Abstract
As humans’ additional arms or legs, supernumerary robotic limbs (SRLs) have gained great application prospects in many fields. However, current SRLs lack both rigidity/flexibility adaptability and arm/leg function conversion. Inspired by the muscular hydrostat characteristics of octopus tentacles, fiber-reinforced actuators (FRAs) were employed to develop SRLs simultaneously realizing flexible operation and stable support. In this paper, an SRL with FRAs was designed and implemented. The analytic model of the FRA was established to formulate the movement trajectory and stiffness profile of the SRL. A hierarchical hidden Markov model (HHMM) was proposed to recognize the wearer’s motion intention and control the SRL to complete the specific working mode and motion type. Experiments were conducted to exhibit the feasibility and superiority of the proposed robot.
1. Introduction
Supernumerary robotic limbs (SRLs) are a new type of wearable robot to augment human movement capabilities and work as additional arms or legs []. SRLs have been widely applied in many scenarios, such as industrial manufacturing, medical rehabilitation, and daily life activities. SRLs were introduced to assist in aircraft assembly by guiding workers’ hands to hold a drill jig on the airplane surface []. SRLs were also used to brace wearers for cooperation in an uncomfortable posture, like completing overhead and near-ground tasks, so that the load on human muscles can be alleviated [,]. An SRL was treated as a third leg to assist wearers in walking with a fast and stable gait []. An SRL was used in operating various daily life activities []. Obviously, SRLs have successfully gained broad application prospects in various fields.
Current SRLs are mostly made up of rigid and heavy structures, which poses great threat on human wearing comfort and operation safety. The introduction of soft materials activated the development of flexible SRLs []. A Soft Poly-Limb was developed using modular pneumatic actuators to implement flexible motion in three-dimensional space []. In detail, each actuator extends axially when pressurized, and the contact interactions between the actuators induce a spatial bending motion of the SRL. Subsequently, an SRL comprising high-strength inflatable fabrics performed decent payload capacity in a grasping task [,]. Generally, flexible SRLs have the advantages of lightweight structure, high power-to-weight ratios, great adaptability to changing environment, and compliant human–robot interaction, which exactly compensates for the limitations of traditional rigid SRLs []. Although many advantages of flexible SRLs have been exhibited, the payload capacity is often insufficient in practical application. Also, due to the nonlinear characteristics and modeling complexity of soft materials, it is quite difficult to accurately control the flexible SRL, especially in such a human-in-the-loop system.
Basically, no matter what field the SRLs are applied to, their main functions can be divided into two categories, i.e., support and operation []. Nonetheless, existing SRLs are mostly designed for specific single scenarios. Also, SRLs can be assumed as additional arms or legs for human bodies; however, no specific SRL has been developed to be used for both upper and lower limb assistance thus far. Therefore, it is quite urgent that an SRL combining both support and operation functions for upper and lower limbs should be developed. A hybrid rigid–flexible SRL is expected to address the problem. Flexure robot joints driven by twisted string actuators were designed for SRLs, and their joint stiffness is variable, but their structure is still rigid and may collide with the human body []. A snake-shaped SRL comprising 25 degrees of freedom was developed to achieve adequately flexible motion. Nonetheless, its interaction effect with its environment is not sufficient to grasp objects or support ground, especially when heavy payload is exerted []. In this study, a hybrid rigid–flexible SRL was required to offer adequate operation and support capabilities.
Furthermore, the human–robot interaction control of SRLs is significant to ensure motion coordination and working efficiency. One key problem to be addressed is how to capture the wearer’s motion intention to command the SRL. Human motion intention can be represented in different forms, including posture, electromyogram (EMG), and electroencephalogram (EEG) signals. For example, the wearer’s foot and hand movement trajectories were used to manipulate MetaLimbs through building a motion mapping relationship []. The wearer’s motion intention can be estimated by capturing the EMG signals of chest and abdominal muscles, and then the SRL’s trajectory can be controlled without affecting the wearer’s natural limb activity []. Although EEG is the most direct method to command the SRL, which was achieved through grasping experiments, the detection accuracy and anti-disturbance still face great challenges []. Especially aiming to manipulating the proposed rigid–flexible SRL, the recognition of human motion intention is quite important to seamlessly transit the SRL between different working modes. A balance controller was proposed to regulate supporting force on the ceiling based on human–SRL coupled modeling and user posture feedback to keep balance during an overhead task []. Similarly, the overhead task process was modeled as a finite state machine with mapping different task states to the SRL’s actions, where the human motion data were collected to trigger the task state transition; hence, the SRL’s movement trajectory can be planned. Human–SRL interaction was facilitated with an adaptive admittance controller to handle different task states []. In these methods, the SRL’s movement trajectory and supporting force are individually planned in response to human intention, and only posture motion is included so that the estimation result cannot be diverse and instantaneous enough. A multi-modal learning and control framework was established by fusing human posture and EMG signals, and a Gaussian mixture model was built to estimate the wearer’s motion intention and control the SRL’s trajectory and grasping force []. Although this method is suitable to completing a certain task, its generalizability to multiple tasks still faces challenge. Hence, an intelligent algorithm is required to estimate human motion intention and map the human state to the SRL’s working mode, where the movement trajectory and stiffness profile of the SRL should be elaborately modulated to accommodate for specific tasks.
In this paper, a rigid–flexible SRL with FRAs was developed, and its working mode can be regulated according to the wearer’s motion intention. The main contribution of this paper is listed as follows:
- (1)
- A rigid–flexible SRL with FRAs was designed and implemented, and it can realize rigid support/flexible operation to function as the human arm or leg. The analytic model of the SRL was established to declare the relationship between the movement trajectory and stiffness profile and its input pressure.
- (2)
- The wearer’s motion intention was recognized from posture and EMG signals by constructing an HHMM, and the upper/lower limb working mode and specific motion type can be classified to control the SRL’s motion and stiffness.
- (3)
- The proposed method was experimentally validated with the robot prototype, and its superiority was compared with state-of-the-art methods.
The remainder of this paper is organized as follows. The design scheme of the SRL with FRAs is explained in Section 2. The analytic model of the SRL is formulated in Section 3. The human–SRL interaction control strategy is proposed in Section 4. The robotic system is then experimentally validated in Section 5. Finally, this paper is concluded in Section 6.
2. Robot Design and Implementation
In response to the requirement of simultaneously completing flexible operation and stable support, a rigid–flexible SRL was designed and implemented in this section.
In nature, octopus’ tentacles give us great inspiration in developing a rigid–flexible SRL. Basically, octopuses can use tentacles to complete multiple motions like extending, bending, and twisting, and, for example, prey are grasped by the tentacles with the flexible motion. On the other hand, octopuses can use their tentacles to support on the seabed with completing the human-like walking gait. Actually, the particular biological structure of the muscular hydrostat enables the octopus to complete complicated motions with the contraction/relaxation of transverse, longitudinal, and oblique muscle fibers, and the muscle strength can also be changed to realize rigidity–flexibility conversion []. Inspired by these characteristics, fiber-reinforced actuators were introduced to develop SRLs. Basically, FRAs have the merits of high strength, low density, rapid response, and large deformation amplitude [,]. By winding fibers and burying them in an elastic sealing cavity with different layout directions, the FRAs can achieve different deformations, such as extension, expansion, bending, and twisting, as well as a combination of the aforementioned deformations. In this regard, the SRL driven by FRAs can compensate for the length difference between the human upper and lower limbs through extending/expanding deformation; complex motion of the SRL in the three-dimensional activity space of the human limbs can be achieved by combining multiple FRA deformation modes. Therefore, the requirement of the SRL’s owning both upper and lower limb functions can be exactly met. Moreover, by regulating air pressure, FRAs can modify stiffness in different deformation directions, meeting the requirements of conversion between rigid support and flexible operation of the SRL.
Basically, a single FRA is composed of a fiber-wrapped elastic bladder, and different fiber wrapping configurations result in different deformation modes of the FRA, such as axial extension, radial expansion, bending, and circumferential twisting []. The FRA is manufactured with elastic materials and Kevlar fibers, and the detailed fabrication procedure has been introduced in previous studies [,]. Three FRAs were equipped in parallel to constitute one FRA segment, increasing the payload capacity. The three FRAs were interconnected with a 3D-printed connector. Three FRA segments were connected in series with connectors to form the SRL. It should be noticed that, inspired by the distribution of muscle fibers in octopus tentacles, a multi-level staircase-like structure of the FRAs was utilized, where the FRA segment near the human body is larger than the one at the distal part. In other words, the SRL consists of three FRA segments in series with decreasing outer diameters, and each FRA segment consists of three parallel FRAs that are evenly distributed. This design ensures that the SRL possesses adequate support strength and operational flexibility, enabling itself to demonstrate robust performance in conducting complex tasks. The overall structure of the SRL is illustrated in Figure 1a.


Figure 1.
Schematic view of SRL. (a) The SRL comprise multiple FRAs; (b) the SRL is worn on the human body.
At the connector of the distal FRA segment, a variety of end-effectors can be equipped to manipulate objects, such as a suction cup and gripper. Inertial measurement units (IMUs) are integrated into the connector to detect each FRA’s deformation configuration. The SRL’s overall posture can be obtained through each FRA’s position as well as the SRL kinematics, which will be detailed in the subsequent section. The SRL worn on the human body is shown in Figure 1b.
Human factor engineering was taken into consideration whilst designing the SRL. To realize both the arm and leg function, the initial length of the SRL was designed to match the average length of the human arm and leg. The SRL is placed on the wearer’s waist to be aligned with the body’s center of mass, thereby minimizing additional burden exerted on the torso. Also, the SRL is worn on the subject waist with soft textile belts whose area is relatively large to ensure reduced contacting pressure and comfortable wearing experience. The power and control units are embedded into a bag on the wearer’s back to decrease the payload on the human body. The SRL was worn on different subjects to complete ergonomic tests, and feedback was collected from participants in the form of questionnaires, which facilitates the optimization of the SRL design.
The soft hyper-redundant structure was inspired by octopus tentacles, and it is utilized to enable the SRL to complete continuous, flexible, and even complex movement trajectories in three-dimensional space. Also, the soft hyper-redundant structure can ensure safe human–robot interaction with compliant collision. One important potential application scenario of the SRL is aircraft assembly. For example, the SRL can support the human body to work in uncomfortable postures in confined spaces, such as under the aircraft wing and in the cabin. Also, the SRL can reach into aircraft engines and fuel tanks for detection.
3. Analytic Modeling
As the proposed SRL comprises multiple FRAs in series/parallel, it is essential to formulate the analytic model of the FRA. Based on this, the movement trajectory and stiffness profiles of the SRL can be calculated. In this section, the relationship between the SRL position/force and the influencing parameters is revealed.
Conceptually, each FRA can be conceptualized as a hollow cylinder of isotropic elastomer surrounded by a thin layer of anisotropic fiber reinforcement []. The FRA is characterized by an initial inner radius (), outer radius (), and length (), and the initial fiber orientation is denoted by , with representing the fiber angle. Upon inflation, the FRA undergoes diverse deformation, including extension, expansion, bending, and twisting, and the type of deformation depends on the fiber arrangements []. After deformation, the FRA manifests alterations in length (), inner radius (), outer radius (), and rotation of one endcap relative to another, denoted as twist angle (). Let the radial, circumferential, and longitudinal coordinates in the reference configuration be defined as , , and Z; in the pressurized configuration, any point in the FRA is transformed as , , and . The axial extension is denoted as , so . The radius transformation is formulated as . The twisting effect is expressed as . Because the bending actuator has a symmetric arrangement of fibers, no twisting takes place in the bending FRA, i.e., . A deformation gradient can be formulated as follows to describe the parameter change.
The stress stored in the FRA is correlated to its strain and material properties. The FRA primarily consists of two components: isotropic elastomer and anisotropic fiber. The elastomer, made from silicon rubber, is modeled as an incompressible Neo-Hookean (NH) material []. The strain energies for the elastomer and fiber reinforcement can be expressed as
where and are the strain energies for the elastomer and fiber reinforcement, respectively; and are the initial shear modulus for the elastomer and fiber, respectively; ; with . It should be noted that (2) and (3) are effective when one set of fibers is arranged at the same angle. If multiple sets of fibers are arranged, readers can refer to [] for modified formulation of the strain energy. In this study, the assumption is made that only one set of fibers is arranged symmetrically or asymmetrically in each FRA to realize the SLR’s multiple motions. Afterwards, the total strain energy for the FRA can be formulated as . Subsequently, Cauchy stress is used to express the magnitudes of differential stresses in the FRA in cylindrical coordinates, and the Cauchy stress of the FRA wall is illustrated in Figure 2.

Figure 2.
Stress distribution of FRA microelements.
Analogous to [], the relationship between the Cauchy stress σ, strain energy W, and deformation F can be formulated as
where the hydrostatic pressure variable p is a Lagrange multiplier arising from the incompressibility of the FRA wall [], and I is the identity matrix.
When a fixed pressure is input to the FRA, its stretch , twist , and new radii and are required to quantify the deformation. The radius can be determined by assuming the deformed FRA stresses satisfy a hydrostatic equilibrium as
Some assumptions are made as follows:
- (1)
- The FRAs are assumed to have uniform and incompressible material properties, and the stresses are uniform in the z direction and around the FRA wall.
- (2)
- The FRAs are made of symmetrical cylindrical elastomers with a circle cross-section.
- (3)
- When the fibers are arranged for extension, bending deformation is neglected once the FRA is inflated.
Consequently, none of the stresses vary in the or directions along the FRA wall, i.e., . Because of axial symmetry and uniform stretch, the first equation of (3) is rearranged as . The boundary conditions of are set as and , integrating which induces that
where
In this regard, the kinematics of the FRA with different deformation modes can be explained. Specifically, the FRA’s deformation parameters (, , , and ) are highly correlated to the FRA material properties ( and ), structure size (, , and ), and input pressure ().
Moreover, the force and moment of the FRA can be formulated with the FRA dimensions and strain energy, such as
The definition of and can be found in []. As the SRL is composed of segments with three parallel FRAs, the continuum structure of the SRL can be assumed as a Cosserat rod with general external forces and moments []. Assuming that the FRA segment has a homogeneous cross-section, and the FRAs are mounted evenly in parallel with both ends attached to the connector, a position vector is defined to describe the point where the ith FRA is attached ( in this study), and a unit vector is defined to express the direction of the associated FRA axis []. Therefore, the general external forces and moments of the SRL can be computed as
where and represent the force and moment matrices of the SRL, respectively; () means the axial force of each FRA in one segment; () means the moment of each FRA in one segment; () is defined as
By combing (3)–(7), the constitutive relationship between the SRL kinematics and the actuation force/moment can be derived. Accordingly, the stiffness of the SRL with FRAs in different directions can be elaborated as
where and are the stiffness coefficient matrices with “se” subscript denoting shear and extension and “bt” subscript denoting bending and twisting []; , where () denotes the axial stretch of each FRA in one segment; , where () denotes the moment of each FRA in one segment. The stiffness coefficients are computed after determining the position and the force/moment. It can be observed from Equations (7)–(12) that the stiffness coefficients ( and ) are highly correlated with the FRA material properties ( and ), structure size (, , , , and ), and input pressure (). In this study, once the FRA materials and structures are predetermined to implement the SRL, the stiffness is modulated by varying the input pressure.
To this end, the stiffness of the SRL in each direction can be obtained. It can be observed that the movement trajectory and stiffness profile are highly correlated with the FRA material, geometry, and input air pressure. In practical application of the SRL, once the FRAs have been implemented, the motion and stiffness can be changed by modulating the pressure to complete different tasks. By utilizing the proposed kinematic model and stiffness model, the required input pressure can be inversely computed according to the specific operation and support requirement, and the practical pressure can be controlled to track the desired one to manipulate the SRL.
4. Human–SRL Interaction Control
As a wearable device that closely interacts with the human body, human–robot interaction control of the SRL plays a pivotal role in determining operation coordination and efficiency. Accurate and real-time recognition of the wearer’s motion intention serves as a crucial prerequisite, particularly in specific daily life or industrial work scenarios. This section describes a hierarchical hidden Markov model (HHMM) which was constructed to recognize the human motion intention, which was then used to design the SRL’s controller.
Basically, the wearer’s posture serves as a fundamental indicator to express motion intention; however, predictive capability of posture signals cannot be exhibited, and the diversity mapping to the SRL’s motion is insufficient. Skin surface EMG signals offer a great solution to the abovementioned problems, but signal noise significantly affects detection accuracy. In this study, a combination of physical and biological information is leveraged to achieve human intention recognition with enhanced efficiency and accuracy. The combination of posture and EMG data can be completed with a Kalman filter []. Afterwards, a mixture of Gaussian models is utilized to construct the motion labels from posture and EMG data []. Specifically, by dispersing the combined data in an augmented multidimensional vector space, the motion phases represented by the Gaussian distributions can be constructed and labels can be generated automatically once the number of phases is set.
Furthermore, as the proposed SRL is expected to achieve both rigid support/flexible manipulation and upper/lower limb modes, the specific task operation should be elaborately distinguished. In this study, a hierarchical classification algorithm, i.e., HHMM, was proposed to recognize the human motion intention, and the appropriate movement trajectory and stiffness profiles of the SRL were selected. The motion and EMG data were collected from human subjects and input into the HHMM. The HHMM has two hierarchical layers. For the first layer, a hidden Markov model (HMM) is employed to categorize the working modes of the SRL into two classifications: upper limb mode and lower limb mode. At this layer, the SRL can be switched between the upper limb mode and lower limb mode by planning the movement trajectory of the SRL. Generally, the SRL is moved upward in the upper limb mode, and it is moved downward in the lower limb mode. For the second layer, each working mode is further subdivided into specific task operations, such as grasping, fetching, and supporting for the upper limb mode, and walking, standing, and squatting for the lower limb mode. At this layer, not only the movement trajectory but also the stiffness profile of the SRL is modulated. The human motion intention can be recognized with the proposed HHMM, and the specific magnitudes of the trajectories and stiffness can be calibrated according to the prescribed operation task through multiple training samples. The illustration of the HHMM is depicted in Figure 3.

Figure 3.
Schematic illustration of hierarchical segmentation of human motion intention and the corresponding SRL state.
The proposed HHMM adopts a tree structure comprising two layers for simultaneous inference of the working mode and task motion. Let us define a state of the HHMM as a random variable , where is the state index and k is the hierarchy index ( for the root layer, for the first layer that denotes the working mode, and for the second layer that denotes motion type). For simplicity, by omitting the state index, a state at the kth level is denoted as , i.e., for the root level, for the working mode level, and for the motion type level. The HHMM is characterized by the state transition probability between the internal states and the output distribution of the observations. The transition probability of an internal state is denoted as , which is the probability of making a horizontal transition from the mth state to the nth state and both of them are substates of . The initial probability (or vertical transition probability) is denoted as , which is the probability that the state initially activates the state . The observation probability is parameterized by the measurement of the motion and EMG signals, except that the terminal probability appears in the HHMM structure. When the terminal state is reached, the control returns to the parent state of the whole hierarchy, and the observation completes generations until the control returns to the root state. The illustration of the HHMM state transition is shown in Figure 4.

Figure 4.
Illustration of the HHMM state transition.
In the illustration of the HHMM, each HMM constitutes a hidden state at the first layer that embraces a subtree of hidden states at the second layer. The initial probability, transition probability, and observation probability yield Gaussian distributions in the HMM which are assigned to the vertical transition probability, horizontal transition probability, and observation distribution of the child subtree of the HHMM, respectively. The terminal probability is set as a uniform distribution, where all values are set a small positive scalar . After integrating all of the trained HMMs, the horizontal transition probability of the first layer, which means the probability of transition between the upper limb mode and lower limb mode, is assigned with a uniform distribution. In detail, the above probabilities among the hidden states and observations are formulated as follows.
where denotes the probability distribution; is the state of the (k − 1)th layer, and it is also the parent state of ; the parameter is introduced to represent the augmented measurement of both kinematic and EMG measurement, which are denoted as and , respectively, and means the measurement at the tth sample during the task motion labeling and formulated as . For each task motion in a sample, the mean and covariance of the kinematic and EMG data can be detected, i.e., and , where and denote the mean vector and covariance matrix, respectively. The motion types are represented by Gaussian distributions and can be automatically labeled once the number of motion types is determined. The mean and covariance of the Gaussian distribution are obtained by utilizing the expectation-maximization method []. Therefore, the true motion type label of the tth sample can be obtained, and it is generated by maximizing the distribution probability of the motion and EMG data, i.e.,
Subsequently, the probability distribution of both layers can be obtained. In detail, the initial probability of the first layer is written as
The transition probability and terminal probability of the first layer can be formulated within one matrix as
where denotes the terminal state at the first layer.
Similarly, the initial probability of the second layer is presented as
The transition probability and terminal probability of the second layer are integrated into one matrix as
After obtaining the probability distribution of each layer, the HHMM parameters can be derived as
For a given observation starting at timestep with window size , the HHMM parameters can be estimated with the generalized Baum–Welch algorithm []. Due to the computational burden of current methods, the probability evaluation for a given entire observation is relaxed as a trimmed observation from the current time step. In this case, the window size can be set sufficiently large so that the influence of the trimming can be significantly reduced. The estimation error of the HHMM can be expressed as
where and denote the estimation error for the first and second layer, respectively. The parameter denotes the parent state of . The symbol is a Kronecker delta function, which is defined as (if ) or (otherwise). The parameters and are the estimated state of the first and second layer with the current HHMM parameters, respectively. The optimization is satisfied and stopped when the estimation error achieves and , where and are the threshold values limiting the estimation errors for the first and second layer, respectively, and they are determined according to specific recognition accuracy requirements and can be further elaborately modulated through multiple experiments.
During the control procedure, the wearer’s motion type can be classified based on the motion and EMG signals. Each identified motion type is then mapped to a predefined movement trajectory and stiffness profile of the SRL, which were calibrated through multiple tests in advance. In response to a specific operation task, the SRL’s movement and payload can be modulated with previously proposed optimization algorithms []. The control signals are executed by the microcontroller in the wearer’s backpack. This means that no additional human manual control is required during task execution, and the SRL’s trajectory and stiffness remain unchanged during execution of the SRL. In future work, the movement trajectory and stiffness profile are expected to become real-time optimized to deal with changing tasks and dynamic environments.
The overall diagram for the human–SRL interaction control system is illustrated in Figure 5. When the wearer’s motion intention is recognized and classified through the proposed HHMM, the SRL is controlled to complete the prescribed motion. Each motion type is mapped to a certain movement trajectory through calibration tests. By utilizing the proposed kinematic model, the desired trajectory is transferred to each FRA’s input pressure to drive the SRL’s motion. The real-time position of the SRL is measured by the IMUs. A closed-loop PID controller is used to make the FRA track the desired pressure, so the prescribed movement trajectory can be accurately completed by the SRL.

Figure 5.
Overall diagram of the human–SRL interaction control system.
5. Experiments
In this section, the rigid–flexible SRL with FRAs was manufactured to validate the proposed method. The prototype of the SRL is shown in Figure 6. The power source of the FRA is provided by a miniature diaphragm pump, and the pressurized air is transmitted to the solenoid valves through pipes. Each FRA is connected to the pneumatic valves by vented screws. MOSFETs and switches are used to control the opening and closing of the solenoid valves. The input pressure of the FRAs is regulated by a microcontroller and potentiometers. Pressure sensors are equipped to detect the inflow information of the FRAs. All of the control components are integrated in a breadboard, and it is put into the backpack for the wearer. The overall weight of the SRL is approximately 2 kg, and its maximal load capacity is approximately 30 N. The working pressure of the SRL is below 100 kPa. The stiffness of the SRL approximately varies from 0 to 300 N/m. During the operation of the SRL, an interruption mechanism was introduced. When any abnormal motion of the SRL is detected by the wearer, the electrical emergence stop button is triggered to terminate the power of the pumps, valves, and controllers, so that the wearer’s safety can be guaranteed.


Figure 6.
SRL prototype experiment. (a) The SRL prototype with the control system and different end-effectors; (b) the SRL fetches a toy in the wearer’s hand; (c) the SRL moves a bottle with large workspace and high flexibility; (d) the SRL wraps a box and lifts it up.
In addition to the robotic system, multi-channel sensors were employed to capture human motion intention. IMUs were worn on the wearer’s upper and lower limbs to measure posture data, before which the IMUs were calibrated, including zero offset, scaling factor, and axis misalignment calibration, to reduce measurement errors. Furthermore, electrodes were attached to the skin surface of the human subjects to detect the EMG signals of the main functional muscles. During the collection process of the EMG signals, the hairs on the skin surface were removed, and medical alcohol was applied to avoid interference caused by sweat. The original EMG signals were sampled at 1024 Hz and band-pass-filtered from 10 Hz to 500 Hz. To avoid power frequency interference, a notch filter was applied at 50 Hz to ensure the stability of the EMG signals. To ensure the fairness and reliability of the experiment results, five healthy subjects participated in the tests.
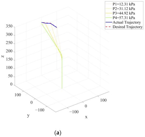
Firstly, pick-and-place experiments were designed to test the accuracy of the proposed kinematic model of the SRL. In detail, the SRL was worn on the human subject to reach a target object and move it to another assigned spot. A gripper was equipped at the SRL’s end-effector to complete the grasping task. A water bottle with a weight of 0.6 kg was set as the target object, and it was placed in different positions for multiple tests. Three tasks were prescribed for the SRL with different FRA configurations, including extension, expansion, bending, and twisting. For different groups of pick-and-place tasks, the FRA deformation modes, structure sizes, and fiber arrangements were differently planned. The target objects were also placed in different locations. The coordinate of the bottle with respect to the user body was decoded with vision trackers. After determining the positions of the SRL and target object, the deformed configuration of each FRA was calculated with the proposed kinematics, and the initial geometrical parameters and input pressure for each FRA could be optimized. Therefore, the desired trajectory of the SRL was planned with the kinematic model, and the actual movement trajectory of the SRL was controlled with the robot prototype. The position error between the target spot and the actual placing spot of the object was also measured. The pick-and-place experiments were tested with three different picking and placing positions. The trajectory tracking effect of the SRL is presented in Figure 7, and the terminal placing position error is also denoted. The root-mean-square-error and maximal error between the desired and actual trajectories were lower than 0.39 mm and 0.68 mm, respectively, verifying the adequate accuracy of the SRL system. The pick-and-place experiments were conducted multiple times. Assuming that the test is successful if the object is picked up and placed inside the target place (size: 0.05 m × 0.05 m), the success rate of the pick-and-place experiments was above 97.5%. In spite of the high success rate of the pick-and-place task, it needs to be admitted that when the SRL’s motion is relatively rapid or the obstacles’ positions are changed, the operation of the SRL may suffer from failure. The kinematic model will be improved in our future work in response to dynamic tasks and changing environments. The SRL is commanded in response to human intention; however, the human–SRL coupled dynamic model is omitted herein, and the accurate modeling of the human–SRL interaction effect will be further studied. Additionally, the trajectory controller will be enhanced to compensate for tracking errors through introducing an adaption law or constructing neural networks.


Figure 7.
Movement trajectory test of the SRL. (a) Pick-and-place task 1; (b) pick-and-place task 2; (c) pick-and-place task 3.
The average trajectory tracking errors for the three tasks are 0.12 mm, 0.36 mm, and 0.42 mm, respectively. It can be found that the proposed SRL can achieve satisfactory motion control performance. Currently, the SRL’s position is controlled by regulating the pressure of each FRA, and the position information is measured by the IMUs. In future work, other sensor systems, such as optical tracking of the SRL markers and liquid metal sensors embedded in the FRAs, will be explored to realize accurate and instantaneous closed-loop control of the SRL.
Afterwards, the stiffness of the SRL was measured to evaluate the rigidity–flexibility conversion capability. During the stiffness test, payloads with different weights were set at the distal end of the SRL, and the force and moment of the SRL were measured with load cells. Accordingly, the stiffness of the SRL could be calculated. On the other hand, given the certain air pressure, the SRL stiffness could also be derived based on the proposed analytic model. The trials were tested three times with each payload, and the collected data were averaged for accuracy. The results are illustrated in Figure 8. It can be observed that, even if the payload is different, the actual measured stiffness is highly consistent with the modeled one. The tracking error between the actual and modeled stiffness for the three tasks are 2.3 N/m, 7.6 N/m, and 3.1 N/m, respectively. The average deviation error of the stiffness regulation is less than 5 N/mm. For variation in the air pressure, the stiffness variation is larger than 300 N/m, which adequately accommodates for both flexible operation and stale support tasks. In this way, the motion complexity and payload capacity are exhibited, and the rigid–flexible conversion ability is effectively proved with the SRL. Therefore, the proposed SRL has decent performance on the regulation of the movement trajectories and stiffness profiles.

Figure 8.
Stiffness test of the SRL. (a) Stiffness regulation task 1; (b) stiffness regulation task 2; (c) stiffness regulation task 3.
Moreover, the control performance of the SRL according to the human motion intention was experimentally examined. Some daily life activities were selected in the test, including grasping, fetching, supporting, walking, standing, and squatting, and they were completed with participants to record motion and EMG data. For each motion type, data collection was repeated five times, and the data were trimmed manually for labeling. The human motion intention was recognized with the proposed HHMM, and the recognition result was compared with the ground true motion label that was observed during the SRL operation through multiple trials. It should be noted that the HHMM was trained with fifty human subjects for data sampling, and the trained HHMM was tested with the five participating subjects. The estimation error of each layer is about 1.3% for the first layer (working mode layer) and 6.2% for the second layer (motion type layer), respectively. After decoding the wearer’s motion intention, the SRL is controlled to complete the prescribed motion while regulating movement trajectories and stiffness profiles. The success rate of the SRL’s assisting wearers in completing the designed motion is over 96.8%. To manifest the advantage of the proposed HHMM, hierarchical segmentation of human motion intention was also conducted with other state-of-the-art algorithms, including support vector machine with radial basis function kernel (SVM-RBF) [], convolutional neural network (CNN) [], long short-term memory (LSTM) [], and hierarchical LSTM (HLSTM) []. These methods were compared in terms of human intention estimation error of both layers, number of training trials, and the effectiveness of regulating the SRL’s configuration. The number of training samples is treated as a criterion to evaluate the learning efficiency of the candidate methods. Among these methods, the training data sampling is stopped upon achieving the same prescribed recognition accuracy, i.e., the threshold values of the estimation errors are all set as and . A lower number of training samples denotes better learning efficiency. The comparison results are listed in Table 1. Obviously, the proposed HHMM outperforms other algorithms in recognition accuracy and learning efficiency. It is concluded that the proposed HHMM-based human–SRL interaction control strategy achieves the best performance among these candidate methods, and its superiority can be obviously exhibited.

Table 1.
Comparison results.
6. Conclusions
In this paper, a rigid–flexible supernumerary robotic arm/leg with FRAs was designed to realize both flexible operation and stable support. The analytic model of the SRL was constructed to declare the regulation law of the movement trajectory and stiffness profile. The wearer’s motion intention was recognized through an HHMM, and human–SRL interaction control was completed by selecting appropriate assistance for the specific working mode and motion type. Experiments were conducted to verify the effectiveness and superiority of the proposed system.
In future work, to improve the constructive solution of the SRL, an inextensible core will be embedded in the SRL to increase the achievable curvature, and the interconnection of the three FRAs in one segment will also be added to avoid the issue of exaggerated, singular bending of the FRAs. Additionally, the brain–computer interface will be explored in the SRL, so that the control signals will be performed with improved efficiency and accuracy. Also, other segmentation algorithms will be utilized to pursue more diverse and detailed classifications of human motion intention. Moreover, prospective studies will focus on the trajectory and stiffness optimization of the SRL according to environment variation.
Author Contributions
Conceptualization, J.X.; methodology, J.X.; software, M.Z. and T.Z.; validation, J.X., T.Z. and M.Z.; formal analysis, J.X.; investigation, J.X. and T.Z.; resources, J.X.; data curation, J.X.; writing—original draft preparation, J.X.; writing—review and editing, J.X.; visualization, J.X. and T.Z.; supervision, J.X. and A.J.; project administration, J.X. and A.J.; funding acquisition, J.X. All authors have read and agreed to the published version of the manuscript.
Funding
This research was funded by National Natural Science Foundation of China (52205018), Natural Science Foundation of Jiangsu Province (BK20220894), China Postdoctoral Science Foundation (2024M754124), State Key Laboratory of Robotics and Systems (HIT) (SKLRS-2023-KF-25), and State Key Laboratory of Robotics (2023-O16).
Institutional Review Board Statement
Ethical review and approval were waived for this study due to the reason that the proposed SRL is only worn by healthy human subjects and dose not contact any human body throughout the experiments. No risk exists when the human subject operates the SRL. The anonymity of the participants is also assured without leaking any personal data. The study has been granted exemption by the Institutional Review Board Statement of Nanjing University of Aeronautics and Astronautics.
Informed Consent Statement
Informed consent for participation was obtained from all subjects involved in the study.
Data Availability Statement
Data are contained within the article.
Conflicts of Interest
The authors declare no conflicts of interest.
References
- Tong, Y.; Liu, J. Review of research and development of supernumerary robotic limbs. IEEE/CAA J. Autom. Sin. 2021, 8, 929–952. [Google Scholar] [CrossRef]
- Parietti, F.; Asada, H.H. Supernumerary robotic limbs for aircraft fuselage assembly: Body stabilization and guidance by bracing. In Proceedings of the IEEE International Conference on Robotics and Automation, Hong Kong, China, 31 May–7 June 2014; pp. 1176–1183. [Google Scholar]
- Luo, J.; Gong, Z.; Su, Y.; Ruan, L.; Zhao, Y.; Asada, H.H.; Fu, C. Modeling and balance control of supernumerary robotic limb for overhead tasks. IEEE Robot. Autom. Lett. 2021, 6, 4125–4132. [Google Scholar] [CrossRef]
- Daniel, P.H.; Fu, C.; Asada, H.H. Musculoskeletal load analysis for the design and control of a wearable robot bracing the human body while crawling on a floor. IEEE Access 2021, 10, 6814–6829. [Google Scholar] [CrossRef]
- Khazoom, C.; Caillouette, P.; Girard, A.; Plante, J.S. A supernumerary robotic leg powered by magnetorheological actuators to assist human locomotion. IEEE Robot. Autom. Lett. 2020, 5, 5143–5150. [Google Scholar] [CrossRef]
- Véronneau, C.; Denis, J.; Lebel, L.P.; Denninger, M.; Blanchard, V.; Girard, A.; Plante, J.S. Multifunctional remotely actuated 3-dof supernumerary robotic arm based on magnetorheological clutches and hydrostatic transmission lines. IEEE Robot. Autom. Lett. 2020, 5, 2546–2553. [Google Scholar] [CrossRef]
- Polygerinos, P.; Correll, N.; Morin, S.A.; Mosadegh, B.; Onal, C.D.; Petersen, K.; Cianchetti, M.; Tolley, M.T. Shepherd. Soft robotics: Review of fluid-driven intrinsically soft devices; manufacturing, sensing, control, and applications in human-robot interaction. Adv. Eng. Mater. 2017, 19, 1700016. [Google Scholar] [CrossRef]
- Nguyen, P.H.; Sparks, C.; Nuthi, S.G.; Vale, N.M.; Polygerinos, P. Soft poly-limbs: Toward a new paradigm of mobile manipulation for daily living tasks. Soft Robot. 2019, 6, 38–53. [Google Scholar] [CrossRef]
- Nguyen, P.H.; Mohd, I.B.I.; Sparks, C.; Arellano, F.L.; Zhang, W.; Polygerinos, P. Fabric soft poly-limbs for physical assistance of daily living tasks. In Proceedings of the IEEE International Conference on Robotics and Automation, Montreal, QC, Canada, 20–24 May 2019; pp. 8429–8435. [Google Scholar]
- Liang, X.; Cheong, H.; Sun, Y.; Guo, J.; Chui, C.K.; Yeow, C.-H. Design, characterization, and implementation of a two-DOF fabric-based soft robotic arm. IEEE Robot. Autom. Lett. 2018, 3, 2702–2709. [Google Scholar] [CrossRef]
- Jing, H.; Zhu, Y.; Zhao, S.; Zhang, Q.; Zhao, J. Research status and development trend of supernumerary robotic limbs. J. Mech. Eng. 2020, 56, 1–9. [Google Scholar]
- Hasanen, B.; Suthar, B.; Zweiri, Y.; Seneviratne, L.; Hussain, I. Design of twisted string actuated flexure joint for supernumerary robotic arm for bi-manual tasks. IEEE Sens. 2024, 1. [Google Scholar] [CrossRef]
- Al-Sada, M.; Höglund, T.; Khamis, M.; Urbani, J.; Nakajima, T. Orochi: Investigating requirements and expectations for multipurpose daily used supernumerary robotic limbs. In Proceedings of the 10th Augmented Human International Conference, Reims, France, 11–12 March 2019; pp. 1–9. [Google Scholar]
- Sasaki, T.; Saraiji, M.Y.; Fernando, C.L.; Minamizawa, K.; Inami, M. MetaLimbs: Multiple arms interaction metamorphism. In ACM SIGGRAPH Emerging Technologies; Association for Computing Machinery: New York, NY, USA, 2017; pp. 1–2. [Google Scholar]
- Parietti, F.; Asada, H.H. Independent, voluntary control of extra robotic limbs. In Proceedings of the IEEE International Conference on Robotics and Automation, Singapore, 29 May–3 June 2017; pp. 5954–5961. [Google Scholar]
- Penaloza, C.I.; Nishio, S. BMI control of a third arm for multitasking. Sci. Robot. 2018, 3, eaat1228. [Google Scholar] [CrossRef] [PubMed]
- Tu, Z.; Fang, Y.; Leng, Y.; Fu, C. Taks-based human-robot collaboration control of supernumerary robotic limbs for overhead tasks. IEEE Robot. Autom. Lett. 2023, 8, 4505–4512. [Google Scholar] [CrossRef]
- Du, Y.; Amor, H.B.; Jin, J.; Wang, Q.; Ajoudani, A. Learning-based multimodal control for a supernumerary robotic system in human-robot collaborative soring. IEEE Robot. Autom. Lett. 2024, 9, 3435–3442. [Google Scholar] [CrossRef]
- Kier, W.M.; Stella, M.P. The arrangement and function of octopus arm musculature and connective tissue. J. Morphol. 2007, 268, 831–843. [Google Scholar] [CrossRef]
- Polygerinos, P.; Wang, Z.; Overvelde, J.T.B.; Galloway, K.C.; Wood, R.J.; Bertoldi, K.; Walsh, C.J. Modeling of soft fiber-reinforced bending actuators. IEEE Trans. Robot. 2015, 31, 778–789. [Google Scholar] [CrossRef]
- Connolly, F.; Polygerinos, P.; Walsh, C.J.; Bertoldi, K. Mechanical programming of soft actuators by varying fiber angle. Soft Robot. 2015, 2, 26–32. [Google Scholar] [CrossRef]
- Xu, J.; Zhang, T.; Huang, K.; Zhao, M.; Hou, X.; Li, Y. A soft supernumerary robotic limb with fiber-reinforced actuators. J. Intell. Robot. Syst. 2024, 110, 71. [Google Scholar] [CrossRef]
- Xu, J.; Zhang, T.; Huang, K.; Cao, K.; Ji, A.; Xu, L. Optimal design and implementation of a bioinspired soft supernumerary robotic limb. Robot 2024, 46, 147–157. [Google Scholar]
- Ogden, R.W. Non-Linear Elastic Deformations; Courier Corporation: Chelmsford, MA, USA, 1997. [Google Scholar]
- Connolly, F.; Walsh, C.J.; Bertoldi, K. Automatic design of fiber-reinforced soft actuators for trajectory matching. Proc. Natl. Acad. Sci. USA 2017, 114, 51–56. [Google Scholar] [CrossRef] [PubMed]
- Sedal, A.; Bruder, D.; Bishop-Moser, J.; Vasudevan, R.; Kota, S. A continuum model for fiber-reinforced soft robot actuators. J. Mech. Robot. 2018, 10, 024501. [Google Scholar] [CrossRef]
- Antman, S.S. Nonlinear Problems of Elasticity; Springer: Berlin/Heidelberg, Germany, 2005. [Google Scholar]
- Bruder, D.; Sedal, A.; Vasudevan, R.; Remy, C.D. Force generation by parallel combinations of fiber-reinforced fluid-driven actuators. IEEE Robot. Autom. Lett. 2018, 3, 3999–4006. [Google Scholar] [CrossRef]
- Hanza, S.P.; Ghafarirad, H. Mechanics of fiber-reinforced soft manipulators based on inhomogeneous Cosserat rod theory. Mech. Adv. Mater. Struct. 2024, 31, 3161–3173. [Google Scholar] [CrossRef]
- Li, N.; Yang, Y.; Li, G.; Yang, T.; Wang, Y.; Chen, W.; Yu, P.; Xue, X.; Zhang, C.; Wang, W.; et al. Multi-sensor fusion-based mirror adaptive assist-as-needed control strategy of a soft exoskeleton for upper limb rehabilitation. IEEE Trans. Autom. Sci. Eng. 2022, 21, 475–487. [Google Scholar] [CrossRef]
- Park, S.; Lee, D.; Chung, W.K.; Kim, K. Hierarchical motion segmentation through sEMG for continuous lower limb motions. IEEE Robot. Autom. Lett. 2019, 4, 4402–4409. [Google Scholar] [CrossRef]
- Park, S.; Chung, W.K. Autonomous segmentation of motion primitive including muscular activation using variational bayesian mixture of gaussian. In Proceedings of the IEEE International Conference on Ubiquitous Robots and Ambient Intelligence, Jeju, Republic of Korea, 30 October–2 November 2013; pp. 5–9. [Google Scholar]
- Fine, S.; Singer, Y.; Tishby, N. The hierarchical hidden Markov model: Analysis and applications. Mach. Learn. 1998, 32, 41–62. [Google Scholar] [CrossRef]
- Ding, X.; Liu, J.; Yang, F.; Cao, J. Random radial basis function kernel-based support vector machine. J. Frankl. Inst. 2021, 358, 10121–10140. [Google Scholar] [CrossRef]
- Geng, W.; Du, Y.; Jin, W.; Wei, W.; Hu, Y.; Li, J. Gesture recognition by instantaneous surface EMG images. Sci. Rep. 2016, 6, 36571. [Google Scholar] [CrossRef]
- Chaudhry, R.; Ofli, F.; Kurillo, G.; Bajcsy, R.; Vidal, R. Bio-inspired dynamic 3d discriminative skeletal features for human action recognition. In Proceedings of the IEEE Conference on Computer Vision and Pattern Recognition Workshops, Portland, OR, USA, 23–28 June 2013; pp. 471–478. [Google Scholar]
- Wang, L.K.; Liu, R.Y. Human activity recognition based on wearable sensor using hierarchical deep LSTM networks. Circuits Syst. Signal Process. 2020, 39, 837–856. [Google Scholar] [CrossRef]
Disclaimer/Publisher’s Note: The statements, opinions and data contained in all publications are solely those of the individual author(s) and contributor(s) and not of MDPI and/or the editor(s). MDPI and/or the editor(s) disclaim responsibility for any injury to people or property resulting from any ideas, methods, instructions or products referred to in the content. |
© 2024 by the authors. Licensee MDPI, Basel, Switzerland. This article is an open access article distributed under the terms and conditions of the Creative Commons Attribution (CC BY) license (https://creativecommons.org/licenses/by/4.0/).