Abstract
Tsunamis are devastating natural phenomena that cause extensive damage to both human life and infrastructure. To mitigate such impacts, tsunami early warning systems have been deployed globally. South Korea has also initiated a project to install a tsunami warning system to monitor its surrounding seas. To ensure reliable warning decisions, various types of data must be combined, but efficiently transmitting heterogeneous data poses a challenge due to the unique characteristics of underwater acoustic communication. Therefore, this paper proposes a Hybrid Duplex Medium Access Control (HDMAC) protocol designed for a tsunami warning system, with a specific focus on heterogeneous data transmission. HDMAC efficiently handles both seismic and environmental data by utilizing hybrid duplexing, which combines frequency duplex for seismic data with time duplex for environmental data. The protocol addresses the distinct transmission requirements for each data type by optimizing channel utilization through a group Automatic Repeat request (ARQ) scheme and packet size adjustment. Theoretical analysis predicts that HDMAC can achieve a channel utilization of up to 0.91 in smaller networks and 0.64 in larger networks. HDMAC is validated through simulations, and the simulation results closely match these predictions. The simulation results demonstrate the efficiency of HDMAC in supporting real-time submarine earthquake monitoring systems.
1. Introduction
Tsunamis are defined as “a series of waves caused by earthquakes or undersea volcanic eruptions” []. The immense power of tsunamis and the resulting tidal waves make them one of the most destructive natural disasters. On 26 December 2004, the Indian Ocean earthquake and the subsequent tsunami brought global attention to the devastating effects of tsunamis, with a death toll of 227,000 []. In March 2011, another earthquake and tsunami struck Japan, resulting in over 20,000 fatalities [] and causing severe issues at the Fukushima nuclear power plant, with ongoing repercussions in the region. The United Nations Disaster Risk Reduction (UNDRR) has estimated the economic losses from the tsunami to be approximately USD 288 billion []. These events are just two examples of numerous tsunamis that occur worldwide each year, many of which cause fewer deaths and receive less global attention. To mitigate the impact of such disasters, early warning systems are essential, to alert populations to underwater seismic events and potential tsunamis.
The early warning process begins as soon as an undersea event is detected. When deep-sea events such as earthquakes, volcanic eruptions, or landslides occur, a Bottom Pressure Recorder (BPR) detects significant changes in water pressure (i.e., water mass above the BPR). The data are then transmitted to a surface buoy via acoustic communication channels. The buoy forwards this information to a land-based early warning center using satellite networks. The center analyzes the received data, and if a tsunami is detected, broadcasts a warning message. To reduce the probability of false alarms, which can cause unnecessary disruption [], additional data from tide gauges and other sources are combined with the water pressure data to confirm the risk [,]. Therefore, tsunami early warning system networks should be designed to collect environmental information in addition to seismic data.
The Korea Institute of Geoscience and Mineral Resources (KIGAM) has initiated a project titled “Real-Time Submarine Earthquake Monitoring Technology Development”. The purpose of this project is to develop a tsunami early warning system for the seas surrounding Korea. In this context, this paper proposes a Hybrid Duplex Medium Access Control (HDMAC) protocol specifically designed for this project. Radio Frequency (RF) and physical layer parameters have been extensively researched in [,,,,,,,], but this paper focuses on designing a MAC protocol tailored to the project’s requirements based on these parameters. Figure 1 presents the planned network configuration, which consists of a centralized network with one buoy and three nodes: two for environmental monitoring and one for seismic data. The three nodes transmit the collected data to the surface buoy in a single hop.

Figure 1.
Planned network configuration for HDMAC design. (Explanations related to latency and bandwidth are discussed in Section 3.1).
This project considers a special case where two separate Rx modems are equipped on a buoy to receive heterogeneous data types from two different acoustic channels. Therefore, the HDMAC design must support hybrid duplexing to handle heterogeneous data types, specifically seismic and environmental monitoring data. Seismic data transmission prioritizes low-latency communication, making frequency duplexing essential for seamless transmission. In contrast, environmental monitoring data can tolerate higher latency without a significant impact.
A key project requirement that influences on the MAC protocol design is achieving a data rate of up to 5 kbps between the buoy and the seismometer, which limits the distance to less than 200 m (Explanations related to latency and bandwidth are discussed in Section 3.1). As illustrated in Figure 1, the seismometer is located near the buoy, while the other Sensor Nodes (SNs) can be positioned within 2000 m of the buoy.
Specific contributions of this paper include:
- This paper introduces a MAC protocol which supports hybrid duplexing, tailored to the characteristics of a tsunami early warning system in which heterogeneous data is collected.
- The proposed protocol is specifically designed to meet project requirements suited for underwater channel evaluation in Korea.
- This paper provides mathematical definition of the protocol, predicts its performance, and verifies it using a simulation tool, OMnET++ (version 6.0.3).
Section 2 reviews the literature related to the existing tsunami warning systems. Section 3 details the HDMAC design based on pre-validated physical layer parameters and predicts the theoretical maximum and minimum channel utilization values. Section 4 presents the simulation results of HDMAC and compares the theoretical values with the practical simulation outcomes.
The scope of this paper is defined as followings:
- This paper focuses on MAC protocol design, with emphasis on the influence of parameters at the medium access level.
- Discussion regarding physical layer and RF parameters are beyond the scope of this study.
- Time synchronization is assumed to be supported by the physical layer.
- The seismometer data size value is provided by an independent institution; discussion related to this are beyond the scope of this paper.
2. Literature Review
The tsunami early warning system is structured hierarchically at the regional, national, and local levels []. The level of the area protected by the warning system determines its classification. The most representative system covering a broad area across multiple countries is the Deep-ocean Assessment and Reporting of Tsunamis (DART) [,]. DART consists of a BPR and a buoy station, as illustrated in Figure 2a. The BPR transmits the data to the station via a wireless acoustic channel. Real-time information collected from DART systems is accessible on the National Data Buoy Center website [], as shown in Figure 2b.

Figure 2.
The DART system. (a) The DART 4th generation system []. It consists of one BPR and one surface buoy. (b) The map indicates where the DART system is deployed []. The yellow diamonds indicates a station with recent data and the red diamond indicates a station with no data in last eight hours. (c) Areas of responsibility of the DART system used for damage prevision []. PTWC stands for Pacific Tsunami Warning Center and NTWC stands for National Tsunami Warning Center.
Smaller areas, such as national or local regions, are typically served by cable-based warning systems. These systems are designed to measure near-field earthquakes that occur within approximately 10 min of an undersea earthquake zone near the coast. For example, Japan has established S-net, a system that monitors earthquakes and tsunamis 24 h a day using 150 undersea seismometers and water pressure gauges connected by 5800 km of optical cables along the trenches east of Japan []. Another Japanese system, the Dense Ocean floor Network System for Earthquakes and Tsunamis (DONET), monitors potential earthquakes and tsunamis in the Nankai Trough area []. Similarly, Canada has implemented an undersea cable system known as the North-East Pacific Time-Series Undersea Networked Experiment (NEPTUNE) []. In Indonesia, the government agency BPPT (Agency for the Assessment and Application of Technology) plans to complete the deployment of the Indonesia-developed Cable-Based Tsunami-meter (Ina-CBT) by 2024 to cover areas close to the Ring of Fire [,].
Cable-based warning systems provide faster and more reliable data communication []; however, the area they can protect is limited by the cable’s range. To cover wider areas, wireless acoustic communication-based warning systems are employed, as acoustic waves can propagate over much longer distances compared RF or optical signals despite limitations such as substantial propagation delay and limited bandwidth. The DART system exemplifies the use of acoustic communication in wide-area tsunami early warning. Nevertheless, the DART system has certain critical drawbacks. First, DART is designed to warn large regional areas, but it is not yet capable of providing near-field warnings within 10 min after an earthquake [,]. The development of DART 4G, which is intended to function in seismically active subduction zones, aims to improve tsunami detection closer to the source, enabling earlier warnings []. Additionally, such systems are costly to install, operate, and maintain. Each DART buoy costs over USD 0.5 million to install and USD 300,000 annually for maintenance, which consumes 28% of the National Oceanic and Atmospheric Administration’s (NOAA) budget []. As a result, the KIGAM has initiated a project to deploy tsunami warning systems closer to the Korean coastline. The objectives of the project are as follows:
- To implement national- or local-level tsunami warning systems using wireless acoustic communication instead of cable-based systems.
- To achieve fast and reliable data transmission via wireless acoustic communications.
- To develop domestically produced early warning systems.
3. Hybrid Duplex MAC Protocol Design
This section presents the HDMAC protocol, designed as part of the “Development of Underwater Wireless Communication Technology for Underwater Observation Data” project, which is a part of the real-time submarine earthquake monitoring technology development initiative. Figure 1 illustrates the planned network configuration. The network consists of one buoy and three nodes. A seismometer generates seismic information, while the other two SNs, labeled SN1 and SN2, collect the environmental data. The buoy is positioned at the center of the network, with the three nodes fixed on the seabed. Since the nodes are within the transmission range of the buoy, they communicate via single-hop transmission.
3.1. Data Transmission Requirements
Two key project requirements that influence the MAC protocol design are (1) the dedicated channel for the seismometer must provide a data rate of up to 5000 bps, and (2) the MAC protocol must support the seismometer, which generates one packet of 5000 bits per second. Regarding the data rate requirement, based on extensive on-site experiments [,,,,,,,] conducted in the deployment area, the 12–28 kHz channel band (16 kHz bandwidth and 20 kHz center frequency) was identified as optimal for signal reception. In underwater environments, the acoustic wave propagation distances are highly dependent on frequency. Higher-frequency acoustic signals travel shorter distances due to increased transmission loss, while lower-frequency signals travel longer distances. Therefore, the experiment results have limited the distance between the seismometer and the buoy to 200 m for optimal reception.
The second requirement is based on the nature of seismometer data, which are typically larger than other data types. Seafloor seismometers measure earth motions in three dimensions across a wide frequency band, detecting events ranging from tides and earthquake-induced resonances to seismic waves and even sounds produced by marine life and ships []. The seismograph’s response is expressed as a single real number and a finite number of complex numbers []. For this project, the raw data generated by the seismometer can be as large as 4096 bits per second, resulting in a 5000-bit packet when including the redundant bits.
These two requirements ensure continuous and fast seismic data transmission. This implies that control and environmental data packets are transmitted using the remaining resources from seismic data transmission. HDMAC employs an asymmetric channel plan that prioritizes heterogeneous data. Given that immediacy is critical for seismic data transmission, one dedicated channel is allocated to the seismometer, while another shared channel is used for communication between the buoy and SNs. As such, HDMAC integrates both FDD (Frequency Division Duplex, full-duplex, but not in-band full duplex) for the seismic data and TDD (Time Division Duplex, half-duplex) for the environmental data to handle heterogenous data types.
Since the control packet size is much smaller than the seismic data and the environmental packet size is flexible, a narrower channel bandwidth is sufficient for the shared channel. The 32–36 kHz band (4 kHz bandwidth and 34 kHz center frequency) is allocated for non-seismic data transmission. This narrow band allows for SN1 and SN2 to be located up to 2000 m from the buoy. Figure 3 shows the channel band allocation in the network. The black solid lines indicate the 4 kHz bandwidth used for the non-seismic data, while the 16 kHz bandwidth allocated to the seismic data is shown in bold green.

Figure 3.
HDMAC channel band allocation plan.
The HDMAC design is based on predefined physical layer parameters [,,,,,,,], with the primary objective of providing the most feasible channel utilization within these constraints. In underwater environments, the channel utilization performance is heavily influenced by distance due to the slow propagation speed of acoustic waves. Therefore, optimizing the distance between the buoy and the nodes, as well as determining the appropriate packet size, is the main focus of this paper. HDMAC is designed under the following assumptions:
- The project provides accurate time synchronization across all the nodes before deployment;
- The number of nodes in the network is known prior to deployment;
- The deployment map (node locations) is determined before deployment;
- The buoy is equipped with two separate receiver modems operating on different frequencies.
Figure 4 illustrates the general data transmission process of HDMAC. The parameters in the figure are defined in Table 1. The initialization process is omitted from the figure. Since the scenario involves a centralized network with fixed node locations, the initialization process is not a significant challenge. A variety of underwater protocols have been proposed, including initialization and re-initialization processes, such as Transmit Delay Allocation (TDA)-MAC []. For the HDMAC scenario, the initialization period should be completed within a few minutes.

Figure 4.
HDMAC general process diagram: one frame time (Tf) example. The diagonal lines indicate the propagation delays of each packet.

Table 1.
Pre-defined parameters in HDMAC.
The seismometer continuously transfers data while simultaneously receiving control bits. Similarly, the buoy receives seismic data packets and simultaneously transmits the control packets. To avoid collisions between the control and data packets, communication between the buoy and SNs occurs at different times, as they share a single channel bandwidth. As soon as the buoy completes the reception of a data packet from the seismometer, the buoy broadcasts control packets containing ARQ information. The ARQ process is detailed in Section 3.2. This control packet triggers data transmission from the SNs. SN1 refers to the SN closest to the buoy, while SN2 represents the SN farthest from the buoy.
The periodicity of the control packets from the buoy is entirely dependent on the seismic packet duration (Ts). Since the control packets also contain control information for both SNs, the SN frame periodicity (Tf) must be equal to or smaller than the seismic packet duration (Ts) to ensure high channel utilization, as explained in Equation (1).
Tf ≤ Ts = Bs/Rs
The purpose of the waiting time (τ) for SN2 is to enable both the SNs to access the channel using a Time Division Multiple Access (TDMA) scheme. Due to the different distances between the buoy and the two SNs, the waiting time (τ) is required to ensure the sequential arrival of their packets at the buoy, as illustrated in Figure 4. The waiting time is calculated using Equation (2). SN1 transmits a data packet immediately upon receiving the control packet, whereas SN2 waits for a short duration (τ) before commencing transmission. Since SN2 can calculate the waiting time using known parameters, it waits for the designated time before transmitting its data packet to the buoy. The reception of the packet from SN2 at the buoy must be completed before the next control packet is broadcast.
where de2 ≥ de1 and Te = Be/Re. The waiting time is an important parameter of the network. If it is less than zero, the two packets collide at the buoy. The waiting time must be equal or larger than zero in a frame. Equation (3) shows the frame duration, including the waiting time.
where Tc = Bc/Re.
τ = Te − 2{(de2 − de1)/c},
Tf = Tc + τ + Te + 2(de2/c),
3.2. Group ARQ Scheme for HDMAC
The general HDMAC process is illustrated in Figure 4, representing one feasible scenario when the distances ds, de1, and de2 are similar. However, the project requirement specifies that the distance from the buoy to SN2 (up to 2 km) is 10 times greater than the distance to the seismometer (up to 200 m), as shown in Figure 1. Additionally, the provided channel data rate for the 4 kHz bandwidth is 25% smaller than that of the 16 kHz bandwidth. This implies that if identically sized packets are transmitted over these channels, the packet duration in the lower-data-rate channel is four times longer than that in the higher-data-rate channel. As a result, control packets must be sent for a group of packets to maximize channel utilization, rather than for every seismic data packet, as shown in Figure 5. The use of group ARQ is advantageous, as it consistently offers better performance than stop-and-wait ARQ, particularly due to the longer propagation delays in underwater environments []. Comparison error rate performance of stop and wait ARQ and group ARQ is described in Appendix A.

Figure 5.
Group ARQ process of HDMAC. The sequence number of the seismic data packet is indicated by i in this figure.
Two additional parameters are defined for the group ARQ process: (1) M, which represents the number of seismic data packets in the packet group; and (2) λ, which represents the rounding up time duration used to align the frame duration (Tf) with the control message periodicity. Table 2 lists new parameters; Equations (4) and (5) define them.
M = ceil [Tf/Ts]
λ = M·Ts − (Tc + τ + Te + 2(de2/c))

Table 2.
New parameters for the group ARQ process for HDMAC.
By applying the new parameters, Equations (1) and (3) are re-defined as Equations (6) and (7).
Tf ≤ M·Ts
Tf = Tc + τ + Te + 2(de2/c) + λ, λ ≥ 0
Figure 6 illustrates an example where the group ARQ size is set to five at the beginning of data transmission in the network. Once the number of seismic packets received at the buoy reaches the group size, the buoy transmits the first control packet. The primary function of this initial control packet is to provide ARQ information to the seismometer and trigger data transmission from the SNs. From the second control packet onward, the ARQ information for all the three nodes is included.

Figure 6.
A group ARQ process example when the group size (M) is five and when all the transmissions have been successfully transmitted to the buoy. The two SNs are omitted in this figure.
HDMAC utilizes a four-byte control packet, with the bit plan outlined in Figure 7. The first two bytes are allocated for the seismometer, while the latter two bytes are designated for the SNs. For each SN, one byte is allocated. The first bit of each byte represents Acknowledgement (ACK) or Negative ACK (NACK) information, and the remaining seven bits correspond to the sequence number associated with ARQ information. For instance, if the buoy successfully receives a packet with sequence number 102 from SN1, but encounters an error in the packet with sequence number 96 from SN2 within a one-frame duration, the control packet will contain (0xC2 60). Upon receiving NACK bits, the SNs initiate the retransmission process, with a maximum of four retransmission attempts [], after which the packet is discarded.

Figure 7.
HDMAC control packet bit plan: first two bytes for the seismometer and last two bytes for the two SNs.
For seismic data transmission, HDMAC utilizes group ARQ. According to the project requirements, the maximum possible group size is ten; therefore, ten bits are allocated for the seismometer ARQ process. The group size is discussed further in Section 3.2. Typically, the retransmission process occurs in ARQ; however, considering the volatile nature of seismic data, which prioritizes real-time transmission over high reliability in specific scenarios, the buoy may choose whether to retransmit based on the selected transmission modes. Currently, only one transmission mode is implemented, but additional modes will be introduced, with the first six bits reserved for mode selection. Even if retransmission is not performed, the ARQ information is still transmitted to the seismometer. In the example shown in Figure 6, if packets with sequence numbers from 6 to 8 are successfully transmitted, while packets from 9 and 10 are lost, the first two bytes of the second control packet will contain the bit sequence (0b 00000000 0011100). In addition to the ARQ information, the ARQ process also serves the purpose of enabling the seismometer to trigger the re-initialization process if the number of consecutive lost control packets exceeds the threshold, as this indicates potential channel disconnection.
3.3. Theoretical Channel Utilization of HDMAC
This section predicts the maximum theoretical performance of HDMAC without considering the packet errors or the guard time. Since the network consists of fixed nodes, the theoretical channel utilization and latency at the MAC layer remain constant as long as the network configuration does not change. Channel utilization represents the effective time within a frame duration. This is calculated using Equation (8), and the latency of an environmental packet corresponds to the periodicity of the frame (Tf) in seconds. Theoretical channel utilization is highly dependent on the distance and packet size of the environmental data packet.
Channel utilization (η) = 2(Te/Tf)
This section applies specific parameter values from the project requirements, as listed in Table 3. In this context, the seismic data packet duration (Ts) is set to one second.

Table 3.
The parameter values for the project requirements. All parameter values defined in the table are applied to the simulation for verification.
SN2 is assumed to be located at the edge of the network. As SN1 moves from 200 m to the edge, the expected channel utilization is illustrated in Figure 8a. The previous studies [,] have optimized the underwater data packet size, with approximately 500 bytes showing the best performance in many known underwater MAC protocols. Therefore, in this case, the data packet size for the SNs is fixed at 4000 bits. It is assumed that the packet sizes for both the SNs are identical. Under these identical network configurations, the number of packets in the group ARQ is shown in Figure 8b.

Figure 8.
Predicted HDMAC performance when Be is 4000 bits. (a) Theoretical channel utilization of HDMAC as a function of the distance between the buoy and SN1. (b) ARQ group size of HDMAC increases as a function of the distance between the buoy and SN1.
The predicted peak channel utilization is 0.914 when SN1 is located near the buoy, as channel utilization is significantly affected by distance. This value decreases to 0.64 when SN1 is positioned at the edge of the cell. The channel utilization exhibits a stepwise reduction due to the rounding up of time (λ), which causes the frame duration to remain constant for a given ARQ group size. With the group size held constant, the frame duration stays fixed, resulting in an inverse relationship between the number of packets in a group and channel utilization.
The group size represents the duration of one frame (Tf). Based on the parameter values given in Table 3, the periodicity of SN data transmission is extended to 10 s when both the SNs are located at the edge of the network. When the group size is 10, the seismometer does not receive the control packet for up to 10 s, and the environmental packet latency duration reaches 10 s (i.e., the periodicity is 10 s). By optimizing the packet size, the group size can be reduced.
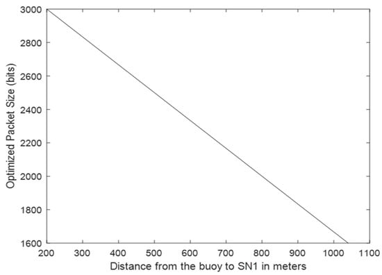
By applying the parameters in Table 3 to Equation (2), the optimized packet size is derived in Equation (9). The optimized packet size is 3000 bits for a smaller network and 1600 bits for a larger network, as shown in Figure 9. For instance, when de1 is 200 m and de2 is 2000 m, the difference between the two parameters is 1800 m. According to Equation (9), the optimized packet size (Be) is calculated as 1800 divided by 0.6, resulting in 3000 bits per packet.

Figure 9.
The optimized packet size of HDMAC under the project requirement conditions. The optimized packet size decreases as the distance between the buoy and SN1 increases.
Using the optimized packet size, HDMAC achieves a channel utilization of 0.912 when the SN is located at 290 m, and the value is 0.64 at 1040 m, as illustrated in Figure 10a. Even with packet size optimization, similar channel utilization can be achieved due to changes in frame duration and packet size. Channel utilization is defined as the time effectively utilized within a single frame duration. In a collision-free TDMA-based network, where identical frames are repeatedly transmitted, the channel utilization of a single frame can represent the maximum predicted channel utilization for the entire system. With packet size optimization, the group size decreases, resulting in a shorter frame duration. Consequently, upon applying the optimized packet size, the frame duration (Tf) and the packet duration vary, leading to different useful time rates within a frame. Therefore, channel utilization decreases in a zig-zag pattern, since the packet size decreases at an identical group size. Since the optimized packet size is smaller in larger networks, the group size for one ARQ process decreases to four seconds, as Figure 10b shows. This reduces the latency by more than half, while maintaining a comparable level of channel utilization. In underwater networks, smaller data packet sizes are generally inefficient, so packet sizes below 1600 bits are not considered.
|de2 − de1| = 0.6Be

Figure 10.
Predicted HDMAC performance when the optimized packet size is applied: (a) Theoretical channel utilization of HDMAC as a function of the distance between the buoy and SN1. (b) ARQ group size of HDMAC as the distance between the buoy and SN1 increases.
4. Simulation Results
To evaluate the performance of the HDMAC protocol, the Objective Modular Network Testbed in C++ (OMNeT++), version 6.0.3 [], was used. OMNeT++ is an open-source, discrete event-based network simulator. According to a study by Mittal [], OMNeT++ demonstrates superior performance in terms of computation time compared to NS-3, so that it is widely used for modeling and simulating various wired and wireless network systems. In research by Manzoor [], OMNeT++ was also evaluated as a more suitable simulator for next-generation wireless network studies compared to NS-3. One of key advantage of OMNeT++ is the ease of defining network structures through Network Description (NED) files, making it well suited for implementing complex scenarios. Its modular architecture, platform independence, and Graphical User Interface (GUI) enable the intuitive analysis of complex networks.
All the parameters described in Section 3 are defined for the simulation scenarios and the values provided in Table 3 are applied. For practical evaluation, the Sound Speed Profile (SSP) for deep, open oceans in mid-latitudes is referenced from [] and the slowest possible sound speed of 1490 m/s in the profile is applied. To account for this, a guard time is added to the waiting time (τ), as explained in Equation (10). However, the guard time between the reception of the packet from SN2 and the broadcasting of the control packet is not applied because the rounding-up time (λ) is sufficiently long. Since the guard time is short, the simulation results closely align with the predicted performance of HDMAC. Figure 11a–d compare the simulation results with the predicted channel utilization and the group size in Figure 8 and Figure 10.
where the guard time is the difference in propagation delay caused by the slower propagation speed applied to the simulation.
τ = Te − 2{(de2 − de1)/c} − 2guard time,


Figure 11.
The simulation results compared with the theoretical HDMAC performance in Section 3.3. (a) Channel utilization when the Be is 4000 bits. (b) The group size when Be is 4000 bits. (c) Channel utilization using the optimized packet size. (d) The group size using the optimized packet size.
5. Conclusions
This study designs and evaluates the HDMAC protocol, which is specifically developed to meet the unique requirements of underwater acoustic networks handling heterogeneous data types. The hybrid duplexing approach combining FDD for seismic data and TDD for environmental data allows for HDMAC to support both types of data transmission effectively. The key challenge addressed in this work is the significant distance difference (up to 10 times) between the buoy and SNs, which necessitates the use of a group ARQ scheme. This scheme optimizes transmission by grouping the packets for acknowledgment, ensuring efficient channel utilization despite the distance disparity. Additionally, packet size optimization further enhances the latency performance. The theoretical predictions and simulation results show that HDMAC can achieve a channel utilization value of up to 0.91 in smaller networks and 0.64 in larger ones. These findings demonstrate HDMAC’s potential as a reliable and efficient protocol for real-time underwater data transmission.
Underwater communication channel characteristics vary significantly depending on the locations of the early warning systems, as they are highly influenced by factors such as water temperature, ocean currents, seafloor topography, and geological features. This variation implies that the requirements for the MAC protocol design may differ across different environments. Therefore, the HDMAC protocol may not always be universally applicable. However, it can contribute to enhancing tsunami monitoring and early warning capabilities in Korea’s coastal waters.
In future work, we plan to propose different transmission modes. The current mode described in this paper is designed for when the system detects an undersea event. However, most of the time, the system operates under stable conditions. Therefore, we will define additional modes such as energy-saving mode and data collection mode, along with their corresponding protocols.
Author Contributions
Conceptualization, S.H.P.; methodology, S.H.P.; software, Y.J.C.; validation, Y.J.C.; formal analysis, S.H.P.; investigation, S.H.P.; resources, S.H.P.; data curation, S.H.P.; writing—original draft preparation, S.H.P.; writing—review and editing, S.H.P.; visualization, S.H.P.; supervision, T.H.I.; project administration, T.H.I.; funding acquisition, T.H.I. All authors have read and agreed to the published version of the manuscript.
Funding
This work was supported by the National Research Foundation of Korea (NRF) grant funded by the Korean Government (MSIT) (NRF-2022M3J9A107887613). This work was supported by the Institute of Information & Communications Technology Planning & Evaluation (IITP)-Innovative Human Resource Development for Local Intellectualization program grant funded by the Korean government (MSIT) (IITP-2024-RS-2024-00436765).
Data Availability Statement
“Data available in a publicly accessible repository that does not issue DOIs” Publicly available datasets were analyzed in this study. This data can be found here: [https://drive.google.com/drive/folders/13-V8Fc6qXEKVDEUCpugtdq8CMhQzHnft?usp=sharing] (accessed on 29 October 2024).
Conflicts of Interest
The authors declare no conflicts of interest.
Appendix A. ARQ Performance Comparison Between One Tx and Rx

Table A1.
Parameters for ARQ performance comparison.
Table A1.
Parameters for ARQ performance comparison.
Symbol | Definition |
---|---|
N | Packet size in bits |
Tp | Packet duration in sec |
R | Channel bit rate in bps |
Tb | Bit duration in sec (1/R) |
Td | Propagation delay in sec |
Tack | Negligible (Tack <<< Tp) |
d | Distance between one Tx and one Rx |
c | 1500 m/s |
M | ARQ group size |
p | Probability of packet error |
T(M) | Total time needed for transmission of a group of M packets and reception of the corresponding group of ACKs |
Tp = N·Tb
Td = d/c
T(M) = M(Tp + Tack) + 2·Td
Channel utilization when M = 1 (stop and wait ARQ):
η(M = 1) = (1 − p)·N·Tb/T(1)
Channel utilization when M > 1 (group ARQ):
η(M > 1) = (1 − p)·M·N·Tb/T(M)
References
- National Oceanic and Atmospheric Administration (NOAA); National Ocean Service. What Is a Tsunami? Available online: https://oceanservice.noaa.gov/facts/tsunami.html (accessed on 5 October 2024).
- Nobuhito, M.; Kenji, S.; Daniel, C.; Katsuichiro, G.; Patrico, A.C.; Tung, C.H.; Fumikiko, I.; Tori, T.; Patrick, L.; Takuya, M.; et al. Giant tsunami monitoring, early warning and hazard assessment. Nat. Rev. Earth Environ. 2022, 3, 557–572. [Google Scholar]
- Wallemacq, P.; Rowena, H. Economic Losses, Poverty & Disasters: 1998–2017; United Nations office for Disaster Risk Reduction: Geneva, Switzerland, 2018. [Google Scholar]
- Selva, J.; Lorito, S.; Volpe, M.; Romano, F.; Tonini, R.; Perfetti, P.; Bernardi, F.; Taroni, M.; Scala, A.; Babeyko, A.; et al. Probabilistic tsunami forecasting for early warning. Nat. Commun. 2021, 12, 5677. [Google Scholar] [CrossRef] [PubMed]
- Kenji, S.; Masami, O.; Kuniaki, A. Tide gauge response to tsunamis: Measurement at 40 tide gauge station in Japan. J. Mar. Res. 1988, 46, 557–571. [Google Scholar]
- Merrifield, M.A.; Firing, Y.L.; Aarup, T.; Agricole, W.; Brundrit, G.; Chang, S.D.; Farre, R.; Kilonsky, B.; Knight, W.; Kong, L.; et al. Tide gauge observation of the Indian Ocean tsunami December 26, 2004. Geophys. Res. Lett. 2005, 32. [Google Scholar] [CrossRef]
- Jinwon, K.; Bogeun, S.; Sangman, H.; Kiha, C.; Haklim, K.; Hojun, L. Chirp-based Frequency Shift Keying for Underwater Acoustic Communications. In Proceedings of the 5th International Conference on Ubiquitous and Future Networks (ICUFN), Budapest, Hungary, 2 July 2024. [Google Scholar]
- Kwang, Y.C.; Hojun, L.; Sung, H.P.; Taeho, I.; Haklim, K. OFDM Signals Underwater Experiments and Analysis in East Sea of South Korea. In Proceedings of the IEEE 7th International Conference on Information Technology, Information Systems and Electrical Engineering (ICITISEE), Purwokerto, Indonesia, 29 November 2023. [Google Scholar]
- Sangman, H.; Kyeon, K.; Sung, H.P.; Haklim, K.; Hojun, L. Algorithm to Improve Synchronization of USBL Underwater Multipath and Doppler Environments. In Proceedings of the IEEE 7th International Conference on Information Technology, Information Systems and Electrical Engineering (ICITISEE), Purwokerto, Indonesia, 29 November 2023. [Google Scholar]
- Sangman, H.; Sungho, K.; Haklim, K.; Hojun, L. Deep Learning-based Range Estimation with Sound Speed Profile. In Proceedings of the IEEE 5th Eurasia Conference on IOT, Communication and Engineering (ECICE), Yunlin, Taiwan, 27 October 2023. [Google Scholar]
- Haklim, K.; Hojun, L.; Minhyuk, C.; Sungho, K.; Seyeon, K.; Taeho, I. Base Station-based Underwater Communication Network. In Proceedings of the OCEANS 2023—Limerick, Limerick, Ireland, 5 October 2023. [Google Scholar]
- Hojun, L.; Kyewon, K.; Taegeon, C.; Haklim, K. Deep Learning-based Ultra Short Baseline Underwater Positioning. In Proceedings of the International Conference on Artificial Intelligence in Information and Communication (ICAIIC), Bali, Indonesia, 20 February 2023. [Google Scholar]
- Sungho, K.; Sangman, H.; Sung, H.P.; Hojun, L.; Taeho, I. Underwater LFM Signal Communication Analysis from the On-Site Experiments in West Sea. In Proceedings of the IEEE 7th International Conference on Information Technology, Information Systems and Electrical Engineering (ICITISEE), Purwokerto, Indonesia, 29 November 2023. [Google Scholar]
- Taegeon, C.; Kanhoon, C.; Kwang, Y.C.; Taeho, I. Design of Underwater Communication and Demodulation Technology for High-Performance Underwater Acoustic Modem. In Proceedings of the International Conference on Ubiquitous and Future Networks (ICFUN), Budapest, Hungary, 2 July 2024. [Google Scholar]
- UNESCO Tsunami Programme, End-to-End Warning Systems. Available online: https://tsunami.ioc.unesco.org/en/warningsystems (accessed on 5 October 2024).
- Bernard, E.; Meinig, C. History and Future of Deep-ocean Tsunami Measurements. In Proceedings of the OCEANS’11 MTS/IEEE KONA, Waikoloa, HI, USA, 19–22 September 2011. [Google Scholar]
- Lawson, R.A.; Graham, D.; Stalin, S.; Meinig, C.; Tagawa, D.; Lawrence, S.N. From Research to Commercial Operations: The Next Generation Easy-to-Deploy (EDT) Tsunami Assessment Buoy. In Proceedings of the OCEANS 2011 IEEE, Santander, Spain, 6–9 June 2011. [Google Scholar]
- National Data Buoy Center. Available online: https://www.ndbc.noaa.gov/obs.shtml?lat=13&lon=-173&zoom=2&pgm=tsunami (accessed on 6 October 2024).
- PMEL. DART4 Brochure. Available online: https://nctr.pmel.noaa.gov/Pdf/brochures/dart4G_Brochure.pdf (accessed on 6 October 2024).
- Peter, P.F. The US Tsunami Program: A Brief Overview; Congressional Research Service: Washington, DC, USA, 2015.
- Toshihiko, K. Japan Trench Earthquake and Tsunami Monitoring Network of Cable-Linked 150 Ocean Bottom Observatories and its Impact to Earth Disaster Science. In Proceedings of the IEEE International Underwater Technology Symposium (UT), Tokyo, Japan, 5 March 2013. [Google Scholar]
- Kaneda, Y.; Kawaguchi, K.; Araki, E.; Matsumoto, H.; Nakamura, T.; Kamiya, S.; Ariyoshi, K.; Hori, T.; Baba, T.; Takahashi, N. Development and application of an advanced ocean floor network systems for megathrust earthquakes and tsunamis. In Seafloor Observatories; Springer: Berlin, Germany, 2015; pp. 643–662. [Google Scholar]
- Chris, R.B.; Mairi, M.R.; Adam, Z. The Neptune Canada regional cabled ocean observatory. Technology 2008, 50, 10–14. [Google Scholar]
- Dharmawan, W.; Diana, M.; Tuntari, B.; Astawa, I.M.; Rahardjo, S.; Nambo, H. Tsunami tide prediction in shallow water using recurrent neural networks: Model implementation in the Indonesia Tsunami early warning system. J. Reliab. Intell. Environ. 2023, 10, 117–195. [Google Scholar]
- Michael, A.P.; Yudi, A.; Wahyu, W.P.; Joko, W.; Andi, E.S. Introduction to Indonesian Cable-based Subsea Tsunameter. In Proceedings of the IEEE Underwater Technology (UT), Tokyo, Japan, 6 March 2023. [Google Scholar]
- Han, X.; Zack, J.S.; Jiaxuan, L.; Zhongwen, Z. Detect of earthquake infragravity and tsunami waves with underwater distributed acoustic sensing. Geophys. Res. Lett. 2024, 51, e2023GL106767. [Google Scholar]
- Bernard, E.; Meinig, C.; Titov, V.V.; Wei, Y. 50 Years of PMEL Tsunami Research and Development. Oceanography 2023, 36, 175–185. [Google Scholar] [CrossRef]
- National Research Council. Tsunami detection and forecasting In Tsunami Warning and Preparedness; National Academies Press: Washington, DC, USA, 2011; pp. 109–163. [Google Scholar]
- Eddie, B.; Vasily, T. Evolution of tsunami warning systems and products. Philos. Trans. R. Soc. A Math. Phys. Eng. Sci. 2015, 373, 20140371. [Google Scholar]
- Groupo Elcnor-Deimos. A Tsunami Space-Based Early Warning System. Available online: https://elecnor-deimos.com/tsunami-prevention-gnss-r/ (accessed on 5 October 2024).
- Eunju, L.; Taehwa, J.; Jichang, K.; Sungwon, S. A study of the optimal deployment of tsunami observation instruments in Korea. J. Ocean. Eng. Technol. 2019, 33, 607–614. [Google Scholar]
- Danielle, F.S.; Sara, K.M.; Christa, V.H.; Monica, D.K.; John, O.; Shuichi, K.; Kate, M.; Daniel, M.; Takane, H.; Elizabeth, V.; et al. Long-term ocean observing coupled with community engagement improves tsunami early warning. Oceanography 2021, 34, 70–77. [Google Scholar]
- Hobin, L.; Younghee, K. A dataset of seismic sensor responses of South Korea seismic stations. J. Geol. Soc. Korea 2020, 56, 515–524. [Google Scholar]
- Nils, M.; Paul, M.; Yoriy, V.Z. TDA-MAC: TDMA without clock synchronization in underwater acoustic networks. IEEE Access 2017, 6, 1091–1108. [Google Scholar]
- Rameez, A.; Milica, S. Reliable Communication Using Packet Coding for Underwater Acoustic Channels. In Proceedings of the IEEE 17th International Workshop on Signal Processing Advances in Wireless Communications (SPAWC), Edinburgh, UK, 3 July 2016. [Google Scholar]
- Abramson, N. The throughput of packet broadcasting channels. IEEE Trans. Commun. 1977, 25, 117–128. [Google Scholar] [CrossRef]
- Huseyin, U.Y.; Vehbi, C.G.; Bulet, T. Packet size optimization for lifetime maximization in underwater acoustic sensor networks. IEEE Trans. Ind. Inform. 2018, 15, 719–729. [Google Scholar]
- Stefano, B.; Chiara, P.; Roberto, P.; Milica, S. Choosing the Packet Size in Multi-hop Underwater Networks. In Proceedings of the OCEANS’10, Sydney, Australia, 24–27 May 2010. [Google Scholar]
- OMNet++. Available online: https://omnetpp.org/ (accessed on 26 October 2024).
- Narendra, M.M.; Savita, C. Comparative Study of Simulators for Vehicular Ad-hoc Networks (VANETs). Int. J. Emerg. Technol. Adv. Eng. 2014, 4, 528–537. [Google Scholar]
- Sohaib, M.; Mahak, M.; Hira, M.; Durr, E.A.; Muhammad, A.K. Which Simulator to Choose for Next Generation Wireless Network Simulations? NS-3 or OMNeT++. Eng. Proc. 2023, 46, 36. [Google Scholar] [CrossRef]
- Discovery of Sound in the Sea. The University of Rhode Island. Available online: https://dosits.org/science/movement/how-fast-does-sound-travel/ (accessed on 5 October 2024).
Disclaimer/Publisher’s Note: The statements, opinions and data contained in all publications are solely those of the individual author(s) and contributor(s) and not of MDPI and/or the editor(s). MDPI and/or the editor(s) disclaim responsibility for any injury to people or property resulting from any ideas, methods, instructions or products referred to in the content. |
© 2024 by the authors. Licensee MDPI, Basel, Switzerland. This article is an open access article distributed under the terms and conditions of the Creative Commons Attribution (CC BY) license (https://creativecommons.org/licenses/by/4.0/).