A Novel Mathematical Approach for Inductor-Current Expressions Definition in Multilevel Dual-Active-Bridge Converters
Abstract
1. Introduction
2. Derivation of the Generalized Inductor Current Expression
2.1. 2L-3L DAB Instantaneous Current Compact Expression
2.2. Generalized Current Compact Expression of a 2L-NL DAB
2.3. RMS Expression
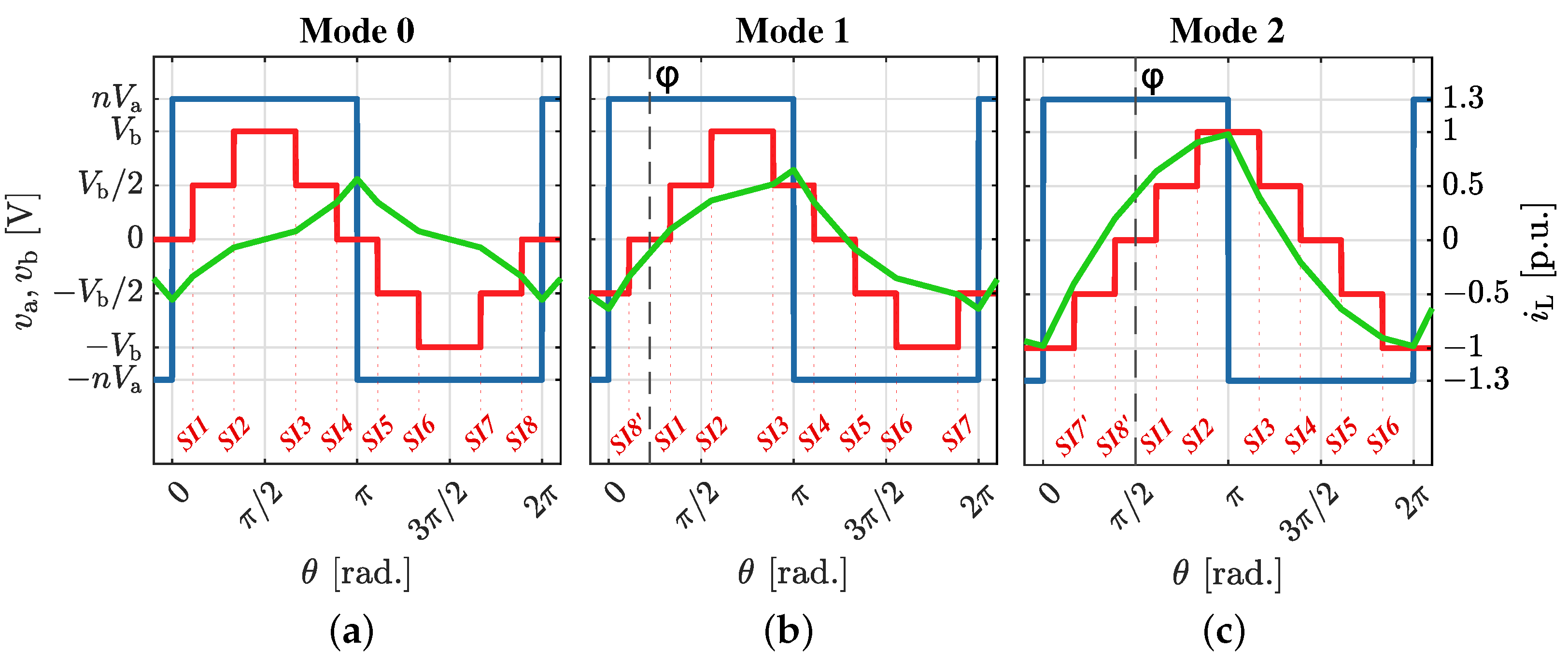
3. Numerical Verification
3.1. 2L-NL DAB Instantaneous and RMS Current Expressions Through Fourier Analysis
3.2. Numerical Verification for the 2L-3L DAB
3.3. Numerical Verification for the 2L-4L DAB
4. Comparative Computational Time Analysis
5. Discussion
Supplementary Materials
Author Contributions
Funding
Data Availability Statement
Conflicts of Interest
References
- Hou, N.; Li, Y.W. Overview and Comparison of Modulation and Control Strategies for a Nonresonant Single-Phase Dual-Active-Bridge DC–DC Converter. IEEE Trans. Power Electron. 2020, 35, 3148–3172. [Google Scholar] [CrossRef]
- Bughneda, A.; Salem, M.; Richelli, A.; Ishak, D.; Alatai, S. Review of Multilevel Inverters for PV Energy System Applications. Energies 2021, 14, 1585. [Google Scholar] [CrossRef]
- Kouro, S.; Malinowski, M.; Gopakumar, K.; Pou, J.; Franquelo, L.G.; Wu, B.; Rodriguez, J.; Pérez, M.A.; Leon, J.I. Recent Advances and Industrial Applications of Multilevel Converters. IEEE Trans. Ind. Electron. 2010, 57, 2553–2580. [Google Scholar] [CrossRef]
- Busquets-Monge, S. Neutral-Point-Clamped DC–AC Power Converters. In Wiley Encyclopedia of Electrical and Electronics Engineering; John Wiley & Sons, Ltd.: Hoboken, NJ, USA, 2018; pp. 1–20. [Google Scholar]
- Filba-Martinez, A.; Busquets-Monge, S.; Nicolas-Apruzzese, J.; Bordonau, J. Operating principle and performance optimization of a three-level NPC dual-active-bridge DC–DC converter. IEEE Trans. Ind. Electron. 2015, 63, 678–690. [Google Scholar] [CrossRef]
- Liu, P.; Chen, C.; Duan, S. An Optimized Modulation Strategy for the Three-Level DAB Converter With Five Control Degrees of Freedom. IEEE Trans. Ind. Electron. 2020, 67, 254–264. [Google Scholar] [CrossRef]
- Song, C.; Sangwongwanich, A.; Yang, Y.; Blaabjerg, F. Optimal Control of Multilevel DAB Converters for Soft-Switching and Minimum Current Stress. IEEE Trans. Power Electron. 2024, 39, 5707–5720. [Google Scholar] [CrossRef]
- Niu, J.; Yang, X.; Su, D.; Zhao, K.; Li, S. Study of Transient Control Performance of Cascaded NPC-DAB for Power Supply System of Data Center. In Proceedings of the 2023 11th International Conference on Power Electronics and ECCE Asia (ICPE 2023—ECCE Asia), Jeju Island, Republic of Korea, 22–25 May 2023; pp. 400–405. [Google Scholar]
- Yun, H.J.; Jeong, D.K.; Kim, H.S.; Kim, M.; Baek, J.W.; Kim, J.Y.; Kim, H.J. Implementation of a Single-Phase SST for the Interface between a 13.2 kV MVAC Network and a 750 V Bipolar DC Distribution. Electronics 2018, 7, 62. [Google Scholar] [CrossRef]
- Shi, Y.; Li, R.; Li, H. Modular multilevel dual active bridge DC-DC converter with ZVS and fast DC fault recovery for battery energy storage systems. In Proceedings of the 2016 IEEE Applied Power Electronics Conference and Exposition (APEC), Long Beach, CA, USA, 20–24 March 2016; pp. 1675–1681. [Google Scholar]
- Tian, J.; Zhuo, C.; Wang, F.; Deng, H. An RMS Current Minimization Method for Three-Level ANPC-DAB-Based Distributed Energy Storage System With Full Operation ZVS. IEEE J. Emerg. Sel. Top. Power Electron. 2024, 12, 2388–2405. [Google Scholar] [CrossRef]
- Chaurasiya, S.; Singh, B. A bidirectional fast EV charger for wide voltage range using three-level DAB based on current and voltage stress optimization. IEEE Trans. Transp. Electrif. 2022, 9, 1330–1340. [Google Scholar] [CrossRef]
- Xuan, Y.; Yang, X.; Chen, W.; Liu, T.; Hao, X. A Three-Level Dual-Active-Bridge Converter With Blocking Capacitors for Bidirectional Electric Vehicle Charger. IEEE Access 2019, 7, 173838–173847. [Google Scholar] [CrossRef]
- Lee, J.Y.; Cho, Y.P.; Jung, J.H. Single-stage voltage balancer with high-frequency isolation for bipolar LVDC distribution system. IEEE Trans. Ind. Electron. 2019, 67, 3596–3606. [Google Scholar] [CrossRef]
- Kolahian, P.; Tarzamni, H.; Nikafrooz, A.; Hamzeh, M. Multi-port DC–DC converter for bipolar medium voltage DC micro-grid applications. IET Power Electron. 2019, 12, 1841–1849. [Google Scholar] [CrossRef]
- Kong, X.; Zhang, J.; Zhou, J.; Zang, J.; Wang, J.; Shi, G.; Cai, X. Power and Voltage Control Based on DC Offset Injection for Bipolar Low-Voltage DC Distribution System. J. Mod. Power Syst. Clean Energy 2022, 11, 1529–1539. [Google Scholar] [CrossRef]
- Kong, X.; Li, L.; Zhang, J.; Wang, H.; Zhou, J.; Shi, G.; Cai, X. Operation and Control of DC Solid State Transformer With Bipolar LVDC Ports. In Proceedings of the 2021 IEEE 12th Energy Conversion Congress and Exposition—Asia (ECCE-Asia), Singapore, 24–27 May 2021; pp. 402–407. [Google Scholar]
- Krismer, F.; Kolar, J.W. Closed Form Solution for Minimum Conduction Loss Modulation of DAB Converters. IEEE Trans. Power Electron. 2012, 27, 174–188. [Google Scholar] [CrossRef]
- Capó-Lliteras, M.; Oggier, G.G.; Bullich-Massagué, E.; Heredero-Peris, D.; Montesinos-Miracle, D. Analytical and Normalized Equations to Implement the Optimized Triple Phase-Shift Modulation Strategy for DAB Converters. IEEE J. Emerg. Sel. Top. Power Electron. 2023, 11, 3535–3546. [Google Scholar] [CrossRef]
- Higa, H.; Itoh, J.i. Derivation of operation mode for flying capacitor topology applied to three-level DAB converter. In Proceedings of the Future Energy Electronics Conference (IFEEC), 2015 IEEE 2nd International, Taipei, Taiwan, 1–4 November 2015; pp. 1–6. [Google Scholar]
- Kenzelmann, S.; Rufer, A.; Dujic, D.; Canales, F.; de Novaes, Y.R. Isolated DC/DC Structure Based on Modular Multilevel Converter. IEEE Trans. Power Electron. 2015, 30, 89–98. [Google Scholar] [CrossRef]
- Filba-Martinez, A.; Busquets-Monge, S.; Bordonau, J. Modulation and Capacitor Voltage Balancing Control of Multilevel NPC Dual Active Bridge DC–DC Converters. IEEE Trans. Ind. Electron. 2020, 67, 2499–2510. [Google Scholar] [CrossRef]
- Lee, J.Y.; Choi, H.J.; Jung, J.H. Three level NPC dual active bridge capacitor voltage balancing switching modulation. In Proceedings of the 2017 IEEE International Telecommunications Energy Conference (INTELEC), Gold Coast, Australia, 22–26 October 2017; pp. 438–443. [Google Scholar]
- Liu, J.; Chen, W.; Ma, X.; Zhang, R.; Yan, R. A zero voltage switching range optimization strategy for NPC Dual-Active-Bridge Converter. In Proceedings of the 2020 4th International Conference on HVDC (HVDC), Xi’an, China, 6–9 November 2020; pp. 966–970. [Google Scholar]
- Patil, N.S.; Shukla, A. Peak Current Optimization of Hybrid NPC-DAB Converter Ensuring Soft Switching of All the Switches. In Proceedings of the 2023 IEEE Energy Conversion Congress and Exposition (ECCE), Nashville, TN, USA, 29 October–2 November 2023; pp. 3380–3385. [Google Scholar]





|
Mode 0: |
Mode 1: |
Mode 2: | ||||
|---|---|---|---|---|---|---|
[rad] | [p.u.] | [p.u.] | [p.u.] | [p.u.] | [p.u.] | [p.u.] |
| 0 | ||||||
| 1 | ||||||
| 2 | ||||||
| 3 | 1 | 1 | ||||
| 4 | ||||||
|
Mode 0: |
Mode 1: |
Mode 2: | |||
|---|---|---|---|---|---|
[p.u.] | [p.u.] | [p.u.] | [p.u.] | [p.u.] | [p.u.] |
|
Mode 0: |
Mode 1: |
Mode 2: |
Mode 3: | |||||
|---|---|---|---|---|---|---|---|---|
[rad] | [p.u.] | [p.u.] | [p.u.] | [p.u.] | [p.u.] | [p.u.] | [p.u.] | [p.u.] |
| 0 | ||||||||
| 1 | ||||||||
| 2 | ||||||||
| 3 | ||||||||
| 4 | ||||||||
|
Mode 0: |
Mode 1: |
Mode 2: |
Mode 3: | ||||
|---|---|---|---|---|---|---|---|
[p.u.] | [p.u.] | [p.u.] | [p.u.] | [p.u.] | [p.u.] | [p.u.] | [p.u.] |
| 0.55 | 0.55 | 0.42 | 0.42 | 0.65 | 0.65 | 0.67 | 0.67 |
| 14.9 | 15.8 | 16.9 | 21.6 | |
| 0.5 | 0.5 | 0.5 | 0.5 | |
| 14.0 | 14.7 | 15.6 | 20.4 | |
| 4.2 | 5.0 | 6.0 | 7.8 |
Disclaimer/Publisher’s Note: The statements, opinions and data contained in all publications are solely those of the individual author(s) and contributor(s) and not of MDPI and/or the editor(s). MDPI and/or the editor(s) disclaim responsibility for any injury to people or property resulting from any ideas, methods, instructions or products referred to in the content. |
© 2024 by the authors. Licensee MDPI, Basel, Switzerland. This article is an open access article distributed under the terms and conditions of the Creative Commons Attribution (CC BY) license (https://creativecommons.org/licenses/by/4.0/).
Share and Cite
Borrell-Pons, E.; Esquius-Mas, O.; Filba-Martinez, A.; Trilla, L. A Novel Mathematical Approach for Inductor-Current Expressions Definition in Multilevel Dual-Active-Bridge Converters. Electronics 2024, 13, 4476. https://doi.org/10.3390/electronics13224476
Borrell-Pons E, Esquius-Mas O, Filba-Martinez A, Trilla L. A Novel Mathematical Approach for Inductor-Current Expressions Definition in Multilevel Dual-Active-Bridge Converters. Electronics. 2024; 13(22):4476. https://doi.org/10.3390/electronics13224476
Chicago/Turabian StyleBorrell-Pons, Eudald, Oriol Esquius-Mas, Alber Filba-Martinez, and Lluís Trilla. 2024. "A Novel Mathematical Approach for Inductor-Current Expressions Definition in Multilevel Dual-Active-Bridge Converters" Electronics 13, no. 22: 4476. https://doi.org/10.3390/electronics13224476
APA StyleBorrell-Pons, E., Esquius-Mas, O., Filba-Martinez, A., & Trilla, L. (2024). A Novel Mathematical Approach for Inductor-Current Expressions Definition in Multilevel Dual-Active-Bridge Converters. Electronics, 13(22), 4476. https://doi.org/10.3390/electronics13224476

