Next Article in Journal
Design of an Accurate, Planar, Resonant Microwave Sensor for Testing a Wide Range of Liquid Samples
Previous Article in Journal
LEVIOSA: Natural Language-Based Uncrewed Aerial Vehicle Trajectory Generation
 
 
Font Type:
Arial Georgia Verdana
Font Size:
Aa Aa Aa
Line Spacing:
Column Width:
Background:
Article

Comparative Reliability Analysis of Unmanned Aerial Vehicle Swarm Based on Mathematical Models of Binary-State and Multi-State Systems

1
Department of Informatics, University of Žilina, 010 26 Žilina, Slovakia
2
Institute of Automation and Information Technologies, Satbayev University (KazNRTU), Almaty 050013, Kazakhstan
3
Institute of Information and Computational Technologies, Almaty 050010, Kazakhstan
4
Department of Electronic Computers, National University of Radio Electronics, 61166 Kharkiv, Ukraine
5
Institute of Economics, Information Technologies and Professional Education, West Kazakhstan Agrarian and Technical University Named After Zhangir Khan, 090009 Uralsk, Kazakhstan
*
Author to whom correspondence should be addressed.
Electronics 2024, 13(22), 4509; https://doi.org/10.3390/electronics13224509
Submission received: 29 September 2024 / Revised: 30 October 2024 / Accepted: 14 November 2024 / Published: 17 November 2024
(This article belongs to the Section Networks)

Abstract

A key aspect in evaluating the performance of a UAV or its swarm is reliability. The reliability is calculated based on various mathematical models. Traditionally, Binary-State System (BSS) models, which assess two states—operational and faulty—are employed. However, some studies suggest using a Multi-State System (MSS) model, which allows for a detailed analysis by considering multiple states beyond just operational and faulty. Both mathematical models allow for the evaluation of Unmanned Aerial Vehicle (UAV) swarms based on availability, which is considered as a probability of swarm mission implementation. There is one more similar assessment computed based on MSS, which is named the probabilities of the performance level. There are not any recommendations for applications of these mathematical models and assessments for reliability analyses of UAV swarms. This paper introduces a comparative study on the availability of UAV swarms using both BSS and MSS models and the probability of performance levels of UAV swarms. This study provides quantitative and qualitative recommendations to exploit these mathematical models and assessments for UAV swarms according to computational complexity and informativeness. The comparative analysis shows that the evaluation of UAV swarm failure should be based on BSS, and the analysis of operation states should be implemented based on probabilities’ performance levels instead of swarm availability. These results are confirmed by quantitative and statistical examinations of UAV swarms of different types based on both BSS and MSS. The number of UAVs is changed from 2 to 20 in these examinations.

1. Introduction

The efficiency of UAV and UAV swarm exploitation depends on various aspects and properties. One of them is the reliability of the UAV swarm. The reliability of a UAV swarm or any other object is computed based on a mathematical model [1,2]. The elaboration of a mathematical model is caused by the analysis goals, information about an object, initial data, and resources for its elaboration and evaluation.
All mathematical models, and for UAV swarms too, can be divided into two types: a Binary-State System (BSS) and Multi-State System (MSS) [3]. BSS allows us to consider two states in the performance of UAV swarms and states of its components (UAVs): failure and action. MSS is a mathematical model that can involve considering several performance levels of a swarm and its UAVs. The reliability analysis of a system (in this study, a UAV swarm) based on MSS provides a detailed evaluation. However, this analysis’s computational complexity is higher than the reliability analysis based on BSS [3,4]. Therefore, the first step of a mathematical model for reliability analysis development is to have some recommendations for the choice between MSS and BSS. The choice between BSS and MDD depends on evaluated system specifics [1,2,3]. There are studies of UAV swarm reliability analyses based on BSS [5,6,7] and MSS [8,9,10]. However, the recommendations for the choice between these mathematical models are absent. These studies consider the problems of UAV swarm reliability in monitoring [5,8], reliability of different structures and topologies of a UAV swarm [7,9], reliability analyses of sensors of a UAV swarm [6,8], and reliability of intelligent UAV [10]. In these studies, the comparison, and reasonableness, of using one or another model was not carried out. Only in the conclusion of paper [9] it was mentioned that the effectiveness of using the availability assessment for MSS is debatable since the result is equivalent to the result of the availability analysis of a UAV swarm based on the BSS. At the same time, the computational complexity of a reliability analysis based on MSS is significantly higher than in the case of BSS use. The decision of this problem is possible by the comparison of reliability assessments computed based on both mathematical models BSS and MSS, these assessments’ informativeness and usefulness, and their calculation’s computational complexity.
This study compares MSS- and BSS-based mathematical models for a reliability analysis of UAV swarms. This comparison is implemented for the mathematical representation of a UAV swarm by a structure function. The structure function maps all components’ states to the system performance levels [3,4]. The number of performance levels for BSS is two and for MSS, it is n (n > 2). So, a structure function indicates a UAV swarm’s performance level depending on UAV states and other components of a swarm (for example, control unit, mobile platform, and others [11]). Indices and measures for swarm reliability evaluation can be computed based on a structure function, and they are availability, reliability, failure rate, and importance measures [4,12]. The availability is a basic evaluation of systems; therefore, it is considered for the UAV swarm analysis in this paper.
The availability of BSS is defined unambiguously for the system as a whole [12,13]. According to studies [3,4], this assessment has several interpretations for MSS: availability of a performance level and probability of the performance level. Therefore, the availability and probabilities of the performance level for MSS are considered in this paper for the comparative analysis instead of availability only. Availability of BSS and availabilities and probabilities of MSS performance levels are considered and compared for the UAV swarm. The goal of this comparison is to propose the appropriate recommendations for the availability analysis of UAV swarms based on mathematical models, both MSS and BSS. The comparison of these mathematical model efficiencies for the reliability analysis of a UAV swarm is implemented firstly in this paper. The novelty of this paper should be considered according to two domains (reliability assessment and UAV swarm analysis):
  • The contribution to reliability analyses is the comparison of BSS and MSS for the same systems, which are UAV swarms of different types. The comparison is implemented for their availability assessments. Availability of BSS and MSS and the probability of the performance level of MSS of swarms are taken into consideration. The similarity of these assessments and the computational complexity of their calculation are analyzed.
  • The contribution of this study to the drone exploitation domain is the definition of recommendations in the mathematical model choice for the evaluation of the failure and active states of drone UAV swarms. It will allow for the simplification of the reliability analysis process of the UAV swarm and reduce computing resources for this analysis.
The work is organized as follows. The analysis of relevant investigations in the reliability analysis of UAV swarms is considered in Section 2. Section 3 introduces the basic mathematical models of BSS and MSS in the reliability analysis of UAV swarms. Section 4 presents the results of a comparative analysis of the assessments of availability and the probability of the UAV swarm performance level based on experimental studies and a case study. Section 5 provides recommendations and specifics for using each of the assessments and mathematical models of BSS and MSS.

2. Reliability Analysis of UAV Swarms: Related Studies

UAV applications are extremely developed at present and the areas of UAV exploitation are expanding permanently [14,15,16,17]. It should be noted that not only is the number of applications expanding for individual UAVs but also that options for using swarms of UAVs are increasingly being considered [5,6,7]. Researchers consider various aspects of UAV and UAV swarm development and use. One important aspect is reliability analyses of UAVs, their component, and UAV swarms [18,19,20]. There are studies of UAV swarm mission implementation [8,21,22]. In study [7], it was shown that the investigation of the reliability of individual UAVs and their components is dominant and the reliability of the UAV swarm is considered in 4% of all publications in UAVs’ reliability analysis. The methods for analyzing the reliability of UAVs and their components differ from those used for UAV swarms. Typically, when conducting a reliability analysis of a UAV, its structure and the interrelations of its components are clearly defined. However, when evaluating a UAV swarm, its structure is not as clearly defined. This leads to the use of different mathematical models for the reliability analysis of these two objects, and consequently, different methods for their quantification. The review of methods of a UAV reliability analysis is in [14,17,18]. Examples of reliability analyses of UAV swarms can be found in [5,6,7,8,9,10].
Authors of studies [7,22] introduced taxonomy for UAV swarm reliability analyses. This taxonomy takes into consideration such factors of a UAV swarm reliability analysis as topology, heterogeneity, and redundancy.
According to this taxonomy in studies [7,22], eight typical structures of a UAV swarm have been defined and considered:
  • Homogenous irredundant UAV swarm with decentral control (HoID);
  • Homogenous irredundant UAV swarm with central control (HoIC);
  • Homogenous redundant UAV swarm with decentral control (HoRD);
  • Homogenous redundant UAV swarm with central control (HoRC);
  • Heterogenous irredundant UAV swarm with decentral control (HeID);
  • Heterogenous irredundant UAV swarm with central control (HeIC);
  • Heterogenous redundant UAV swarm with decentral control (HeRD);
  • Heterogenous redundant UAV swarm with central control (HeRC).
UAV swarms are homogenous if all UAVs have equal parameters from the point of view of reliability; first of all, it is the frequency of a fault or probabilities of UAV breakdown [21,23]. UAVs of different types form heterogenous UAV swarms [24,25]. Each of these types can be irredundant (non-redundant) or redundant swarms [26,27]. The problem of redundancy is one of the most important in reliability engineering, which is considered as active redundancy and standby redundancy [27]. Standby redundancy can be categorized into three types: hot, cold, and warm standby sparing. Hot standby sparing acts as a failover mechanism to ensure system configuration reliability. It is typically used in applications where recovery time is critical. The mathematical model for this type of redundancy is similar to active redundancy, provided that switching delays and failures are not considered. Cold standby activates when the primary component fails and needs replacement. This method is often employed in systems where energy consumption is a critical factor. Warm standby sparing strikes a balance between energy consumption and recovery time [28]. Here, the spare components are partially powered when the primary component is operational and fully powered only after the primary component fails. In study [27], the hot stable and cold stable redundancies were compared. The authors show that the switching times of these two types of redundancies are comparable. The scenarios of some drone replacements are investigated in [29]. In the context of redundancy and homogeneity/heterogeneity of a UAV swarm, types of distribution law can be considered for a mathematical mode, flight time, and other parameters of reliability. In this paper, the type of control of the swarm is taken into consideration, decentral control and central control, where all UAVs have a connection with the central control unit [30,31,32].
Unlike other approaches, the taxonomy in [7,22] includes such an important reliability analysis parameter as the mathematical model used to represent the UAV swarm. BSS is a mathematical model that indicates and represents two states in a system’s performance and its components only [21,29,33]. These states are a failure and operating/functioning. It is the most often used mathematical model in reliability analyses. MSS can be considered as a generalization of BSS. MSS is a mathematical model, which allows for the evaluation of several performance levels (more than two) for a system and its components [3,4,34,35,36,37]. At the same time, the analysis of the system based on MSS needs higher computational resources [3,4]. In papers [4,9], authors mentioned that the use of MSS is not always justified. Complicating the mathematical model for a reliability analysis may not necessarily make it more informative or effective but needs additional computational resources.
BSS and MSS can have different mathematical interpretations depending on the conditions and purposes of the reliability analysis [37]. This mathematical interpretation closely correlates with the mathematical method used for reliability evaluation. Markov models [38], Bayesian networks [39], Monte-Carlo Simulation [40], logical–algebraic models [7,9], and others can be used for both BSS and MSS. The simplest of all these mathematical interpretations are logical–algebraic models, which are known as the structure function of the system [7,9], Reliability-Block Diagram (RBD) [9,41], Binary/Multiple-Valued Decision Diagram [21,42], or fault tree [43]. This is the same mathematical model in various forms of presentation. The main disadvantage of this mathematical model is the exponential increase in dimensions depending on the increase in the number of system elements (UAVs in a swarm) [44]. However, in this case, decision diagrams can be used, which makes it easy to operate with high-dimensional mathematical models.
In this paper, we propose to consider the reliability analysis of UAV swarms based on their mathematical representation in the form of BSS and MSS structure functions. The reliability assessment of a UAV swarm based on BSS structure function was considered in study [7]. In paper [9], the MSS structure function was used for a UAV swarm availability analysis. This analysis has higher computational complexity. At the same time, as shown in the fundamental works on the MSS [44,45], such an assessment as availability for BSS, in the case of the MSS, has several interpretations: availability and probability of the system performance level. These assessments of MSS, in the case of the BSS, are reduced to the same assessment availability. When analyzing a system based on the MSS structural function, these are different assessments. In work [9], when assessing availability based on the MSS structural function, a result was obtained that showed that using availability to assess a UAV swarm is not always effective. Moreover, a correlation was observed between the availability of the first level of UAV swarm performance, calculated based on the MSS, and the availability calculated based on the BSS. In this paper, we implement the analysis and comparison of such assessments of a UAV swarm as availability based on the BSS, UAV swarm availability based on the MSS, and probabilities of UAV swarm performance levels based on the MSS. The purpose of this comparison is to obtain conditions and recommendations for using each of the characteristics in a UAV swarm analysis, from the point of view of informativeness and computational costs.

3. Mathematical Model of UAV Swarm

3.1. Structure Function of UAV Swarm

There are two important types of mathematical models in reliability engineering: MSS and BSS. The representation of a mathematical model of each type can be based on different mathematical approaches: structure function-based, a Markov model, a Bayesian network, and others. The simplest of them is structure function, which defines the correlation between all components’ states and system performance levels. Let us consider the MSS structure for a UAV swarm, which is formed by n UAV [9,44]:
ϕ(x1, …, xn) = ϕ(x): {0, …, m1 − 1} × … × {0, …, mn − 1} → {0, …, M − 1},
where the variable xi agrees to the state of the ith UAV (i = 1,…, n); x = (x1, …, xn) is the state vector; mi is the number of the states of UAV i; xi = 0 is interpreted as the component fault and xi = mi − 1 is perfect functioning; and the UAV swarm has M performance levels, which change from zero (swarm failure) to M − 1 (the perfect performance level of a swarm).
Note that in this paper the number n is interpreted as the number of UAVs in a swarm, and the other swarm’s components as the control unit are defined as (n + 1). The BSS structure function is defined based on (1) for mi = mj = M = 2 for any (ij, i, j ∈ {1, …, n}) and it is a Boolean function:
ϕ(x): {0, 1}n → {0, 1}.
In papers [7,9], the structure functions of redundant and irredundant UAV swarms were defined based on typical structures. A series system represents an irredundant UAV swarm and a k-out-of-n system describes a redundant swarm, where n is the number of UAVs for a swarm with decentral control and, in the case of a swarm with a control unit, this structure function has (n − 1) variables interpreted as UAVs and variable xn for the representation of the control unit. A control unit is a series component of a system for a UAV swarm. Note that a BSS structure function of a UAV swarm is uniquely determined based on a series or k-out-of-n systems. Several structural functions can be defined for the same typical structure based on an MSS. For example, let us consider the redundant swarm with the central control. This swarm is formed by three UAVs and one control unit (n = 4). In Table 1, the BSS structure function (2) of the redundant swarm of three UAVs with the central control (n = 4) is shown. The MSS structure functions ϕ1(x) and ϕ2(x) of the similar UAV swarm are in Table 2 for n = 4, m1 = m2 = m3 = 2, m4 = 3, and M = 4. The structure functions in Table 1 and Table 2 are similar. However, the MSS structure function describes the UAV swarm in more detail and allows for the reflection of the influence of the control unit state and number of active UAVs. At the same time, the dimension of this structure function is larger than the BSS structure function.
Thus, the expressions of structure functions of typical structures for UAV swarm assessments can be defined for a BSS. However, the expression of MSS structure functions for the same type of UAV swarm is multivariant. It leads to difficulties in defining expressions for the UAV swarm assessments. For example, in paper [9], the expressions of assessments were defined. Still, these expressions can be acceptable for the MSS structure function definition according to Multiple-Valued Logic functions, which, in this paper, have been considered. Therefore, in this paper, the definitions of MSS structure functions are not discussed and the evaluation of the UAV swarm is proposed for the general definition of MSS function (1).

3.2. Evaluation of UAV Swarm Performance

The evaluation of the system (UAV swarm) performance can be implemented based on availability [3,44,45]. The availability of a system based on the structure function can be defined for MSS and BSS. The availability of a BSS A is defined based on (2) as the sum of the probabilities of system working states:
A = Pr{ ϕ(x) = 1}.
Each component functioning of a BSS is characterized by the probability of the work pi and the probability of the fault qi (pi + qi = 1), i = 1, …, n. The unavailability of a BSS is defined as
U = Pr{ ϕ(x) = 0} or U = 1 − A.
The analysis of MSS is performed based on its components’ states, and the probability of state s of component i is denoted as pi,s (i = 1, …, n and s = 0, …, mi − 1). The evaluation of an MSS according to [3,4,44,45] can be based on two measures: availability/unavailability or probabilities of the performance level. Both of them for m = 2 are (3).
The availability of an MSS for performance level j A(j) is defined as the sum of the probabilities of system working states from j to M − 1:
A(j) = Pr{ϕ(x) ≥ j}.
for j = 1, …, M − 1.
The unavailability of an MSS for performance level j U(j) is
U(j) = Pr{ϕ(x) < j} or U(j) = 1 − A(j).
The probability of an MSS for performance level j P(j) is defined as the sum of the probabilities of system working states j:
P(j) = Pr{ϕ(x) = j}.
for j = 0, …, M − 1.
Evaluations (5)–(7) have correlations, but they are different. The differences between these measures can be illustrated by the evaluation of the redundant UAV swarm with central control represented by BSS (Table 1) and MSSs (Table 2). The probabilities of components are introduced in Table 3. The evaluation of this swarm based on (3)–(7) is shown in Table 4.
The assessments of the UAV swarm in Table 4 agree with well-known correlations of availability/unavailability of MSS and probabilities of MSS performance levels:
A ( j ) = r = j M 1 P ( r ) and U ( j ) = r = j 1 0 P ( r ) ,   j = 1 , ,   M 1 .
This simple example illustrates that the availability A(j) does not always reflect a system’s specifics: the availabilities A(1) for MSS with the structure function ϕ1(x) and MSS with the structure function ϕ2(x) are equal (Table 4). At the same time, the probabilities of the systems’ performance levels for these MSSs are different. And these as assessments P(j) (j = 0,…, M − 1) are more informative for the system reliability analysis, in particular, UAV swarms.
Here, we would like to draw attention to MSS’s availability/unavailability that is not often discussed. The first is property A(j)A(j+1) for any coherent MSS. Therefore, this assessment does not provide information about the most likely or most possible level of system performance. At the same time, the probability of a system’s performance level P(j) defines it exactly. Secondly, BSS availability A (BSS unavailability U) and MSS availability A(1) (MSS unavailability U(1)) are equal if for each system component p i = s = 1 m i 1 p i , s and q i = p i , 0 . These two properties of MSS’s availability/unavailability lead to the use in UAV swarm assessment of a probability of the system performance level instead of system availability/unavailability, which was used in previous studies of UAV swarms of different types [7,9].

4. UAV Swarm Assessment

In previous studies [7,9], these structures of UAV swarms were considered and equations for the calculation of swarm availability were introduced:
  • Homogenous irredundant UAV swarm with decentral control (HoID);
  • Homogenous irredundant UAV swarm with central control (HoIC);
  • Homogenous redundant UAV swarm with decentral control (HoRD);
  • Homogenous redundant UAV swarm with central control (HoRC);
  • Heterogenous irredundant UAV swarm with decentral control (HeID);
  • Heterogenous irredundant UAV swarm with central control (HeIC);
  • Heterogenous redundant UAV swarm with decentral control (HeRD);
  • Heterogenous redundant UAV swarm with central control (HeRC).
The availabilities based on swarm representation by BSS and MSS were considered in [7] and [9] accordingly. The representation of the MSS structure function according to the rules of Multiple-Valued Logic was used in [9]. These rules for an MSS reliability analysis were considered in [45]. In studies [7] and [9], the different types of UAV swarms were investigated, focusing particularly on the influence of central versus decentralized control, and the impact of irredundant versus redundant (hot stable) swarms. The influence of the number of UAV swarm performance levels on its availability was considered in [9].
The principal goal of this study is to compare assessments in a reliability analysis based on the UAV swarm representation by both the mathematical models of BSS and MSS. These assessments are BSS’s availability, availability/unavailability of performance level j (j = 1, …, M − 1), and probability of the performance level j (j = 0, …, M − 1) of MSS. This comparison is implemented in two ways. The first of them is the comparison of these assessments for similar UAV swarms (case study). The second is the analysis of the behavior of these assessments for an averaged UAV swarm, which is obtained for the multiple repetitions of the calculations of these estimates for randomly generated swarms of UAVs for given parameters.

4.1. Case Study

Let us consider UAV swarms formed by five UAVs (n = 5). A control unit is added in the swarm if it is with central control (n = 6). The number of UAV swarms’ performance levels is three (M = 3). The number of states of UAV/control unit of homogenous swarms is three too: mi = m = 3 (i = 1, …, 5(6)). The probabilities of the UAV states for these swarms are p0 = 0.08, p1 = 0.49, and p2 = 0.43, and the probabilities of the control unit state are p0 = 0.03, p1 = 0.24, and p2 = 0.73. The number and probabilities of states of UAVs and control unit states of heterogenous swarms will be defined below.
The value of a structure function is defined as the minimal value of its variable for an irredundant UAV swarm: ϕ(x) = MIN(x1, …, xn). This means that the worst state of the UAVs or control units (in a swarm with central control) determines the performance level of an irredundant UAV swarm.
The structure function of a redundant UAV swarm is defined based on the k-out-of-n system. A UAV swarm fails if the number of operated UAVs is less than k. The performance level of a swarm is 2 if minimal k UAVs’ operated states are mi − 1. Other states of a swarm have performance level 1 (if the number of operated UAVs is equal or more than k and the number of UAVs of state mi − 1 is less than k). The structure function of a redundant UAV with the central control is defined as the series system of two components: one is a central unit and the other is a k-out-of-n system of UAVs, described above.
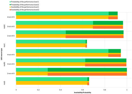
The evaluation of all types of homogenous UAV swarms by the availability/unavailability and probabilities of performance levels is in Table 5. The availability A(1) is larger than the availability A(2) for all swarms. The availability A(1) covers and includes the availability A(2) (Figure 1). However, these assessments do not reflect what operation performance level is more probable. Another example, the unavailability of HoID and HoIC swarms, is U(2) = 0.9853 and U(2) = 0.9893 accordingly. But this value joins the probabilities of a UAV swarm failure and operating performance level 1. At the same time, the probabilities of the performance levels indicate the exact influence and impact of each performance level.
Let us consider the introduced homogeneous UAV swarms based on the BSS mathematical model. The availability of a swarm based on BSS is computed by (3) and pi = pi,1 + pi,2 = 0.49 + 0.43 = 0.92 and qi = pi,0 = 0.08. The result of the evaluation is shown in Table 6. The comparison of the results in Table 5 and Table 6 shows that the availability of UAV swarms of the first performance level is equal to the availability of swarms based on BSS: A(1) = A. Therefore, it is questionable to use an MSS for a UAV swarm analysis to compute the availability A(1).
Another example below illustrates the efficiency of the probability of the performance level for the UAV swarm reliability. In Table 7, the assessments of homogenous UAV swarms are shown for the probabilities of the UAVs as p0 = 0.08, p1 = 0.39, and p2 = 0.53. So, the probabilities of the operating states of UAVs (P(1) and P(2)) are changed. However, the availability A(1) for all UAV swarms is not changed. Of course, the change can be reflected and indicated by other availabilities and unavailabilities but it needs an additional analysis and calculation.
The set of heterogeneous UAV swarms (HeID, HeIC, HeRD, and HeRC) is analyzed to consider the evaluation based on availability/unavailability of performance levels and probabilities of performance levels. The probabilities of UAVs and control unit states are in Table 8. The UAVs numbered as 2 and 5 have two performance levels (m2 = m3 = 2) and other UAVs have three performance levels (m1 = m4 = m5 = 3). Note that the control unit has three states (m6 = 3). The rules for defining structure functions are similar to those used for the homogenous UAV swarm described above.
The evaluation of the heterogeneous UAV swarms (Table 9) is similar to the evaluation of homogeneous swarms. In this case, there is also better information about the functioning of the UAV swarm based on the probabilities of the performance levels than based on availability/unavailability. Availability for the first performance level A(1) provides information about the probability of the swarm being in an operating state, which can be obtained based on a simpler mathematical model (Table 10). Availability of the second performance level A(2) coincides with the probability of this operational state, P(2).
The comparison of the different types of UAV swarms confirms the previous study’s [28] results. The choice of swarm type between homogeneous or heterogeneous has no principal influence on the operation of a UAV swarm. The structure of a UAV swarm with decentral control has the best assessments in reliability compared to the structure with the central control (if the central control is implemented as a series structure). The redundant type of a swarm is better in the point of view of reliability and the decreasing number of necessarily operating UAV (k) leads to swarm reliability increasing.

4.2. Comparison of UAV Swarm Assessment Based on BSS and MSS by Availability (Unavailability) and Probability of Performance Levels

The goal of this comparison is to evaluate the efficiency and computational complexity of availability/unavailability and probability of performance levels of UAV swarms based on the MSS mathematical model. These two assessments of UAV swarms are compared with the availability/unavailability calculated for equal swarms based on BSS.
The evaluation of UAV swarms based on MSS, ranging from 2 to 20 UAVs (n = 2, ..., 20), has been conducted for both homogeneous and heterogeneous fleets. The number of all swarms’ performance levels is three: for homogeneous swarms, it is m = 3, while for heterogeneous swarms, it is M = 3. The number of UAV states in homogeneous swarms is three (m = 3). In heterogeneous swarms, the number of component states is two or three (mi ≤ 3) and is defined randomly. There is a condition for the number of UAVs with the two performance levels (mi = 2): the number of these UAVs cannot be larger than a third of all UAVs in a swarm (nmi=2 < n/3). For heterogeneous fleets, each UAV requires a unique set of probabilities. The fault probability is randomly selected from the set {0.050, 0.075, 0.100, …, 0.200}, the probability for state 1 ranges from 0.200 to 0.800, and the probability for state 2 is calculated as (pi,2 = 1 − pi,1pi,0). The quantification of UAV swarms is implemented similarly with the use of the mathematical model BSS. The number of the performance levels of swarms and the number of component states are defined as two. All components of the heterogeneous swarms have an equal number of states. However, the probabilities of component states are different for UAVs of these swarms. The analysis of UAV swarms based on a BSS mathematical model is performed for pi = pi,1 + pi,2 and qi = pi,0. The evaluation of A(j) and A(j) and A is implemented for each number n of UAVs in a swarm (n = 2, ..., 20). These assessments are computed for each swarm type and each n, 75 times for homogeneous swarms and 150 times for heterogeneous swarms for randomly generated probabilities of UAV states, and the average value is used for final evaluation. These experimental studies allow for the examination of the behavior of the assessments A(j) and A(j) and A for different types of UAV swarms and depending on the number of UAVs in each swarm type. The availability and probability of a UAV swarm performance level are computed by (5) and (7) accordingly. The availability of a UAV swarm based on BSS is calculated by (3).
According to studies in [7,9], there are no principal differences between the availability of homogenous and heterogeneous UAV swarms analyzed based on MSS or BSS. The joining of these studies’ results (Figure 2) shows that the availability of performance level 1 of MSS and the availability of BSS are equal or similar. The behavior of homogeneous and heterogeneous swarm availabilities has no important difference. There is a significant difference in the behavior of availabilities of irredundant and redundant swarms.
The comparison of the availability A(j) and probability P(j) of irredundant UAV swarm evaluation based on MSS and the availability computed based on BSS is shown in Figure 3. A similar comparison for redundant UAV swarms is in Figure 4. This comparison confirms the correlation of availability c computed based on MSS and availability A calculated based on BSS. In addition, we can see the correlation between assessments of availability and the probability of the performance levels of UAV swarms, which are calculated based on the MSS. For the considered structural functions, the probabilities of performance levels are more informative estimates than availability. It can only be noted that for tasks that do not require a detailed study of the operational states of a UAV swarm, but only need to evaluate the operational states of all together, there is no need to use the MSS for the mathematical description of the swarm; a simpler mathematical model such as BSS can be used.
In terms of computational complexity, the calculation of availability increases slightly in comparison with the calculation of the probability of the performance level (Figure 5). In this diagram, the availabilities and probabilities were computed for all performance levels. It means that availabilities A(1) and A(2) and probabilities P(0), P(1), and P(2) were computed. The experiment was implemented based on a computer with Intel(R) Core(TM) i7-10750H CPU, 16 GB, and the MS Windows 11 operating system.
The computational complexity of availabilities A(j) and availability A is shown in Figure 6. This comparison does not take into consideration the complexity of the structure function generation for MSS and BSS (it is obvious that the MSS structure function is a more time-consuming process and this time is not included in the analysis). The obtained assessments of an availability analysis based on MSS and BSS show that the time for the computation of the availability A(j) is larger than availability A based on BSS. But A(1) is equal to A. The additional availability for performance level 2 (A(2)) is expressively small in comparison with availability for performance level 1 (A(1)). Therefore, the BSS mathematical model can be sufficient for the availability analysis of a UAV swarm based on structure function according to (7).
The comparison of the efficiency of an availability analysis of the UAV swarm based on MSS for three performance levels (M = 3) shows that no fundamental detail was obtained for assessing the availability of the UAV swarm. The additional availability for performance level 2 (A(2)) is expressively small in comparison with availability for performance level 1 (A(1)). Therefore, the BSS mathematical model can be sufficient for the availability analysis of a UAV swarm based on structure function according to (7).

5. Discussion and Future Work

In this paper, an analysis of the use of two types of mathematical models for the analysis of a UAV swarm was performed, which involved MSS and BSS. The evaluation of UAV swarms, consisting of 2 to 20 UAVs, has been carried out for both homogeneous and heterogeneous fleets.
For all swarms’ quantification based on MSS, there are three performance levels (M = 3). Each UAV has three states (m = 3) for the evaluation of homogeneous swarms. In a heterogeneous swarm, the number of states per component is either two or three (mi ≤ 3) and is determined randomly. There is a constraint for UAVs with two performance levels (mi = 2): their number must be less than one-third of the total UAVs in the swarm. Each UAV in a heterogeneous fleet requires a unique set of probabilities. The fault probability is randomly chosen from the set {0.050, 0.075, 0.100, …, 0.200}, the probability for state 1 ranges from 0.200 to 0.800, and the probability for state 2 is calculated as pi,2 = 1 − pi,1pi,0.
The reliability quantification of UAV swarms based on BSS is similar. All components and swarms of all types have two performance levels. The heterogeneity of a UAV swarm is caused by a unique set of probabilities for UAVs in a heterogeneous swarm. These probabilities are defined in a similar way to MSS.
This analysis showed that the choice of a mathematical model is caused by the conditions of the problem for the analysis of the reliability of a UAV swarm. The mathematical model of the MSS is preferable if an analysis of the operational (working) states of a UAV swarm is required. If no detail is required when analyzing the functioning of a UAV swarm, then in this case it is sufficient to use the BSS and perform an analysis based on availability/unavailability, which is determined by expressions (3) and (4). Therefore, if the conditions of the problem require an assessment of only the operational state of the UAV swarm and its failure, then it is sufficient to select the BSS and not use a more complex mathematical model. However, it should be noted that this remains valid if the probability of UAV (and control unit) failure is equal for both mathematical models for UAV swarm assessment, which seems logical.
The specifics of the structure function definition should be taken into consideration for using a mathematical model of MSS because the result of evaluation significantly depends on how the structure function of the UAV swarm is defined. This is demonstrated by the example of two structure functions for a heterogeneous redundant UAV swarm (Table 2 and Table 4). Any of the typical structures based on the MSS can have several options for definition and interpretation. In this study, we used two typical structures: serial and k-out-of-n. The serial structure is defined as the minimum of the states of the components. In this case, for example, if one of the components has two possible states (mi = 2), and the second has three states (mr = 3), and they have states 1 and 2, respectively, then the value of the structure function is 2 (because state 1 is the best for a component with two possible states). The structure function of a typical k-out-of-n structure is defined as the maximal value of its minimal cuts. Each minimal cut is interpreted as a series system. Therefore, the obtained estimates for the availabilities and probabilities of the performance levels of UAV swarms (Figure 2, Figure 3, Figure 4 and Figure 5) can be changed with a different definition of the structural function.
In this study, two assessments of UAV swarms based on the mathematical model of MSS are considered, which are the availability of a swarm performance level (5) and the probability of a swarm performance level (7). These assessments correlate but have differences. The probability of the performance level allows for the analysis of UAV swarm performance levels separately in detail. The availability of performance levels does not provide information about each level and accumulates information about some combinations of swarm performance levels. In some applications [28], it can complicate the analysis of UAV swarm operations. However, the final decision on the use of one or another assessment should be made depending on the specific task.
Further development of the obtained result will be associated with the improvement of the mathematical model of the UAV swarm. Future studies should consider the analysis of UAV swarms with a larger number of performance levels (M), such as four and five. This will allow for a more detailed comparison of the availability and probability of performance levels based on the mathematical model of the MSS. To improve the mathematical model of UAV swarms, it will be necessary to take into account environmental factors such as weather conditions, the communication interface, use of a platform for recharging and launching, and others. These elements can be introduced into the structure function as additional variables. Their values can be obtained based on observations or expert evaluations. It should be noted that expert evaluations are associated with uncertainty, which can be represented and interpreted using fuzzy data. We will also explore the reliability analysis based on fuzzy input data. Representing the input data as fuzzy data allows for a more realistic representation of the object under study. In particular, the obtained result of using a BSS or MSS and assessments of the availability and probability of the performance level for the MSS can be useful in constructing a structural function of a UAV swarm based on incompletely specified and uncertain data using the methods proposed in [46,47]. The mentioned research will allow us to bring closer and adapt a mathematical model in the form of BSS or MSS to the real-world conditions of UAV swarm exploitation.

6. Conclusions

This paper has analyzed and compared two mathematical models, MSS and BSS, for evaluating the reliability of UAV swarms. The study covered swarms ranging from 2 to 20 UAVs, both homogeneous and heterogeneous. For MSS-based quantification, UAVs were evaluated with three performance levels, while BSS-based quantification considered two performance levels for all components and swarms.
The obtained assessments allow us to give qualitative recommendations for choosing a mathematical model for the reliability analysis of a UAV swarm depending on the conditions and goals of this analysis. The choice of the mathematical model depends on the specific requirements of the reliability analysis. MSS is preferable for a detailed analysis of operational states, whereas BSS is sufficient for simpler assessments based on availability and unavailability. The structure function’s definition significantly impacts the evaluation results, as demonstrated by different structure functions for heterogeneous redundant UAV swarms.

Author Contributions

Conceptualization, E.Z., V.L. and R.M.; methodology, E.Z., V.L. and M.K.; software, D.Z. and A.O.; validation, A.K. and Z.S.; formal analysis, Z.S. and D.Z.; investigation, A.S. and R.M.; resources, A.K. and Y.K.; data curation, Z.S. and A.O.; writing—original draft preparation, E.Z., V.L. and R.M.; writing—review and editing, M.K. and A.K.; visualization, A.S.; supervision, M.K. and Y.K.; project administration, V.L. and A.S.; funding acquisition, E.Z., R.M., Y.K., A.S. and A.O. All authors have read and agreed to the published version of the manuscript.

Funding

This work was supported by the Slovak Research and Development Agency under the grants APVV-23-0033 and APVV-18-0027; the Ministry of Education, Science, Research and Sport of the Slovak Republic under the grant VEGA 1/0858/21; and the project “Earth Observation for Early Warning of Land Degradation at European Frontier (EWALD)” under the European Union’s Framework Programme for Research and Innovation Horizon Europe (Grant Agreement No. ID 101086250). This research was also funded by the Committee of Science of the Ministry of Science and Higher Education of the Republic of Kazakhstan, under grants AP23488745 “Rapid assessment of soil salinity using low-altitude unmanned aerial platforms (RASS)”, AP14869972 “Development and adaptation of computer vision and machine learning methods for solving precision agriculture problems using unmanned aerial systems”, BR21881908 “Complex of urban ecological support (CUES)”, BR24992908 “Support system for agricultural crop production optimization via remote monitoring and artificial intelligence methods (Agroscope)”, and BR18574144 “Development of a data mining system for monitoring dams and other engineering structures under technogenic and natural impacts”.

Data Availability Statement

The original contributions presented in the study are included in the article, further inquiries can be directed to the corresponding author.

Conflicts of Interest

The authors declare no conflicts of interest.

References

  1. Bris, R.; Byczanski, P.; Gono, R.; Rusek, S. Discrete maintenance optimization of complex multi-component systems. Reliab. Eng. Syst. Safety 2017, 168, 80–89. [Google Scholar] [CrossRef]
  2. Bisikalo, O.V.; Kovtun, V.V.; Kovtun, O.V.; Danylchuk, O.M. Mathematical modeling of the availability of the information system for critical use to optimize control of its communication capabilities. Int. J. Sens. Wirel. Commun. Control 2021, 11, 505–517. [Google Scholar] [CrossRef]
  3. Lisnianski, A.; Levitin, G. Multi-state system reliability: Assessment, optimization and applications. In Series on Quality, Reliability & Engineering Statistics; World Scientific: Singapore, 2003; 376p. [Google Scholar] [CrossRef]
  4. Lisnianski, A.; Frenkel, I.; Karagrigoriou, A. Recent Advances in Multi-State Systems Reliability; Springer: Berlin/Heidelberg, Germany, 2018. [Google Scholar] [CrossRef]
  5. Chandran, I.; Vipin, K. Multi-UAV networks for disaster monitoring: Challenges and opportunities from a network perspective. Drone Syst. Appl. 2024, 12, 1–28. [Google Scholar] [CrossRef]
  6. Bu, Y.; Yan, Y.; Yang, Y. Advancement Challenges in UAV Swarm Formation Control: A Comprehensive Review. Drones 2024, 8, 320. [Google Scholar] [CrossRef]
  7. Zaitseva, E.; Levashenko, V.; Mukhamediev, R.; Brinzei, N.; Kovalenko, A.; Symagulov, A. Review of Reliability Assessment Methods of Drone Swarm (Fleet) and a New Importance Evaluation Based Method of Drone Swarm Structure Analysis. Mathematics 2023, 11, 2551. [Google Scholar] [CrossRef]
  8. Fesenko, H.; Illiashenko, O.; Kharchenko, V.; Kliushnikov, I.; Morozova, O.; Sachenko, A.; Skorobohatko, S. Flying Sensor and Edge Network-Based Advanced Air Mobility Systems: Reliability Analysis and Applications for Urban Monitoring. Drones 2023, 7, 409. [Google Scholar] [CrossRef]
  9. Zaitseva, E.; Levashenko, V.; Mysko, V.; Czapp, S.; Zhaxybayev, D. Availability of UAV Fleet Evaluation Based on Multi-State System. IEEE Access 2024, 12, 15290–15307. [Google Scholar] [CrossRef]
  10. Feng, Q.; Guo, X.; Sun, B.; Dui, H.; Ren, Y.; Hai, X.; Yang, D.; Wang, Z. Reliability Modeling of Dynamic Spatiotemporal IoT Considering Autonomy and Cooperativity Based on Multiagent. IEEE Internet Things J. 2024, 11, 4712–4721. [Google Scholar] [CrossRef]
  11. Symagulov, A.; Kuchin, Y.; Yakunin, K.; Murzakhmetov, S.; Yelis, M.; Oxenenko, A.; Assanov, I.; Bastaubayeva, S.; Tabynbaeva, L.; Rabčan, J.; et al. Recognition of Soybean Crops and Weeds with YOLO v4 and UAV. In Digital Geography; Bolgov, R., Mukhamediev, R., Pereira, R., Mityagin, S., Eds.; Springer: Berlin/Heidelberg, Germany, 2024. [Google Scholar] [CrossRef]
  12. Birolini, A. Reliability Engineering Theory and Practice, 5th ed.; Springer: Berlin/Heidelberg, Germany, 2007. [Google Scholar]
  13. Izonin, I.; Hovorushchenko, T.; Shandilya, S.K. Quality and Security of Critical Infrastructure Systems. Big Data Cogn. Comput. 2024, 8, 10. [Google Scholar] [CrossRef]
  14. Mohsan, S.A.H.; Othman, N.Q.H.; Li, Y.; Alsharif, M.H.; Khan, M.A. Unmanned aerial vehicles (UAVs): Practical aspects, applications, open challenges, security issues, and future trends. Intell. Serv. Robot. 2023, 16, 109–137. [Google Scholar] [CrossRef]
  15. Aela, P.; Chi, H.-L.; Fares, A.; Zayed, T.; Kim, M. UAV-based studies in railway infrastructure monitoring. Autom. Constr. 2024, 167, 105714. [Google Scholar] [CrossRef]
  16. Tychola, K.A.; Voulgaridis, K.; Lagkas, T. Beyond Flight: Enhancing the Internet of Drones with Blockchain Technologies. Drones 2024, 8, 219. [Google Scholar] [CrossRef]
  17. Campbell, H.A.; Bosiocic, V.; Hvala, A.; Brady, M.; Campbell, M.A.; Skelton, K.; Luiz, O.J. Emerging Research Topics in Drone Healthcare Delivery. Drones 2024, 8, 258. [Google Scholar] [CrossRef]
  18. Puchalski, R.; Giernacki, W. UAV Fault Detection Methods, State-of-the-Art. Drones 2022, 6, 330. [Google Scholar] [CrossRef]
  19. Petritoli, E.; Leccese, F.; Ciani, L. Reliability and Maintenance Analysis of Unmanned Aerial Vehicles. Sensors 2018, 18, 3171. [Google Scholar] [CrossRef]
  20. Khan, A.; Ivaki, N.; Madeira, H. Are UAVs’ Flight Controller Software Reliable? In Proceedings of the 2022 IEEE 27th Pacific Rim International Symposium on Dependable Computing (PRDC), Beijing, China, 28 November–1 December 2022. [CrossRef]
  21. Feng, Q.; Liu, M.; Dui, H.; Ren, Y.; Sun, B.; Yang, D.; Wang, Z. Importance Measure-Based Phased Mission Reliability and UAV Number Optimization for Swarm. Reliab. Eng. Syst. Saf. 2022, 223, 108478. [Google Scholar] [CrossRef]
  22. Fesenko, H.; Kharchenko, V.; Zaitseva, E. Evaluating Reliability of a Multi-Fleet with a Reserve Drone Fleet: An Approach and Basic Model. In Proceedings of the 2019 International Conference on Information and Digital Technologies (IDT), Zilina, Slovakia, 25–27 June 2019. [Google Scholar] [CrossRef]
  23. Xing, J.; Guo, T.; Tong, L.C. Reliable truck-drone routing with dynamic synchronization: A high-dimensional network programming approach. Transp. Res. Part C Emerg. Technol. 2024, 165, 104698. [Google Scholar] [CrossRef]
  24. Alshaibani, W.T.; Shayea, I.; Caglar, R.; Din, J.; Daradkeh, Y.I. Mobility Management of Unmanned Aerial Vehicles in Ultra–Dense Heterogeneous Networks. Sensors 2022, 22, 6013. [Google Scholar] [CrossRef]
  25. Guldenring, J.; Koring, L.; Gorczak, P.; Wietfeld, C. Heterogeneous Multilink Aggregation for Reliable UAV Communication in Maritime Search and Rescue Missions. In Proceedings of the 2019 International Conference on Wireless and Mobile Computing, Networking and Communications (WiMob), Barcelona, Spain, 21–23 October 2019. [Google Scholar] [CrossRef]
  26. Khayyati, A.; Pourgol-Mohammad, M. Developing an Efficient Approach for Unmanned Aerial Vehicle Reliability Analysis, In Safety Engineering, Risk, and Reliability Analysis; American Society of Mechanical Engineers: New York, NY, USA, 2020; Volume 14. [Google Scholar] [CrossRef]
  27. Um, I.; Park, S.; Kim, H.T.; Kim, H. Configuring RTK-GPS architecture for system redundancy in multi-drone operations. IEEE Access 2020, 4, 76228–76242. [Google Scholar] [CrossRef]
  28. Tannous, O.; Xing, L.; Rui, P.; Xie, M.; Ng, S.H. Redundancy Allocation for Series-Parallel Warm-Standby Systems. In Proceedings of the 2011 IEEE International Conference on Industrial Engineering and Engineering Management, Singapore, 6–9 December 2011. [Google Scholar] [CrossRef]
  29. Guo, J.; Elsayed, E.A. Reliability of Balanced Multi-Level Unmanned Aerial Vehicles. Comput. Oper. Res. 2019, 106, 1–13. [Google Scholar] [CrossRef]
  30. Almeida, M.; Hildmann, H.; Solmaz, G. Distributed UAV-swarm-based real-time geomatic data collection under dynamically changing resolution requirements. Int. Arch. Photogramm. Remote Sens. Spat. Inf. Sci. 2017, 42, 5–12. [Google Scholar] [CrossRef]
  31. Coppola, M.; McGuire, K.N.; De Wagter, C.; de Croon, G.C.H.E. A Survey on Swarming With Micro Air Vehicles: Fundamental Challenges and Constraints. Front. Robot. AI 2020, 7, 18. [Google Scholar] [CrossRef]
  32. Tahir, A.; Böling, J.; Haghbayan, M.-H.; Toivonen, H.T.; Plosila, J. Swarms of Unmanned Aerial Vehicles—A Survey. J. Ind. Inf. Integr. 2019, 16, 100106. [Google Scholar] [CrossRef]
  33. Xing, L.; Johnson, B.W. Reliability Theory and Practice for Unmanned Aerial Vehicles. IEEE Internet Things J. 2023, 10, 3548–3566. [Google Scholar] [CrossRef]
  34. Dui, H.; Zhang, C.; Bai, G.; Chen, L. Mission Reliability Modeling of UAV Swarm and Its Structure Optimization Based on Importance Measure. Reliab. Eng. Syst. Saf. 2021, 215, 107879. [Google Scholar] [CrossRef]
  35. Zhu, X.; Liang, C.; Yin, Z.; Shao, Z.; Liu, M.; Chen, H. A New Hierarchical Software Architecture towards Safety-Critical Aspects of a Drone System. Front. Inf. Technol. Electron. Eng. 2019, 20, 353–362. [Google Scholar] [CrossRef]
  36. Bithas, P.S.; Michailidis, E.T.; Nomikos, N.; Vouyioukas, D.; Kanatas, A.G. A Survey on Machine-Learning Techniques for UAV-Based Communications. Sensors 2019, 19, 5170. [Google Scholar] [CrossRef]
  37. Ruban, I.; Lebediev, V. Methodology for determining the rational number of UAVs taking into account their reliability in emergency situations. In Proceedings of the 2022 IEEE 3rd KhPI Week on Advanced Technology (KhPIWeek), Kharkiv, Ukraine, 3–7 October 2022; pp. 1–5. [Google Scholar] [CrossRef]
  38. Yangyao, S.; Xinchen, Z.; Tianxiang, Y.; Zijian, Z. Multi-state balance system reliability research considering load influence. Reliab. Eng. Syst. Saf. 2023, 233, 109087. [Google Scholar] [CrossRef]
  39. Millar, R.C.; Hashemi, L.; Mahmoodi, A.; Meyer, R.W.; Laliberte, J. Integrating unmanned and manned UAVs data network based on combined Bayesian belief network and multi-objective reinforcement learning algorithm. Drone Syst. Appl. 2023, 11, 1–17. [Google Scholar] [CrossRef]
  40. Morio, J.; Levasseur, B.; Bertrand, S. Drone Ground Impact Footprints with Importance Sampling: Estimation and Sensitivity Analysis. Appl. Sci. 2021, 11, 3871. [Google Scholar] [CrossRef]
  41. Kharchenko, V.; Yastrebenetsky, M.; Fesenko, H.; Sachenko, A.; Kochan, V. NPP post-accident monitoring system based on unmanned aircraft vehicle: Reliability models. Nucl. Radiat. Saf. 2017, 4, 50–55. [Google Scholar] [CrossRef] [PubMed]
  42. Zaitseva, E.; Levashenko, V.; Kozlova, A.; Abuova, Z. Drone Fleet Reliability Analysis Based on Uncertain Data Using Binary Decision Diagram. In Proceedings of the 2023 7th International Conference on System Reliability and Safety (ICSRS), Bologna, Italy, 22–24 November 2023; pp. 300–305. [Google Scholar] [CrossRef]
  43. Shafiee, M.; Zhou, Z.; Mei, L.; Dinmohammadi, F.; Karama, J.; Flynn, D. Unmanned Aerial Drones for Inspection of Offshore Wind Turbines: A Mission-Critical Failure Analysis. Robotics 2021, 10, 26. [Google Scholar] [CrossRef]
  44. Natvig, B. Multistate System Reliability, Wiley Encyclopedia of Operations Research and Management Science; Wiley: Hoboken, NJ, USA, 2011. [Google Scholar] [CrossRef]
  45. Zaitseva, E.; Levashenko, V. Reliability analysis of multi-state system with application of multiple-valued logic. Int. J. Qual. Reliab. Manag. 2017, 34, 862–878. [Google Scholar] [CrossRef]
  46. Zaitseva, E.; Levashenko, V. Construction of a reliability structure function based on uncertain data. IEEE Trans. Reliab. 2017, 65, 1710–1723. [Google Scholar] [CrossRef]
  47. Zaitseva, E.; Levashenko, V.; Rabcan, J. A new method for analysis of Multi-State systems based on Multi-valued decision diagram under epistemic uncertainty. Reliab. Eng. Syst. Saf. 2023, 229, 108868. [Google Scholar] [CrossRef]
Figure 1. The availability and probabilities of the homogenous UAV swarm performance levels.
Figure 1. The availability and probabilities of the homogenous UAV swarm performance levels.
Electronics 13 04509 g001
Figure 2. The availabilities of homogenous and heterogenous UAV swarms with the decentral control computed based on MSS and BSS: (a) non-redundant UAV swarms; (b) redundant UAV swarms.
Figure 2. The availabilities of homogenous and heterogenous UAV swarms with the decentral control computed based on MSS and BSS: (a) non-redundant UAV swarms; (b) redundant UAV swarms.
Electronics 13 04509 g002
Figure 3. The availabilities/probabilities of homogenous irredundant UAV swarms with the decentral control computed based on MSS and BSS.
Figure 3. The availabilities/probabilities of homogenous irredundant UAV swarms with the decentral control computed based on MSS and BSS.
Electronics 13 04509 g003
Figure 4. The availabilities/probabilities of homogenous redundant UAV swarms with the decentral control computed based on MSS and BSS.
Figure 4. The availabilities/probabilities of homogenous redundant UAV swarms with the decentral control computed based on MSS and BSS.
Electronics 13 04509 g004
Figure 5. The comparison of time for availabilities and probabilities of UAV swarm performance level calculation based on MSS.
Figure 5. The comparison of time for availabilities and probabilities of UAV swarm performance level calculation based on MSS.
Electronics 13 04509 g005
Figure 6. Comparison of time for availability calculation of UAV swarm based on MSS and BSS.
Figure 6. Comparison of time for availability calculation of UAV swarm based on MSS and BSS.
Electronics 13 04509 g006
Table 1. The BSS structure function of the redundant UAV swarm with the central control (n = 4).
Table 1. The BSS structure function of the redundant UAV swarm with the central control (n = 4).
x10000000011111111
x20000111100001111
x30011001100110011
x40101010101010101
ϕ(x)0000000100010101
Table 2. The MSS structure functions of the redundant UAV swarms with the central control (n = 4, m1 = m2 = m3 = 2, m4 = 3, and M = 4).
Table 2. The MSS structure functions of the redundant UAV swarms with the central control (n = 4, m1 = m2 = m3 = 2, m4 = 3, and M = 4).
x1000000000000111111111111
x2000000111111000000111111
x3000111000111000111000111
x4012012012012012012012012
ϕ1(x)000000000012000012012033
ϕ2(x)000000000011000011011023
Table 3. The probabilities of components of the redundant UAV swarm with central control.
Table 3. The probabilities of components of the redundant UAV swarm with central control.
System
Components
BSSMSS
piqipi,2pi,1pi,0
x10.850.15-0.850.15
x20.850.15-0.850.15
x30.800.20-0.800.20
x40.960.040.460.500.04
Table 4. The evaluation of the redundant UAV swarm with central control.
Table 4. The evaluation of the redundant UAV swarm with central control.
BSSThe Swarm
Performance Level
MSS ϕ1(x)MSS ϕ2(x)
AUA(j)U(j)P(j)A(j)U(j)P(j)
0--0.1106--0.1106
0.88940.110610.88940.11060.33450.88940.11060.1742
20.55490.44510.28900.71520.28480.1603
30.26590.73410.26590.55490.44510.5549
Table 5. The homogenous UAV swarm’s evaluation by availability and probability of the performance level (probabilities of UAV states are p0 = 0.08, p1 = 0.49, and p2 = 0.43).
Table 5. The homogenous UAV swarm’s evaluation by availability and probability of the performance level (probabilities of UAV states are p0 = 0.08, p1 = 0.49, and p2 = 0.43).
AssessmentSwarm with Decentral ControlSwarm with Central Control
Irredundant (HoID)Redundant (HoRD)Irredundant (HoIC)Redundant (HoRC)
2-Out-Of-53-Out-Of-54-Out-Of-52-Out-Of-53-Out-Of-54-Out-Of-5
A(1)0.65910.99980.99550.94560.63930.96980.96560.9173
A(2)0.01470.71290.37050.11210.01070.52040.27040.0819
U(1)0.34090.00020.00450.05440.36070.03020.03440.0827
U(2)0.98530.28710.62950.88790.98930.47960.72960.9181
P(0)0.34090.00020.00450.05440.36070.03020.03440.0827
P(1)0.64440.28690.62500.83350.62860.44940.69520.8354
P(2)0.01470.71290.37050.11210.01070.52040.27040.0819
Table 6. The homogenous UAV swarm’s evaluation by availability based on BSS.
Table 6. The homogenous UAV swarm’s evaluation by availability based on BSS.
AssessmentSwarm with Decentral ControlSwarm with Central Control
Irredundant (HoID)Redundant (HoRD)Irredundant (HoIC)Redundant (HoRC)
2-Out-Of-53-Out-Of-54-Out-Of-52-Out-Of-53-Out-Of-54-Out-Of-5
A0.65910.99980.99550.94560.63930.96980.96560.9173
U0.34090.00020.00450.05440.36070.03020.03440.0827
Table 7. The homogenous UAV swarm’s evaluation by availability and probability of the performance level (probabilities of UAV states are p0 = 0.17, p1 = 0.39, and p2 = 0.53).
Table 7. The homogenous UAV swarm’s evaluation by availability and probability of the performance level (probabilities of UAV states are p0 = 0.17, p1 = 0.39, and p2 = 0.53).
AssessmentSwarm with Decentral ControlSwarm with Central Control
Irredundant (HoID)Redundant (HoRD)Irredundant (HoIC)Redundant (HoRC)
2-Out-Of-53-Out-Of-54-Out-Of-52-Out-Of-53-Out-Of-54-Out-Of-5
A(1)0.65910.99980.99550.94560.63930.96980.96560.9173
A(2)0.01180.74470.40650.13030.01320.54370.29670.0951
U(1)0.34090.00020.00450.05440.36070.03020.03440.0827
U(2)0.98190.25530.59350.86970.98680.45630.70330.9049
P(0)0.34090.00020.00450.05440.36070.03020.03440.0827
P(1)0.64100.25510.58900.81530.62610.42610.66890.8222
P(2)0.01810.74470.40650.13030.01320.54370.29670.0901
Table 8. Probabilities of states of UAVs and control unit of heterogeneous swarms.
Table 8. Probabilities of states of UAVs and control unit of heterogeneous swarms.
StatesUAVsControl Unit
x1x2x3x4x5x6
p00.170.030.110.040.040.03
p10.300.970.890.560.560.24
p20.53 0.40.40.73
Table 9. The heterogeneous UAV swarm’s evaluation by availability and probability of the performance level.
Table 9. The heterogeneous UAV swarm’s evaluation by availability and probability of the performance level.
AssessmentSwarm with Decentral ControlSwarm with Central Control
Irredundant (HoID)Redundant (HoRD)Irredundant (HoIC)Redundant (HoRC)
2-Out-Of-53-Out-Of-54-Out-Of-52-Out-Of-53-Out-Of-54-Out-Of-5
A(1)0.66040.99990.99700.95270.64060.96990.96710.9241
A(2)0.07320.97550.95900.18300.05340.71210.56410.2694
U(1)0.33960.00010.00300.04730.35940.03010.03290.0759
U(2)0.92680.02450.04100.81700.94660.28790.43590.7306
P(0)0.33960.00010.00300.04730.35940.03010.03290.0759
P(1)0.58720.02440.03800.76970.58710.25780.40300.6547
P(2)0.07320.97550.95900.18300.05340.71210.56410.2694
Table 10. The heterogeneous UAV swarm’s evaluation based on BSS.
Table 10. The heterogeneous UAV swarm’s evaluation based on BSS.
AssessmentSwarm with Decentral ControlSwarm with Central Control
Irredundant (HoID)Redundant (HoRD)Irredundant (HoIC)Redundant (HoRC)
2-Out-Of-53-Out-Of-54-Out-Of-52-Out-Of-53-Out-Of-54-Out-Of-5
A0.66040.99990.99700.95270.64060.96990.96710.9241
U0.33960.00010.00300.04730.35940.03010.03290.0759
Disclaimer/Publisher’s Note: The statements, opinions and data contained in all publications are solely those of the individual author(s) and contributor(s) and not of MDPI and/or the editor(s). MDPI and/or the editor(s) disclaim responsibility for any injury to people or property resulting from any ideas, methods, instructions or products referred to in the content.

Share and Cite

MDPI and ACS Style

Zaitseva, E.; Mukhamediev, R.; Levashenko, V.; Kovalenko, A.; Kvassay, M.; Kuchin, Y.; Symagulov, A.; Oksenenko, A.; Sultanova, Z.; Zhaxybayev, D. Comparative Reliability Analysis of Unmanned Aerial Vehicle Swarm Based on Mathematical Models of Binary-State and Multi-State Systems. Electronics 2024, 13, 4509. https://doi.org/10.3390/electronics13224509

AMA Style

Zaitseva E, Mukhamediev R, Levashenko V, Kovalenko A, Kvassay M, Kuchin Y, Symagulov A, Oksenenko A, Sultanova Z, Zhaxybayev D. Comparative Reliability Analysis of Unmanned Aerial Vehicle Swarm Based on Mathematical Models of Binary-State and Multi-State Systems. Electronics. 2024; 13(22):4509. https://doi.org/10.3390/electronics13224509

Chicago/Turabian Style

Zaitseva, Elena, Ravil Mukhamediev, Vitaly Levashenko, Andriy Kovalenko, Miroslav Kvassay, Yan Kuchin, Adilkhan Symagulov, Alexey Oksenenko, Zamzagul Sultanova, and Darkhan Zhaxybayev. 2024. "Comparative Reliability Analysis of Unmanned Aerial Vehicle Swarm Based on Mathematical Models of Binary-State and Multi-State Systems" Electronics 13, no. 22: 4509. https://doi.org/10.3390/electronics13224509

APA Style

Zaitseva, E., Mukhamediev, R., Levashenko, V., Kovalenko, A., Kvassay, M., Kuchin, Y., Symagulov, A., Oksenenko, A., Sultanova, Z., & Zhaxybayev, D. (2024). Comparative Reliability Analysis of Unmanned Aerial Vehicle Swarm Based on Mathematical Models of Binary-State and Multi-State Systems. Electronics, 13(22), 4509. https://doi.org/10.3390/electronics13224509

Note that from the first issue of 2016, this journal uses article numbers instead of page numbers. See further details here.

Article Metrics

Back to TopTop