstract
1. Introduction
2. Related Works
3. Methods
3.1. Feature Extraction
3.2. Feature Reduction
4. Datasets
5. Results and Discussion
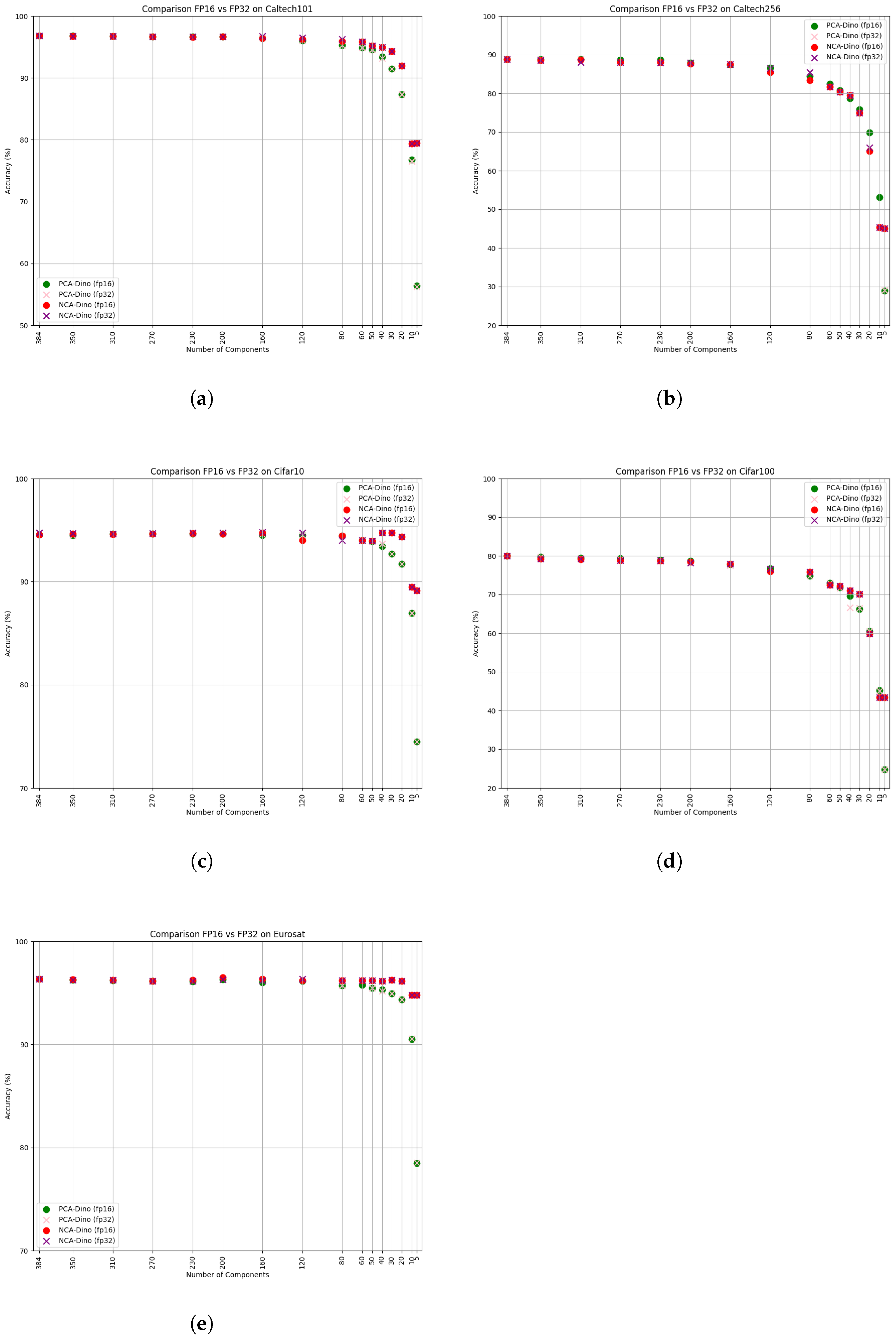
5.1. Experimental Results and Implementation Details
5.2. Discussion
5.2.1. Impact of Feature Reduction on Accuracy
5.2.2. Comparison PCA and NCA
5.2.3. Impact of Categories Number on Accuracy and Features Reduction
5.2.4. Feature Reduction Thresholds: Accuracy Drops Compared to Original DINO-ViT
5.2.5. Impact of Feature Reduction on File Size
5.2.6. Comparison Results with PCA-Resfeats
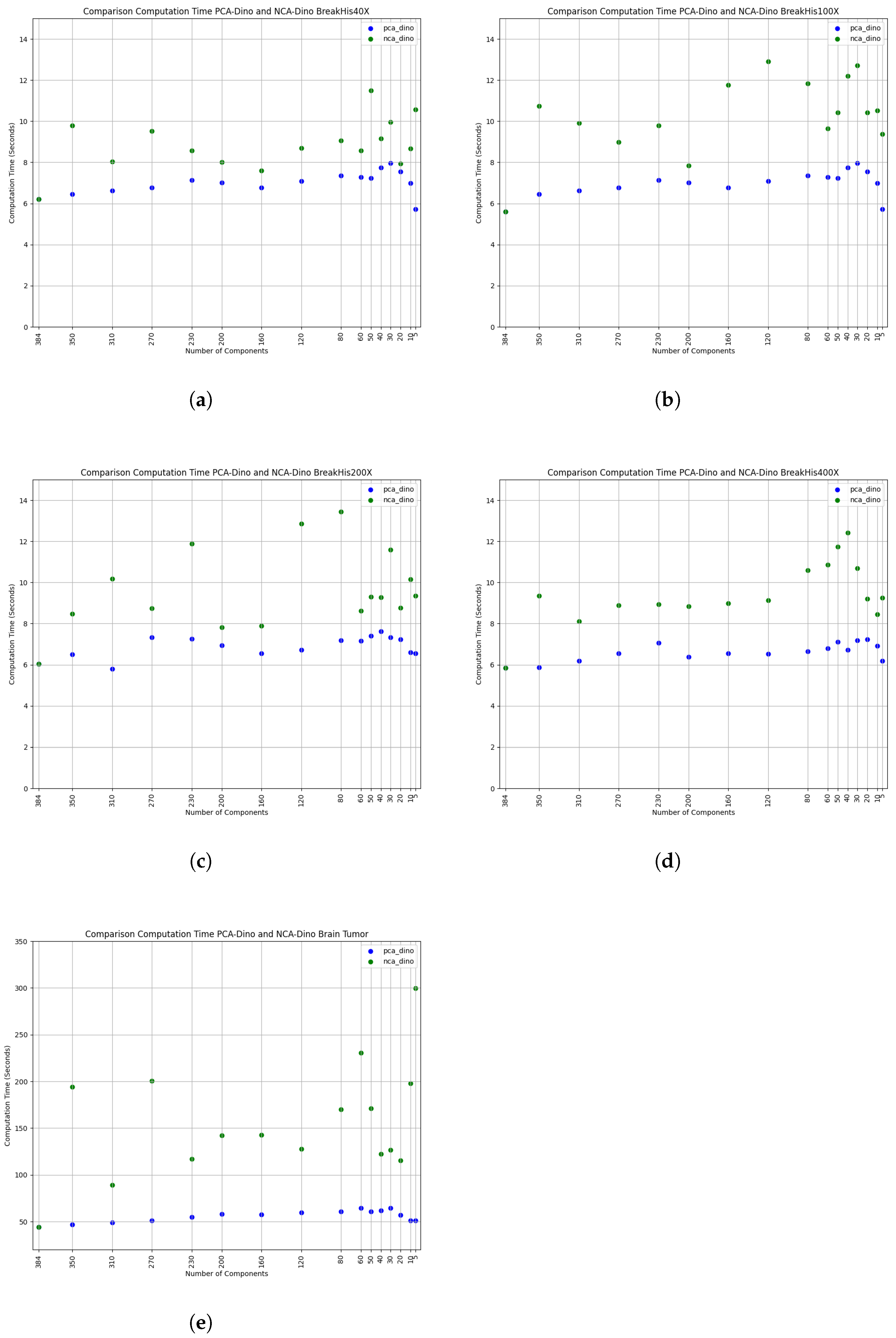
5.2.7. Computation Time and Memory Usage Evaluation in PCA-DINO and NCA-DINO
5.2.8. Comparison of PCA, NCA, and UMAP for Dimensionality Reduction on DINO-ViT
5.3. Ablation Study of PCA-DINO and NCA-DINO
5.3.1. Impact of Patch Size in PCA-DINO and NCA-DINO
5.3.2. Impact of Attention Heads Number in PCA-DINO and NCA-DINO
5.3.3. The Impact of Noise on PCA-DINO and NCA-DINO Performance
6. Conclusions
Author Contributions
Funding
Informed Consent Statement
Data Availability Statement
Conflicts of Interest
References
- Łażewski, S.; Cyganek, B. Highly compressed image representation for classification and content retrieval. Integr.-Comput.-Aided Eng. 2024, 31, 267–284. [Google Scholar] [CrossRef]
- Dosovitskiy, A.; Beyer, L.; Kolesnikov, A.; Weissenborn, D.; Zhai, X.; Unterthiner, T.; Dehghani, M.; Minderer, M.; Heigold, G.; Gelly, S.; et al. An image is worth 16×16 words: Transformers for image recognition at scale. arXiv 2020, arXiv:2010.11929. [Google Scholar] [CrossRef]
- Caron, M.; Touvron, H.; Misra, I.; Jégou, H.; Mairal, J.; Bojanowski, P.; Joulin, A. Emerging properties in self-supervised vision transformers. In Proceedings of the IEEE/CVF International Conference on Computer Vision, Virtual Conference, 10–17 October 2021; pp. 9650–9660. [Google Scholar]
- Zebari, R.; Abdulazeez, A.; Zeebaree, D.; Zebari, D.; Saeed, J. A comprehensive review of dimensionality reduction techniques for feature selection and feature extraction. J. Appl. Sci. Technol. Trends 2020, 1, 56–70. [Google Scholar] [CrossRef]
- Ramasubramanian, S.; Sowmyarani, C.; Athreya, A.J.; Devarajan, A.; Shankar, A.U.; Kumar, R. Data Dimensionality Reduction Using Principal Component Analysis: A Case Study. In Proceedings of the 2024 1st International Conference on Communications and Computer Science (InCCCS), Bangalore, India, 22–24 May 2024; IEEE: Washington, DC, USA, 2024; pp. 1–6. [Google Scholar] [CrossRef]
- Goldberger, J.; Hinton, G.E.; Roweis, S.; Salakhutdinov, R.R. Neighbourhood components analysis. Adv. Neural Inf. Process. Syst. 2004, 17, 513–520. [Google Scholar]
- Mwangi, B.; Tian, T.S.; Soares, J.C. A review of feature reduction techniques in neuroimaging. Neuroinformatics 2014, 12, 229–244. [Google Scholar] [CrossRef] [PubMed]
- Velliangiri, S.; Alagumuthukrishnan, S. A review of dimensionality reduction techniques for efficient computation. Procedia Comput. Sci. 2019, 165, 104–111. [Google Scholar] [CrossRef]
- Parhizkar, T.; Rafieipour, E.; Parhizkar, A. Evaluation and improvement of energy consumption prediction models using principal component analysis based feature reduction. J. Clean. Prod. 2021, 279, 123866. [Google Scholar] [CrossRef]
- Reddy, G.T.; Reddy, M.P.K.; Lakshmanna, K.; Kaluri, R.; Rajput, D.S.; Srivastava, G.; Baker, T. Analysis of dimensionality reduction techniques on big data. IEEE Access 2020, 8, 54776–54788. [Google Scholar] [CrossRef]
- McInnes, L.; Healy, J.; Melville, J. UMAP: Uniform Manifold Approximation and Projection for Dimension Reduction, 2020. arXiv 2018, arXiv:1802.03426. [Google Scholar] [CrossRef]
- Cherifi, M.; Mesloub, A.; El Korso, M.N.; Touhami, T.; Gharbi, A.H. Dimensionality Reduction for Hyperspectral Image Classification. In Proceedings of the 2024 8th International Conference on Image and Signal Processing and their Applications (ISPA), IEEE, Biskra, Algeria, 21–22 April 2024; pp. 1–8. [Google Scholar] [CrossRef]
- Sharma, R.; Singh, A. An integrated approach towards efficient image classification using deep CNN with transfer learning and PCA. Adv. Technol. Innov. 2022, 7, 105. [Google Scholar] [CrossRef]
- Agrawal, A.K.; Chakraborty, G. Neighborhood component analysis to leverage the class label information during feature selection to enhance the damage classification performance. Structures 2023, 57, 105174. [Google Scholar] [CrossRef]
- Amir, S.; Gandelsman, Y.; Bagon, S.; Dekel, T. Deep vit features as dense visual descriptors. arXiv 2021, arXiv:2112.05814. [Google Scholar] [CrossRef]
- Mo, S.; Sun, Z.; Li, C. Multi-level contrastive learning for self-supervised vision transformers. In Proceedings of the IEEE/CVF Winter Conference on Applications of Computer Vision, Waikoloa, HI, USA, 3–8 January 2023; pp. 2778–2787. [Google Scholar] [CrossRef]
- Kamra, C.G.; Mastan, I.D.; Kumar, N.; Gupta, D. SimSAM: Simple Siamese Representations Based Semantic Affinity Matrix for Unsupervised Image Segmentation. arXiv 2024, arXiv:2406.07986. [Google Scholar] [CrossRef]
- Doorsamy, W.; Rameshar, V. Investigation of PCA as a compression pre-processing tool for X-ray image classification. Neural Comput. Appl. 2023, 35, 1099–1109. [Google Scholar] [CrossRef]
- Ye, H.J.; Yin, H.H.; Zhan, D.C. Modern Neighborhood Components Analysis: A Deep Tabular Baseline Two Decades Later. arXiv 2024, arXiv:2407.03257. [Google Scholar] [CrossRef]
- van der Maaten, L.; Hinton, G. Visualizing Data using t-SNE. J. Mach. Learn. Res. 2008, 9, 2579–2605. [Google Scholar]
- Oquab, M.; Darcet, T.; Moutakanni, T.; Vo, H.; Szafraniec, M.; Khalidov, V.; Fernandez, P.; Haziza, D.; Massa, F.; El-Nouby, A.; et al. DINOv2: Learning Robust Visual Features without Supervision. arXiv 2024, arXiv:2304.07193. [Google Scholar] [CrossRef]
- Suri, S.; Walmer, M.; Gupta, K.; Shrivastava, A. LiFT: A Surprisingly Simple Lightweight Feature Transform for Dense ViT Descriptors. In Proceedings of the European Conference on Computer Vision, Milan, Italy, 29 September–4 October 2024; Springer: Berlin/Heidelberg, Germany, 2024; pp. 110–128. [Google Scholar] [CrossRef]
- Ibrahem, H.; Salem, A.; Kang, H.S. Rt-vit: Real-time monocular depth estimation using lightweight vision transformers. Sensors 2022, 22, 3849. [Google Scholar] [CrossRef]
- Cyganek, B. Object Detection and Recognition in Digital Images: Theory and Practice; John Wiley & Sons: Hoboken, NJ, USA, 2013. [Google Scholar]
- Gupta, P.; Rasheed, A.; Steen, S. Correlation-based outlier detection for ships’ in-service datasets. J. Big Data 2024, 11, 85. [Google Scholar] [CrossRef]
- Sinaice, B.B.; Owada, N.; Saadat, M.; Toriya, H.; Inagaki, F.; Bagai, Z.; Kawamura, Y. Coupling NCA dimensionality reduction with machine learning in multispectral rock classification problems. Minerals 2021, 11, 846. [Google Scholar] [CrossRef]
- Ehrlinger, L.; Wöß, W. A survey of data quality measurement and monitoring tools. Front. Big Data 2022, 5, 850611. [Google Scholar] [CrossRef] [PubMed]
- Thara, D.; PremaSudha, B.; Xiong, F. Auto-detection of epileptic seizure events using deep neural network with different feature scaling techniques. Pattern Recognit. Lett. 2019, 128, 544–550. [Google Scholar] [CrossRef]
- Fei-Fei, L.; Fergus, R.; Perona, P. Learning generative visual models from few training examples: An incremental Bayesian approach tested on 101 object categories. In Proceedings of the Computer Vision and Pattern Recognition Workshop, Washington, DC, USA, 27 June–2 July 2004; p. 178. [Google Scholar] [CrossRef]
- Griffin, G.; Holub, A.; Perona, P. Caltech-256 Object Category Dataset; Technical Report; California Institute of Technology: Los Angeles, CA, USA, 2007. [Google Scholar]
- Krizhevsky, A.; Hinton, G. Learning Multiple Layers of Features from Tiny Images; Technical Report; University of Toronto: Toronto, ON, Canada, 2009. [Google Scholar]
- Helber, P.; Bischke, B.; Dengel, A.; Borth, D. EuroSAT: A novel dataset and deep learning benchmark for land use and land cover classification. IEEE J. Sel. Top. Appl. Earth Obs. Remote Sens. 2019, 12, 2216–2226. [Google Scholar] [CrossRef]
- Ambarish. BreakHis Dataset. 2019. Available online: https://www.kaggle.com/datasets/ambarish/breakhis?select=BreaKHis_v1 (accessed on 4 September 2024).
- Chowdhury, M.; Rahman, T.; Khandakar, A.; Mazhar, R.; Kadir, M.; Mahbub, Z.; Islam, K.; Khan, M.; Iqbal, A.; Al-Emadi, N.; et al. Can AI help in screening Viral and COVID-19 pneumonia? IEEE Access 2020, 8, 132665–132676. [Google Scholar] [CrossRef]
- Rahman, T.; Khandakar, A.; Qiblawey, Y.; Tahir, A.; Kiranyaz, S.; Kashem, S.; Islam, M.; Maadeed, S.; Zughaier, S.; Khan, M.; et al. Exploring the Effect of Image Enhancement Techniques on COVID-19 Detection using Chest X-ray Images. arXiv 2020, arXiv:2012.02238. [Google Scholar] [CrossRef] [PubMed]
- Saisanthosh, R.K. Brain Tumour Classification. 2024. Available online: https://www.kaggle.com/datasets/rishiksaisanthosh/brain-tumour-classification (accessed on 4 September 2024).
- Pinto, N.; Cox, D.D.; DiCarlo, J.J. Why is real-world visual object recognition hard? PLoS Comput. Biol. 2008, 4, e27. [Google Scholar] [CrossRef]
- Becht, E.; McInnes, L.; Healy, J.; Dutertre, C.A.; Kwok, I.W.; Ng, L.G.; Ginhoux, F.; Newell, E.W. Dimensionality reduction for visualizing single-cell data using UMAP. Nat. Biotechnol. 2019, 37, 38–44. [Google Scholar] [CrossRef]
- Kwon, H. Adversarial image perturbations with distortions weighted by color on deep neural networks. Multimed. Tools Appl. 2022, 82, 13779–13795. [Google Scholar] [CrossRef]
- Cyganek, B.; Wozniak, M. Tensor-Based Shot Boundary Detection in Video Streams. New Gener. Comput. 2017, 35, 311–340. [Google Scholar] [CrossRef]
- Knapik, M.; Cyganek, B.; Balon, T. Multimodal Driver Condition Monitoring System Operating in the Far-Infrared Spectrum. Electronics 2024, 13, 3502. [Google Scholar] [CrossRef]

















| Dataset | Classes | Size Information | Image Size | Total Images |
|---|---|---|---|---|
| Caltech101 [29] | 101 | 139.2 MB | varied | 9146 |
| Calteh256 [30] | 256 | 1.2 GB | varied | 30,607 |
| Cifar10 [31] | 10 | 137.2 MB | 32 × 32 | 60,000 |
| Cifar100 [31] | 100 | 136 MB | 32 × 32 | 60,000 |
| Eurosat [32] | 10 | 93 MB | 64 × 64 | 27,000 |
| BreakHis-40× [33] | 8 | 1.2 GB | 700 × 460 | 1989 |
| BreakHis-100× [33] | 8 | 1.2 GB | 700 × 460 | 2075 |
| BreakHis-200× [33] | 8 | 1 GB | 700 × 460 | 2007 |
| BreakHis-400× [33] | 8 | 905.1 MB | 700 × 460 | 1814 |
| COVID-19 Radiography [34,35] | 4 | 775.4 MB | 299 × 299 | 21,165 |
| Brain Tumor [36] | 4 | 527.65 MB | 512 × 512 | 24,159 |
| n_Component 1 | Rep. Size 2 | Caltech101 | Caltech256 | Cifar10 | Cifar100 | Eurosat | BreakHis-40× | BreakHis-100× | BreakHis-200× | BreakHis-400× | COVID-19 Radiography | Brain Tumor |
|---|---|---|---|---|---|---|---|---|---|---|---|---|
| 384 | 1.5 | 96.87 | 88.89 | 94.72 | 79.97 | 96.37 | 89.32 | 83.9 | 83.8 | 80.66 | 91.4 | 97.05 |
| 350 | 1.367 | 97.00 | 89.20 | 94.21 | 79.85 | 96.50 | 89.37 | 83.61 | 83.8 | 80.77 | 91.49 | 96.93 |
| 310 | 1.211 | 96.89 | 88.89 | 94.46 | 79.62 | 96.65 | 88.67 | 83.95 | 83.66 | 80.66 | 91.58 | 96.85 |
| 270 | 1.055 | 96.95 | 88.66 | 94.46 | 79.32 | 96.41 | 88.82 | 83.47 | 82.86 | 80.11 | 91.48 | 96.8 |
| 230 | 0.898 | 96.89 | 88.24 | 94.37 | 78.64 | 96.24 | 88.72 | 82.84 | 82.17 | 79.67 | 91.51 | 96.48 |
| 200 | 0.781 | 96.95 | 88.11 | 94.39 | 78.45 | 96.50 | 88.12 | 82.08 | 81.17 | 78.46 | 91.5 | 96.36 |
| 160 | 0.625 | 96.43 | 87.68 | 94.55 | 77.83 | 96.30 | 87.22 | 80.68 | 80.63 | 77.31 | 91.23 | 95.83 |
| 120 | 0.469 | 95.79 | 86.61 | 94.54 | 77.05 | 96.17 | 86.32 | 80.3 | 80.38 | 77.14 | 90.74 | 94.86 |
| 80 | 0.313 | 95.45 | 84.84 | 94.28 | 74.82 | 96.43 | 84.61 | 79.67 | 79.73 | 75.77 | 90.38 | 93.41 |
| 60 | 0.234 | 94.93 | 83.22 | 93.96 | 72.85 | 96.17 | 84.06 | 77.99 | 78.64 | 73.85 | 89.72 | 92.67 |
| 50 | 0.195 | 94.59 | 80.99 | 93.59 | 71.89 | 96.13 | 82.41 | 77.41 | 77.55 | 72.91 | 89.16 | 92 |
| 40 | 0.156 | 92.80 | 78.75 | 93.24 | 69.88 | 95.76 | 82.16 | 75.49 | 76.01 | 72.14 | 88.51 | 90.77 |
| 30 | 0.117 | 91.59 | 75.43 | 92.81 | 66.64 | 95.37 | 79.6 | 73.14 | 74.91 | 70.49 | 87.28 | 89.66 |
| 20 | 0.078 | 87.96 | 69.81 | 91.60 | 60.83 | 94.52 | 74.44 | 66.75 | 71.29 | 67.2 | 85.84 | 88.43 |
| 10 | 0.039 | 78.17 | 52.40 | 86.64 | 46.08 | 90.78 | 64.26 | 57.66 | 62.15 | 57.64 | 81.47 | 84.67 |
| 5 | 0.02 | 57.78 | 28.77 | 74.40 | 24.85 | 78.81 | 56.09 | 51.85 | 56.93 | 52.25 | 72.91 | 76.62 |
| n_Component 1 | Rep. Size 2 | Caltech101 | Caltech256 | Cifar10 | Cifar100 | Eurosat | BreakHis-40× | BreakHis-100× | BreakHis-200× | BreakHis-400× | COVID-19 Radiography | Brain Tumor |
|---|---|---|---|---|---|---|---|---|---|---|---|---|
| 384 | 1.5 | 96.87 | 88.89 | 94.72 | 79.97 | 96.37 | 89.32 | 83.9 | 83.8 | 80.66 | 91.4 | 97.05 |
| 350 | 1.367 | 96.76 | 88.64 | 94.68 | 79.19 | 96.3 | 89.22 | 84 | 83.81 | 80.44 | 91.48 | 96.89 |
| 310 | 1.211 | 96.75 | 88.11 | 94.63 | 79.2 | 96.35 | 89.02 | 83.9 | 83.26 | 80.6 | 91.67 | 96.86 |
| 270 | 1.055 | 96.66 | 87.95 | 94.78 | 78.92 | 96.22 | 89.07 | 82.89 | 83.36 | 80.99 | 91.3 | 96.69 |
| 230 | 0.898 | 96.67 | 87.94 | 94.72 | 78.77 | 96.09 | 88.82 | 83.04 | 82.46 | 79.89 | 91.42 | 96.46 |
| 200 | 0.781 | 96.72 | 87.82 | 94.73 | 78.01 | 96.26 | 88.27 | 82.22 | 81.52 | 78.68 | 91.71 | 96.38 |
| 160 | 0.625 | 96.74 | 87.54 | 94.78 | 77.86 | 96.18 | 87.42 | 80.68 | 80.97 | 77.47 | 91.24 | 95.82 |
| 120 | 0.469 | 96.51 | 86.7 | 94.84 | 77.23 | 96.34 | 86.07 | 80.25 | 80.73 | 77.64 | 91.27 | 94.93 |
| 80 | 0.313 | 96.24 | 85.43 | 95 | 75.83 | 96.2 | 85.11 | 79.62 | 80.03 | 76.98 | 90.73 | 93.65 |
| 60 | 0.234 | 95.91 | 83.83 | 94.8 | 74.81 | 96.14 | 83.46 | 79 | 79.98 | 74.51 | 90.49 | 92.9 |
| 50 | 0.195 | 95.82 | 83.04 | 94.8 | 74.19 | 96.21 | 82.91 | 77.46 | 78.39 | 73.57 | 90.27 | 92.33 |
| 40 | 0.156 | 95.31 | 81.73 | 94.85 | 72.71 | 96.26 | 81.65 | 76.65 | 76.9 | 74.01 | 90.21 | 91.81 |
| 30 | 0.117 | 94.95 | 79.42 | 94.73 | 70.99 | 96.22 | 82.06 | 73.91 | 75.31 | 73.19 | 89.82 | 91.12 |
| 20 | 0.078 | 93.87 | 74.95 | 94.73 | 68.02 | 96.26 | 76.44 | 69.68 | 73.03 | 70.6 | 89.38 | 90.34 |
| 10 | 0.039 | 89.77 | 65.08 | 94.83 | 59.86 | 96.09 | 70.33 | 64.2 | 68.41 | 63.35 | 88.63 | 89.62 |
| 5 | 0.02 | 79.45 | 45.33 | 94.18 | 43.33 | 94.72 | 62.46 | 55.12 | 63.59 | 56.32 | 88.86 | 89.07 |
| Dataset | PCA-DINO | NCA-DINO |
|---|---|---|
| Caltech101 | 30 | 20 |
| Caltech256 | 60 | 60 |
| Cifar10 | 20 | 5 |
| Cifar100 | 80 | 60 |
| Eurosat | 10 | 5 |
| BreakHis-40× | 60 | 60 |
| BreakHis-100× | 60 | 60 |
| BreakHis-200× | 60 | 50 |
| BreakHis-400× | 80 | 80 |
| COVID-19 Radiography | 20 | 5 |
| Brain Tumor | 50 | 40 |
Disclaimer/Publisher’s Note: The statements, opinions and data contained in all publications are solely those of the individual author(s) and contributor(s) and not of MDPI and/or the editor(s). MDPI and/or the editor(s) disclaim responsibility for any injury to people or property resulting from any ideas, methods, instructions or products referred to in the content. |
© 2024 by the authors. Licensee MDPI, Basel, Switzerland. This article is an open access article distributed under the terms and conditions of the Creative Commons Attribution (CC BY) license (https://creativecommons.org/licenses/by/4.0/).
Share and Cite
Chandranegara, D.R.; Niedziela, P.; Cyganek, B. Compact DINO-ViT: Feature Reduction for Visual Transformer. Electronics 2024, 13, 4694. https://doi.org/10.3390/electronics13234694
Chandranegara DR, Niedziela P, Cyganek B. Compact DINO-ViT: Feature Reduction for Visual Transformer. Electronics. 2024; 13(23):4694. https://doi.org/10.3390/electronics13234694
Chicago/Turabian StyleChandranegara, Didih Rizki, Przemysław Niedziela, and Bogusław Cyganek. 2024. "Compact DINO-ViT: Feature Reduction for Visual Transformer" Electronics 13, no. 23: 4694. https://doi.org/10.3390/electronics13234694
APA StyleChandranegara, D. R., Niedziela, P., & Cyganek, B. (2024). Compact DINO-ViT: Feature Reduction for Visual Transformer. Electronics, 13(23), 4694. https://doi.org/10.3390/electronics13234694

