Next Article in Journal
Adaptive Deep Ant Colony Optimization–Asymmetric Strategy Network Twin Delayed Deep Deterministic Policy Gradient Algorithm: Path Planning for Mobile Robots in Dynamic Environments
Next Article in Special Issue
Multiloss Joint Gradient Control Knowledge Distillation for Image Classification
Previous Article in Journal
Improving Recognition of Road Users via Doppler Radar Data and Deep Learning Convolutional Networks
Previous Article in Special Issue
A Bayesian-Attack-Graph-Based Security Assessment Method for Power Systems
 
 
Font Type:
Arial Georgia Verdana
Font Size:
Aa Aa Aa
Line Spacing:
Column Width:
Background:
Article

UDIS: Enhancing Collaborative Filtering with Fusion of Dimensionality Reduction and Semantic Similarity

1
School of Computer Science, University of Windsor, Windsor, ON N9B-3P4, Canada
2
Computer Engineering Department, Shomal University, Amol 4616184596, Iran
*
Author to whom correspondence should be addressed.
Electronics 2024, 13(20), 4073; https://doi.org/10.3390/electronics13204073
Submission received: 24 August 2024 / Revised: 12 October 2024 / Accepted: 15 October 2024 / Published: 16 October 2024
(This article belongs to the Special Issue Knowledge Information Extraction Research)

Abstract

In the era of vast information, individuals are immersed in choices when purchasing goods and services. Recommender systems (RS) have emerged as vital tools to navigate these excess options. However, these systems encounter challenges like data sparsity, impairing their effectiveness. This paper proposes a novel approach to address this issue and enhance RS performance. By integrating user demographic data, singular value decomposition (SVD) clustering, and semantic similarity in collaborative filtering (CF), we introduce the UDIS method. This method amalgamates four prediction types—user-based CF (U), demographic-similarity-based (D), item-based CF (I), and semantic-similarity-based (S). UDIS generates separate predictions for each category and evaluates four different merging techniques—the average, max, weighted sum, and Shambour methods—to integrate these predictions. Among these, the average method proved most effective, offering a balanced approach that significantly improved precision and accuracy on the MovieLens dataset compared to alternative methods.

1. Introduction

In today’s digital age, where choices are abundant, recommender systems (RS) serve as vital tools to help individuals navigate the overwhelming array of options. Individuals encounter a multitude of choices daily, with an extensive range of options available. The vast volume of information presents a significant challenge in selecting preferred goods and services, often complicating decision-making. Recommender systems (RS) are employed to aid in these decisions. These systems have been extensively utilized since the 1990s to automate providing personalized goods and service offers. As a personalization technology for information filtering, RS predict the likelihood of a user finding a specific information object useful and identify the N objects of most significant interest to that user [1].
Collaborative filtering (CF) has emerged as one of the most widely used techniques in developing RS, owing to its ability to generate personalized recommendations [1]. In CF, the user–item rating domain is represented in a vector space. However, these vectors are often very high-dimensional and contain redundancy. The inefficiency of CF algorithms in large, distributed databases has prompted researchers to explore dimensionality reduction techniques. A significant challenge in CF RS is data sparsity, because most users are only interested in and rate a limited subset of items. Consequently, user–item matrices contain many empty values. To address this issue, many researchers have employed dimensionality reduction techniques, primarily based on Matrix Factorization (MF) [2].
SVD is a key dimensionality reduction tool that decomposes large, sparse user–item matrices into smaller, interpretable components, enhancing RS efficiency by uncovering latent structures [3]. While SVD can significantly improve recommendation accuracy, it often involves high computational costs. However, when applied to datasets like movie ratings, SVD-based CF methods can outperform other approaches, making them a valuable asset in addressing data sparsity issues [4].
Research indicates that clustering methods yield effective results in CF. Clustering algorithms are employed in RS to identify groups of users with similar characteristics. Fuzzy C-means (FCM) [5] is a widely used clustering technique in which data points can belong to more than one cluster. This differs from traditional non-fuzzy (or hard) clustering methods, where data are separated into distinct clusters, with each data point belonging to only one cluster. In this fuzzy method, the degree of belonging of each element in each cluster is determined by membership coefficients between 0 and 1, and their sum for one element is one. FCM clusters m data points, Z = { Z 1 ,   , Z m } , into a group of n clusters, N = { N 1 ,   , N n } [6,7].
Item-based algorithms in CF address scalability challenges found in user-based models. These algorithms generate predictions by utilizing item similarities and various knowledge sources, including semantic structural information about the items. The system can infer a user’s interest in exploring specific item sets by integrating semantic similarities with those based on ratings or usage. Additionally, leveraging semantic similarities enables the system to provide reasonable recommendations even when information is sparse or items are unrated [8].
As previously discussed, SVD, FCM clustering, and semantic techniques have individually demonstrated promising results in various aspects of CF. Each of these methods addresses specific weaknesses in CF algorithms, leading us to explore alternative approaches for RS. To overcome these deficiencies, we investigated whether combining these methods could enhance the performance of RS. We integrated user demographic information, item semantic similarity, and SVD within an FCM clustering framework to generate more accurate recommendations. The primary objectives of this paper are outlined as follows:
-
Integrate user demographic information, semantic similarity, and SVD methods within an FCM clustering framework to enhance the RS and provide appropriate recommendations.
-
Reduce the sparsity problem by using SVD to improve the accuracy and precision of the generated predictions.
-
Suggest items to users based on their characteristics by employing demographic-similarity-based predictions.
-
Explore approaches for integrating user-based and item-based predictions.
The remainder of the paper is organized as follows: Section 2 offers a review of the literature on previous research into related studies. Section 3 presents the novel approach proposed in this study. Section 4 presents the experimental data and methodologies employed. Finally, Section 5 outlines the study’s conclusions.
The UDIS methodology enhances recommendation accuracy and precision by integrating collaborative filtering (CF), singular value decomposition (SVD), fuzzy C-means (FCM) clustering, and semantic similarity. This multimodal approach addresses data sparsity and supports scalable recommendation systems through dimensionality reduction. By incorporating demographic and semantic data, UDIS provides personalized recommendations, making it suitable for diverse user contexts.
However, UDIS has certain limitations. It currently uses only basic demographic features (age and gender), which may limit personalization. Additionally, its semantic analysis is restricted to genre-based attributes, which may not fully capture item nuances. While flexible, the linear combination of predictions may not reveal complex relationships that advanced methods could uncover. Finally, UDIS’s effectiveness can vary depending on the chosen clustering method, suggesting a need for further optimization for specific applications.

2. Background

The following introduces the key components of the proposed approach: CF, FCM clustering, SVD, semantic approach, and demographic information.

2.1. Collaborative Filtering

CF is widely adopted in RS, as it efficiently generates personalized recommendations using similar users’ preferences. CF predictions are derived from the data of neighbors of the target user or item. CF encompasses two primary methods: user-based and item-based [7,9].
In user-based CF, the predicted rating of an item is determined by the preferences of similar users, i.e., users who have rated similar items. The following formula is used in user-based CF prediction.
p z , a = r ¯ z + [ u = 1 g ( r z   , a r ¯ z   ) × s i m ( z   , z ) z = 1 g s i m ( z   , z ) ]
where p u , x is the predicted rating of item a by user z, r ¯ z is the average of all ratings given by user z to all items, z is the neighbor user of user z, r z , a is the rating given by user z to item a, r ¯ z is the average of all ratings given by user z to all items, g is the number of selected neighbors, and s i m ( z   ,   z ) is the similarity between user z and user   z .
In contrast, item-based CF predicts ratings based on the similarity between items rather than users. The following formula is used in item-based CF prediction.
p z , a = r ¯ a + [ b = 1 g ( r z , b r ¯ b   ) × s i m ( a   ,   b ) b = 1 g s i m ( a   ,   b ) ]
where p z , a is the predicted rating of test item a by test user z, r ¯ a   is the average of all ratings of item a, b is the neighbor item of item a, r z , b is the rating given by user z to item b, r ¯ b is the average of all ratings given to item b, g is the number of selected neighbors, and s i m ( a ,   b ) is the similarity between item a and item b [10].

2.2. Demographic Recommendation Systems

Demographic RS analyze user characteristics, such as age, gender, language, and location, to provide personalized recommendations. These systems operate on the assumption that individuals with different demographic profiles tend to have distinct preferences. As a result, they recommend items to users based on demographic similarities. Also, demographic information is used to identify users who like a particular product. This approach describes the connection between an item and the type of users who want that item. Unlike conventional CF, this approach is beneficial because it does not require prior user ratings. Instead, it classifies users based on personal characteristics and makes recommendations accordingly.

2.3. Semantic Similarities

Today, semantic measures are widely employed to compare the meanings or relatedness of items rather than relying solely on user interactions or ratings. Semantic knowledge encompasses various aspects. Take the example of oranges: we understand them as citrus fruits, recognize their characteristic orange color, and acknowledge their high vitamin C content. This multifaceted understanding constitutes our knowledge about the concept of oranges. However, studies on semantic knowledge frequently rely on singular sources of information, such as word associations or textual distribution within extensive corpora. Yet, it is improbable that these diverse sources of information uniformly correlate with all aspects of semantic knowledge. In general, assessing the degree of semantic similarity between semantic entities is a semantic measure and is expressed as a numerical value [11].

2.4. The Jaccard Binary Similarity Coefficient

The Jaccuard binary similarity coefficient is utilized to evaluate the similarity between the two sample sets, and it is equal to the intersection of the two sets divided by their union. If we have two binary vectors, X and Y, we apply Formula (3) to calculate their Jaccuard similarity. In this formula, H 1 , 0 is the number of all attributes X has, but Y does not. H 0 , 1 is the number of all attributes that X does not have but Y has, and, H 1 , 1 is the number of attributes that both X and Y have [12,13].
J a c q u a r d   ( X , Y ) = | X Y | | X Y | = H 1 , 1 H 0 , 1 + H 1 , 0 + H 1 , 1
The Jaccard similarity is particularly useful when working with binary vectors, as it allows us to focus on the presence or absence of features rather than the magnitude of values.

2.5. Singular Value Decomposition in RS

The SVD method can be utilized to estimate missing data. For instance, [14] employs SVD outcomes to populate vacant ratings and utilizes item-based CF to forecast ratings for unrated items, addressing the challenges of accuracy, scalability, and data sparsity. Similarly, the model proposed in [15] employs SVD smoothing within CF to alleviate data sparsity issues. SVD effectively generates recommendations by decomposing a user–item matrix into lower-dimensional matrices, which helps uncover latent relationships between users and items.
The SVD technique has been shown to enhance the performance of existing filtering algorithms. For example, in [4], a hybrid CF algorithm incorporating SVD and k-means clustering was introduced to improve recommendation accuracy while addressing scalability and cold-start issues. This approach clusters similar users, reduces dimensions, and identifies the most similar users to improve RS performance and address issues like sparsity, cold starts, and scalability.
Similarly, [16] optimized an item-based hybrid CF model for privacy preservation and high performance. This method uses SVD to optimize the number of neighbors used in the recommendation process, ensuring an appropriate balance between accuracy and privacy.
Additionally, [17] conducted a comparison of three MF algorithms—SVD, SVD++ (singular value decomposition plus), and NMF (Nonnegative Matrix Factorization)—for restaurant recommendation tasks. The study shows that SVD achieves the lowest Root Mean Square Error (RMSE), while SVD++ achieves the lowest Mean Absolute Error (MAE), reinforcing SVD’s effectiveness in recommendation tasks.

2.6. Demographic Information in RS

Utilizing the SVD method for data beyond the conventional user–item rankings can yield significant effectiveness. In [18], SVD is applied to reduce the dimensionality of either the user–item matrix or the demographic matrix, leveraging the complementary information found in demographic data. The study demonstrated that SVD could be seamlessly integrated and amalgamated with filtering methods by utilizing existing demographic data.
Clustering users based on demographic information helps define neighborhood ranges, which can be used to predict ratings. Predictions derived from demographic data are often integrated with other prediction sources in these methods. For instance, [19] incorporated demographics and transactional and genre information, calculating user or item similarities to obtain three types of predictions, which were then combined using a weighted approach to mitigate challenges like new items or user cold starts.
Similarly, [20] utilized user ratings, item details (e.g., genre), and demographic data, employing biased MF on an extended rating matrix for prediction. Moreover, [21] merged collaborative, content-based, and demographic filtering in financial planning, leveraging TF-IDF and Markov chains to enhance recommendation quality. Pereira and Varma [22] combined demographic filtering with collaborative and content-based methods to suggest doctors to patients, employing an adaptive algorithm to establish a doctor rating function. In [23], the semantic similarity between users and items is calculated based on their profiles linked to an ontology to predict unknown values in the original matrix. Furthermore, [24] introduced a switching-based hybrid model, combining collaborative and content- and demographic-based approaches for book recommendations. This model adjusts between a weighted combination model and demographic information utilization depending on user type to effectively address the cold start issue.

2.7. Fuzzy C-Means Clustering in RS

FCM clustering is a prevalent clustering technique [5]. In methods such as those in [6] and [25], FCM is integrated with other optimization algorithms to enhance recommendation systems. For example, [25] combines FCM with a genetic algorithm, where users are clustered based on item rating data, and the genetic algorithm is then used to compute similarity functions for recommendations.
Conversely, in [6], FCM is paired with bat optimization to address scalability issues in collaborative RS. This approach clusters users with FCM and uses the bat algorithm to refine the cluster centers, optimizing the recommendation process. Similarly, in [25], FCM is utilized for user classification based on ratings, while the gray wolf optimization is employed to identify initial clusters and reduce features. In [26], FCM clustering and supervised learning models are proposed to tackle the cold-start problem. In this method, FCM clustering is utilized to construct user and item membership vectors, aiming to enhance algorithm performance and mitigate the impact of data sparsity.

2.8. Item-Based and User-Based RS

In the method outlined in [27], user clustering and item clustering are combined to address scalability and sparsity challenges in CF RS. The k-means algorithm is used for both user and item clustering, which helps reduce the dimensionality of the user–item matrix, making it denser and more manageable for prediction tasks. User clustering is employed to estimate missing values in the user–item matrix, thereby improving the accuracy of predictions.
Similarly, [28] proposes an approach where user clustering is performed in the preprocessing stage. This method initially reduces data sparsity by using case-based reasoning and average filling, and it then applies clustering techniques like the Self-Organizing Map (SOM) optimized by a genetic algorithm (GA) to further refine the prediction process. This method effectively addresses scalability issues by narrowing the scope of item-based CF to the most relevant cluster.
In [29], a multi-criteria CF RS method is introduced to enhance prediction accuracy and alleviate sparsity issues. This system integrates an item-based ontological semantic filter with user-based demographic information to create a hybrid model, leading to more precise recommendations using multiple data sources.
Similarly, the authors of [3] employ a movie ontology for items in their proposed method. However, their approach differs. In [3], item and user clustering are initially performed using the Expectation-Maximization (EM) algorithm, followed by the application of SVD to each cluster. This method leverages item-based and user-based similarities based on SVD and item semantic similarity derived from the movie ontology.
The model outlined in [9] diverges significantly from other methods, exploring various techniques to merge user-based and item-based CF predictions to minimize prediction errors. This includes combining Support Vector Regression (SVR) and Multiple Linear Regression (MLR) to demonstrate the superiority of merging methods over single-technique approaches.
Conversely, [30] introduces a modified CF method that integrates user-based and item-based CF. This method accounts for positive and negative correlations among neighbors, using a weighting mechanism to optimize the balance between user- and item-based predictions.

2.9. Trustworthy Neighbors for CF RS

The primary objective of RS is to help users efficiently navigate extensive product selections to find relevant items. However, recent years have seen an increased focus on the potential hazards these systems face, such as malicious attacks, excessive noise, and bias, leading researchers to recognize that accuracy alone is insufficient for a reliable recommendation system. As a result, there has been a shift from accuracy-centric systems to the development of trust-based RS (TRS) [10,31,32,33].
In the research conducted in [34], the authors argue that traditional user similarity calculations are insufficient for selecting trustworthy neighbors in CF, leading to suboptimal recommendations. To address this issue, they propose a two-layer neighbor selection model for CF to enhance recommendation accuracy. Users are chosen based on influence and trustworthiness to recommend to the target user.
Similarly, [35] leverages user social trust information and implicit feedback to alleviate sparsity in tensor factorization for context-aware RS. By incorporating trust into the recommendation process, this method has outperformed traditional techniques like BiasTF in terms of accuracy.
Furthermore, [36] investigates the trust levels between pairs of social network users using factorization matrices. This approach allows for calculating both positive and negative trust scores, providing a more nuanced understanding of user relationships. The results show the effectiveness of using trust in real-world recommendation scenarios, highlighting its importance in building robust RS.

3. Proposed Method

In this paper, we leverage user demographic information alongside SVD in clustering and semantic similarity within CF to enrich the RS, thus offering tailored user recommendations. As a result, we introduce the UDIS method, aimed at bolstering the performance of the RS and crafting suitable recommendations. This method integrates four prediction types: user-based CF prediction (U), demographic-similarity-based prediction (D), item-based CF prediction (I), and semantic-similarity-based prediction (S). This approach combines these techniques in a structured manner to leverage their strengths, ultimately improving the recommendation accuracy and user experience. The UDIS method framework is depicted in Figure 1; a detailed elaboration is provided in the following sections.
1. Preprocess the dataset to obtain the user–item matrix.
The dataset used in this study is initially preprocessed to construct a user–item matrix, where each entry represents a user’s rating for an item.
2. Apply the FCM clustering algorithm to the user–item matrix, considering both users and items.
Given this matrix’s sparse nature, clustering is essential to reduce dimensionality and identify patterns. The FCM clustering algorithm is employed, enabling data points to belong to multiple clusters with varying degrees of membership. FCM was chosen over traditional clustering methods, such as k-means, due to its flexibility in handling the fuzzy boundaries often present in user preference data.
For each cluster generated by FCM, an SVD-based similarity matrix is calculated, allowing for dimensionality reduction and the identification of latent user preferences and item features.
3. Utilize SVD for dimensionality reduction within each cluster, generating similarity matrices based on SVD parameters for each cluster.
SVD is applied to the clustered data to address sparsity and improve computational efficiency. SVD decomposes the user–item matrix into three matrices, allowing us to represent users and items in a reduced dimensional space. This not only captures the latent structure in the data but also improves scalability. For instance, in a cluster where users’ item ratings are missing, SVD approximates these missing values based on existing data, which is critical for enhancing recommendation quality.
4. Construct a user similarity matrix using demographic information.
We calculate demographic similarity by using the cosine similarity metric to incorporate demographic information into the recommendation process. Each user is represented by a binary vector that includes demographic attributes such as age and gender. These vectors are then compared using cosine similarity to generate a demographic similarity matrix. By including demographic data, the model can tailor recommendations to align more closely with users’ intrinsic characteristics, leading to more personalized suggestions.
For example, users within the same age group or with similar interests are likely to have correlated preferences, which can be used to recommend items more effectively.
5. Calculate item similarity based on semantic similarity derived from movie genres.
Items are represented by a set of features indicating their semantic properties. This study uses the Jaccard similarity coefficient to measure the semantic similarity between items based on their genre attributes. Each item is represented as a binary vector where the presence or absence of a genre is marked. The Jaccard coefficient then calculates the similarity between any two items, creating an item similarity matrix based on semantic attributes. This process allows the system to make informed predictions even when users have not rated certain items.
6. Utilize the semantic similarity, SVD-based similarity, and user demographic similarity matrices to determine neighborhood ranges for users and items, facilitating recommendation calculation.
After calculating the user-based, item-based, demographic, and semantic predictions, we merge them to generate a comprehensive recommendation. We explored four merging techniques:
The Shambour Method: This rule-based approach selects predictions based on specific conditions, offering a structured integration based on the availability of certain prediction types.
The Average Method: This method calculates the average of all predictions, which was ultimately selected as the primary merging technique due to its simplicity and robust performance.
The Max Method: This approach chooses the highest prediction value among the four sources, providing a conservative estimate emphasizing the strongest recommendation.
The Weighted Sum Method: Here, predictions are combined with adjustable weights, allowing for prioritization based on prediction confidence.
7. Generate four distinct predictions and merge them into a final prediction. Evaluate the four merging methods and select the most effective one.
8. Compare the obtained results with other similar methods for performance assessment.

3.1. Semantic Similarity

To calculate the semantic similarity between items, we consider each item a binary vector   F = (   f a , 1   ,   f a , 2   ,     ,   f a , m ) . Each binary variable f a , p is a movie genre, and a value of one is obtained if the item belongs to category p, and a value of zero is obtained if it does not belong to category p. Each movie can have different genres simultaneously. There are 19 genres: unknown, film-noir, action, drama, adventure, children, comedy, fantasy, crime, documentary, horror, musical, mystery, animation, romance, trailer, sci-fi, and Western. After creating the binary vector for each item, the semantic similarity between items ‘a’ and ‘b’ is calculated using the Jaccard binary similarity coefficient. In the end, an item–item semantic matrix containing the semantic similarity of all items is obtained. This similarity ranges from 0 to 1. Zero means two items are not similar, and one means two are completely similar.

3.2. Demographic Similarity

To calculate similar users based on the demographic approach, we employ the cosine similarity coefficient. This calculation begins by creating a binary vector to represent the demographic information of each user. Each element of this vector is assigned a value of either zero or one based on the user’s demographic characteristics. Specifically, the vector comprises elements for gender and age. For gender, which is stored as character data, we convert it to integer data. Here, males are represented by a zero, while females are represented by a one. Age categories are defined as follows: younger than 12 years, between 12 and 17 years, between 18 and 34 years, between 35 and 44 years, between 45 and 54 years, and older than 55 years. Subsequently, a demographic matrix is constructed for all users, wherein cosine similarity is employed to calculate the demographic similarity between any two users based on Formula (4). The resulting user matrix is depicted in Table 1, where ‘m’ represents the number of users.
c o s ( θ ) = d 1 · d 2 | d 1 | |   d 2 |
d 1 · d 2 = x 11 x 21 + x 12 x 22 + x 13 x 23 + + x 1 z x 2 z
| d 1 | = (   x 11 2 + x 12 2 + x 13 2 + + x 1 z 2 ) 1 2
| d 2 | = (   x 21 2 + x 22 2 + x 23 2 + + x 2 z 2 ) 1 2
In these formulas, d 1 = (   x 11   ,   x 12   ,   x 13   ,     ,   x 1 z   )   and d 2 = (   x 21   ,   x 22   ,   x 23   ,     ,   x 2 z   ) are user demographic vectors, and z is the number of user demographic vector elements equal to 7.

3.3. SVD-Based Similarity

After clustering users and items, SVD is applied to each cluster, yielding decomposition matrices for each cluster. Consequently, parameters U, S, and V are obtained for each cluster. The similarity between cluster components is then calculated based on the SVD. To achieve this, we utilize the first two columns of the U and V matrices, disregarding the remaining columns. This approach aims to uncover hidden relationships between users and items, effectively reducing both users and items to a two-dimensional space.
After clustering and applying SVD, we calculate user similarity within user-based clusters by utilizing only the first two columns of the U matrix. Each row of this matrix represents a user within that cluster, effectively projecting users into a two-dimensional space. We then employ Pearson’s similarity to calculate the similarity between users.
Similarly, we use only the first two columns of the V matrix for item-based clustering. Each row of this matrix represents an item within that cluster, projecting items into a two-dimensional space. We then use cosine similarity to determine the similarities and differences between items.
During the testing phase, we use Formula (8) to determine the two-dimensional position of the target user and Formula (9) to ascertain the two-dimensional position of the new item. Furthermore, to handle missing data, we employ the SVD method proposed by [3].
  n e w u s e r 2 D = n e w u s e r × V 2 × S 2 1
  n e w i t e m 2 D = n e w i t e m × U 2 × S 2 1

3.4. Integrating Predictions

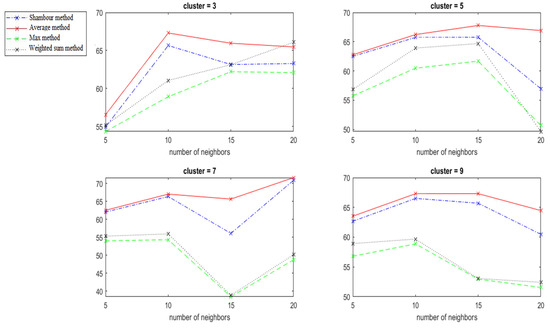
In this research, we generate four types of predictions: item-based CF prediction, item-based prediction using semantic similarity, user-based CF prediction, and user-based prediction using demographic similarity. These predictions are merged into a single comprehensive prediction. Initially, item-based predictions and user-based predictions are merged separately. Subsequently, the two resulting predictions are combined. Four different methods for merging these predictions are evaluated. After comparing the results (as discussed below), the average method, which has demonstrated superior performance (as shown in Figure 2 and Figure 3), is selected as the primary method for combination.
The Shambour Method: This method uses Formula (10) [37] to integrate item-based predictions and user-based predictions.
r = { 0   i f   r 1 = 0 ,   r 2 = 0 r 1     i f   r 2 = 0 r 2     i f   r 1 = 0 2 × r 1 × r 2 r 1 + r 2     otherwise  
For example, to predict item-based ratings, r 1 and r 2 are the item-based CF prediction and item-based prediction using semantic similarity.
The Average Method: In this method, the average of the predictions is considered.
The Max Method: In this method, the highest prediction is considered as the final prediction.
The Weighted Sum Method: This method uses a weighted sum (linear combination), as used in the [19] method, which combines the rating prediction results according to Formula (11). In this formula, r 1   and r 2 are the predictions we want to integrate, and α and β are the weights of each of these predictions.
r f i n a l = α × r 1 + β × r 2
The proposed UDIS method advances beyond a simple overlay of existing techniques by integrating four distinct prediction approaches: user-based collaborative filtering, demographic-similarity-based, item-based collaborative filtering, and semantic-similarity-based predictions. This combination leverages the unique strengths of each approach within a structured framework, thereby enhancing recommendation accuracy and more effectively addressing challenges such as data sparsity.
Notably, UDIS employs fuzzy C-means (FCM) clustering in conjunction with singular value decomposition (SVD) for dimensionality reduction within clusters, which enables the system to capture and adapt to complex user preferences with greater precision. This method of combining demographic and semantic similarities with collaborative filtering techniques distinguishes UDIS from conventional hybrid recommender systems.
Additionally, UDIS explores and evaluates four prediction merging techniques—average, max, Shambour, and weighted sum—ultimately identifying the average method as the most effective. This comprehensive evaluation and selection process further highlights the approach’s novelty. By empirically testing these integration methods, UDIS establishes a structured and empirically validated method for combining predictions, enhancing the accuracy and precision of recommendations.

4. Experimental Evaluation

This research used the MovieLens dataset to evaluate the proposed method. The MovieLens dataset is widely recognized and frequently used in education, research, and industry, with thousands of downloads annually, underscoring its popularity [38]. This dataset, collected by GroupLens Research, comprises 100,000 ratings (ranging from 1 to 5) from 943 users on 1682 movies. Additionally, it includes basic demographic information for users, such as age, gender, occupation, and zip code.
The evaluations for the UDIS method were conducted using the MovieLens dataset in 2024. For comparison, this study referenced recent research conducted primarily within the past 3 to 5 years, focusing on contemporary RS techniques.
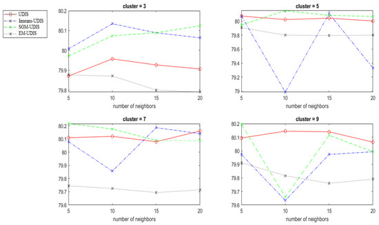
This paper presents the comparison results of the four different integration methods regarding accuracy and precision, as shown in Figure 2 and Figure 3. Additionally, we compared the UDIS method, which employs FCM clustering, with the UDIS method using k-means clustering, the Self-Organizing Map (SOM), and the Expectation-Maximization (EM) clustering techniques. The results of this comparison are illustrated in Figure 4 and Figure 5. These figures examine accuracy and precision across various numbers of clusters (3, 5, 7, and 9) and different neighborhood sizes (5, 10, 15, and 20). Formulas 12 and 13 were used to calculate the accuracy and precision, respectively.
Accuracy = T r u e   P o s i t i v e + T r u e   N e g a t i v e T o t a l   P o p u l a t i o n
Precision = T r u e   P o s i t i v e T e s t   O u t c o m e   P o s i t i v e
As shown in Figure 2, when the number of clusters was 3 or 5, the max and weighted sum methods demonstrated superior results, maintaining their performance even as the number of neighbors increased. At this stage, the average method performed better than the Shambour method but fell short in accuracy compared to the max and weighted sum methods. However, as the number of clusters increased to 7 or 9, the accuracy of the Shambour and average methods surpassed that of the max and weighted sum methods, with the average method outperforming the Shambour method.
According to Figure 3, the average method consistently achieved better precision than the other three methods as the number of neighbors and clusters increased. An exception occurred when the number of clusters was 3 and the number of neighbors was 20, where the precision of the weighted sum method slightly exceeded that of the average method. Generally, the Shambour method outperformed the max and weighted sum methods. While the max and weighted sum methods often yielded similar results, the weighted sum method typically exhibited better precision.
Figure 2 and Figure 3 show that the average method consistently outperformed the Shambour method in all diagrams. The max and weighted sum methods showed close results; however, the weighted sum method generally performed better. The accuracy of the average method surpassed that of the other three methods in all cases. As the number of clusters and neighbors increased, the average method’s performance improved further, surpassing the other methods in both accuracy and precision measures. Thus, the average method achieved the best overall results, considering both accuracy and precision.
These findings indicate that while the max and weighted sum methods can perform well in specific configurations, the average method offers a more balanced and reliable approach across different clustering scenarios. This makes it particularly suitable for the UDIS framework, where accuracy and precision are critical.
The effectiveness of the UDIS method was also compared using various clustering techniques: FCM, k-means, SOM, and EM. Figure 4 and Figure 5 present the results across different cluster and neighborhood configurations.
As shown in Figure 4, with three clusters, the accuracy of k-means-UDIS and SOM-UDIS surpassed that of UDIS and EM-UDIS, with UDIS outperforming EM-UDIS. After increasing the number of clusters to five, UDIS’s accuracy became comparable to SOM-UDIS, though SOM-UDIS still maintained a slight edge. Meanwhile, the accuracy of k-means-UDIS and EM-UDIS remained lower than that of UDIS. As the number of clusters rose, UDIS’s accuracy improved, aligning with k-means-UDIS and SOM-UDIS. When the number of clusters reached nine, UDIS achieved better accuracy than the other clustering methods, and this improvement held steady as the number of neighbors increased.
As shown in Figure 5, when the number of clusters was set to three, EM-UDIS exhibited the highest precision, significantly outperforming the other three methods. In this scenario, UDIS demonstrated better precision than both k-means-UDIS and SOM-UDIS, though UDIS and SOM-UDIS showed equal precision when the number of neighbors reached 20. With five clusters, EM-UDIS maintained superior precision, except when the number of neighbors was 10, where UDIS surpassed EM-UDIS, k-means-UDIS, and SOM-UDIS in terms of precision.
At seven clusters, EM-UDIS’s precision sharply declined and decreased as the number of neighbors increased, resulting in lower precision than all three other methods. Conversely, UDIS achieved higher precision than the other methods across all neighbor counts. When the number of clusters reached nine, UDIS again outperformed the other three methods in terms of precision. At the same time, EM-UDIS showed better precision than k-means-UDIS and SOM-UDIS, except when the number of neighbors was 15.
Overall, Figure 5 illustrates that increasing both the number of clusters and neighbors improved the precision of the proposed UDIS method with FCM clustering. In all cases, UDIS exhibited better precision than the k-means-UDIS and SOM-UDIS methods. These comparisons suggest that while k-means and SOM can be effective in smaller configurations, FCM clustering provided the most consistent performance improvements in both accuracy and precision as the number of clusters increased. This validates the selection of FCM in the UDIS method for achieving superior recommendation quality across different user scenarios.
In summary, the experimental results demonstrate that the average merging method, combined with FCM clustering, consistently outperforms other techniques in terms of both accuracy and precision across varying dataset configurations. This combination addresses data sparsity and adapts well to different user and item characteristics, offering enhanced scalability and personalization in recommendations. The UDIS approach, integrating demographic and semantic data, proves particularly robust and effective, making it highly applicable for domains with diverse user preferences.

5. Conclusions

Recommendation systems have been widely developed to provide automated personalized product and service offerings. In our work, we improved the quality of recommendations through the UDIS method, which integrates FCM clustering and SVD dimensionality reduction techniques. UDIS enhances RS by incorporating demographic information to calculate user demographic similarity and utilizing genre information to determine the semantic similarity of items.
The experimental results demonstrated that this method, in most cases, outperformed other approaches regarding accuracy and precision. Specifically, including user demographic similarity and the semantic similarity of items alongside rating information yielded superior results. Furthermore, by evaluating four merging techniques, we identified the average method as the most effective, significantly improving the accuracy and precision of the MovieLens dataset compared to other approaches. These results demonstrate that incorporating multiple prediction types can effectively address data sparsity, leading to more accurate and personalized recommendations.
This study identified some limitations and areas for future exploration. Currently, UDIS uses only age and gender as demographic features, which may not fully capture user preferences. Future research will consider additional attributes such as occupation and location to enrich demographic similarity. Likewise, using genre as the sole semantic feature limits the depth of item analysis. Employing Natural Language Processing (NLP) could allow for extracting more detailed semantic information from item descriptions and reviews, thereby improving recommendation relevance.
Additionally, while UDIS employs a simple linear combination for merging predictions, future work will explore advanced methods like deep learning and Artificial Neural Networks (ANNs). These methods could allow UDIS to learn and adapt to more complex relationships, potentially enhancing accuracy and personalization in diverse recommendation scenarios.
The broader implications of UDIS suggest its applicability in domains where user preferences are varied, such as e-commerce, streaming services, and social media. By tailoring recommendations to both demographic and semantic factors, UDIS has the potential to elevate user experiences in fields like movie or music recommendations. Expanding UDIS’s features and integrating advanced techniques could refine its effectiveness and adaptability in these contexts.

Author Contributions

Conceptualization, H.K. and T.F.; methodology, H.K. and T.F.; software, T.F. and E.M.; validation, H.K., Z.K. and E.M.; formal analysis, H.K. and Z.K.; data curation, T.F. and E.M.; writing—original draft preparation, T.F. and E.M; writing—review and editing, H.K. and Z.K; visualization, T.F. and E.M.; supervision, H.K.; project administration, H.K. and Z.K. All authors have read and agreed to the published version of the manuscript.

Funding

This research received no external funding.

Data Availability Statement

The authors will make the raw data supporting this article’s conclusions available upon request.

Acknowledgments

We sincerely thank the reviewers and editors for their meticulous work.

Conflicts of Interest

The authors declare no conflicts of interest.

Abbreviations

Artificial Neural NetworksANNs
Collaborative filteringCF
Expectation-MaximizationEM
Fuzzy C-meansFCM
Matrix FactorizationMF
Mean Absolute ErrorMAE
Multiple Linear RegressionMLR
Natural Language ProcessingNLP
Nonnegative Matrix FactorizationNMF
Recommender systemsRS
Root Mean Square ErrorRMSE
Self-Organizing MapSOM
Singular value decompositionSVD
Support Vector RegressionSVR
Trust-based RSTRS
User-based CF (U), demographic-similarity-based (D), item-based CF (I), and semantic-similarity-based (S)UDIS

References

  1. Campana, M.G.; Delmastro, F. Recommender Systems for Online and Mobile Social Networks: A Survey. Online Soc. Netw. Media 2017, 3, 75–97. [Google Scholar] [CrossRef]
  2. Sarwar, B.; Karypis, G.; Konstan, J.; Riedl, J. Application of Dimensionality Reduction in Recommender System A Case Study. Comput. Sci. Eng. Dept. Univ. Minn. 2000. Available online: http://files.grouplens.org/papers/webKDD00.pdf (accessed on 14 October 2024).
  3. Nilashi, M.; Ibrahim, O.; Bagherifard, K. A Recommender System Based on Collaborative Filtering Using Ontology and Dimensionality Reduction Techniques. Expert. Syst. Appl. 2018, 92, 507–520. [Google Scholar] [CrossRef]
  4. Zarzour, H.; Al-Sharif, Z.; Al-Ayyoub, M.; Jararweh, Y. A New Collaborative Filtering Recommendation Algorithm Based on Dimensionality Reduction and Clustering Techniques. In Proceedings of the 2018 9th International Conference on Information and Communication Systems, ICICS 2018, Irbid, Jordan, 3–5 April 2018; 2018; pp. 102–106. [Google Scholar]
  5. Koohi, H.; Kiani, K. User Based Collaborative Filtering Using Fuzzy C-Means. Measurement 2016, 91, 134–139. [Google Scholar] [CrossRef]
  6. Vellaichamy, V.; Kalimuthu, V. Hybrid Collaborative Movie Recommender System Using Clustering and Bat Optimization. Int. J. Intell. Eng. Syst. 2017, 10, 38–47. [Google Scholar] [CrossRef]
  7. Koohi, H.; Kobti, Z.; Nazari, Z.; Mousavi, J. Enhancing Recommender System Performance through the Fusion of Fuzzy C-Means, Restricted Boltzmann Machine, and Extreme Learning Machine. Multimed. Tools Appl. 2024, 83, 63095–63119. [Google Scholar] [CrossRef]
  8. Mobasher, B.; Jin, X.; Zhou, Y. Semantically Enhanced Collaborative Filtering on the Web. In Proceedings of the European Web Mining Forum; Springer: Berlin/Heidelberg, Germany, 2003; pp. 57–76. [Google Scholar]
  9. Thakkar, P.; Varma, K.; Ukani, V.; Mankad, S.; Tanwar, S. Combining User-Based and Item-Based Collaborative Filtering Using Machine Learning. In Proceedings of the Information and Communication Technology for Intelligent Systems; Springer Science and Business Media Deutschland GmbH: Berlin/Heidelberg, Germany, 2019; pp. 173–180. [Google Scholar]
  10. Barzegar Nozari, R.; Koohi, H. A Novel Group Recommender System Based on Members’ Influence and Leader Impact. Knowl. Based Syst. 2020, 205, 106296. [Google Scholar] [CrossRef]
  11. Harispe, S.; Ranwez, S.; Janaqi, S.; Montmain, J. Semantic Similarity from Natural Language and Ontology Analysis. In Synthesis Lectures on Human Language Technologies; Springer: Cham, Switzerland, 2015; Volume 8, pp. 1–256. [Google Scholar] [CrossRef]
  12. Yan, Z.; Wu, Q.; Ren, M.; Liu, J.; Liu, S.; Qiu, S. Locally Private Jaccard Similarity Estimation. In Proceedings of the Concurrency and Computation: Practice and Experience; John Wiley and Sons Ltd.: Hoboken, NJ, USA, 2019; Volume 31. [Google Scholar]
  13. Koohi, H.; Kiani, K. A New Method to Find Neighbor Users That Improves the Performance of Collaborative Filtering. Expert. Syst. Appl. 2017, 83, 30–39. [Google Scholar] [CrossRef]
  14. Gong, S.; Ye, H.; Dai, Y. Combining Singular Value Decomposition and Item-Based Recommender in Collaborative Filtering. In Proceedings of the 2009 2nd International Workshop on Knowledge Discovery and Data Mining, WKKD 2009, Moscow, Russia, 23–25 January 2009; pp. 769–772. [Google Scholar]
  15. Ren, Y.; Gong, S. A Collaborative Filtering Recommendation Algorithm Based on Svd Smoothing. In Proceedings of the Third International Symposium on Intelligent Information Technology Application, Nanchang, China, 21–22 November 2009; Volume 2, pp. 530–532. [Google Scholar]
  16. Sahoo, A.K.; Pradhan, C.; Mishra, B.S.P. SVD Based Privacy Preserving Recommendation Model Using Optimized Hybrid Item-Based Collaborative Filtering. In Proceedings of the 2019 IEEE International Conference on Communication and Signal Processing, ICCSP 2019, Chennai, India, 4–6 April 2019; pp. 294–298. [Google Scholar]
  17. Al-Nafjan, A.; Alrashoudi, N.; Alrasheed, H. Recommendation System Algorithms on Location-Based Social Networks: Comparative Study. Information 2022, 13, 188. [Google Scholar] [CrossRef]
  18. Vozalis, M.G.; Margaritis, K.G. Using SVD and Demographic Data for the Enhancement of Generalized Collaborative Filtering. Inf. Sci. 2007, 177, 3017–3037. [Google Scholar] [CrossRef]
  19. Tiwari, S.K.; Shrivastava, S.K. An Approach for Recommender System by Combining Collaborative Filtering with User Demographics and Items Genres. Int. J. Comput. Appl. 2015, 128, 16–24. [Google Scholar] [CrossRef]
  20. Valdiviezo-Díaz, P.; Bobadilla, J. A Hybrid Approach of Recommendation via Extended Matrix Based on Collaborative Filtering with Demographics Information. In Proceedings of the International Conference on Technology Trends; Springer: Cham, Switzerland, 2018; Volume 895, pp. 384–398. [Google Scholar]
  21. Pereira, N.; Varma, S.L. Financial Planning Recommendation System Using Content-Based Collaborative and Demographic Filtering. In Proceedings of the Advances in Intelligent Systems and Computing; Springer Verlag: Berlin/Heidelberg, Germany, 2019; Volume 669, pp. 141–151. [Google Scholar]
  22. Waqar, M.; Majeed, N.; Dawood, H.; Daud, A.; Aljohani, N.R. An Adaptive Doctor-Recommender System. Behav. Inf. Technol. 2019, 38, 959–973. [Google Scholar] [CrossRef]
  23. Chew, L.-J.; Haw, S.-C.; Subramaniam, S. A Hybrid Recommender System Based on Data Enrichment on the Ontology Modelling. F1000Res 2021, 10, 937. [Google Scholar] [CrossRef] [PubMed]
  24. CK, R.; Srikantaiah, K.C. Switching Hybrid Model for Personalized Recommendations by Combining Users Demographic Information. J. Theor. Appl. Inf. Technol. 2022, 100, 825–835. [Google Scholar]
  25. Katarya, R.; Verma, O.P. Recommender System with Grey Wolf Optimizer and FCM. Neural Comput. Appl. 2018, 30, 1679–1687. [Google Scholar] [CrossRef]
  26. Duan, L.; Wang, W.; Han, B. A Hybrid Recommendation System Based on Fuzzy C-Means Clustering and Supervised Learning. KSII Trans. Internet Inf. Syst. 2021, 15, 2399–2413. [Google Scholar]
  27. Gong, S. A Collaborative Filtering Recommendation Algorithm Based on User Clustering and Item Clustering. J. Softw. 2010, 5, 745–752. [Google Scholar] [CrossRef]
  28. Kumar, N.P.; Fan, Z. Hybrid User-Item Based Collaborative Filtering. Proc. Procedia Comput. Sci. 2015, 60, 1453–1461. [Google Scholar] [CrossRef][Green Version]
  29. Ranjbar Kermany, N.; Alizadeh, S.H. A Hybrid Multi-Criteria Recommender System Using Ontology and Neuro-Fuzzy Techniques. Electron. Commer. Res. Appl. 2017, 21, 50–64. [Google Scholar] [CrossRef]
  30. Yue, W.; Wang, Z.; Liu, W.; Tian, B.; Lauria, S.; Liu, X. An Optimally Weighted User- and Item-Based Collaborative Filtering Approach to Predicting Baseline Data for Friedreich’s Ataxia Patients. Neurocomputing 2021, 419, 287–294. [Google Scholar] [CrossRef]
  31. Barzegar Nozari, R.; Koohi, H. Novel Implicit-Trust-Network-Based Recommendation Methodology. Expert. Syst. Appl. 2021, 186, 115709. [Google Scholar] [CrossRef]
  32. Wang, S.; Zhang, X.; Wang, Y.; Ricci, F. Trustworthy Recommender Systems. ACM Trans. Intell. Syst. Technol. 2024, 15, 1–20. [Google Scholar] [CrossRef]
  33. Barzegar Nozari, R.; Koohi, H.; Mahmodi, E. A Novel Trust Computation Method Based on User Ratings to Improve the Recommendation. Int. J. Eng. 2020, 33, 377–386. [Google Scholar] [CrossRef]
  34. Zhang, Z.; Liu, Y.; Jin, Z.; Zhang, R. Selecting Influential and Trustworthy Neighbors for Collaborative Filtering Recommender Systems. In Proceedings of the 2017 IEEE 7th Annual Computing and Communication Workshop and Conference, CCWC 2017, Las Vegas, NV, USA, 9–11 January 2017. [Google Scholar]
  35. Zhao, J.; Wang, W.; Zhang, Z.; Sun, Q.; Huo, H.; Qu, L.; Zheng, S. TrustTF: A Tensor Factorization Model Using User Trust and Implicit Feedback for Context-Aware Recommender Systems. Knowl. Based Syst. 2020, 209, 106434. [Google Scholar] [CrossRef]
  36. De Meo, P. Trust Prediction via Matrix Factorisation. ACM Trans. Internet Technol. 2019, 19, 1–20. [Google Scholar] [CrossRef]
  37. Shambour, Q.; Lu, J. A Hybrid Multi-Criteria Semantic-Enhanced Collaborative Filtering Approach for Personalized Recommendations. In Proceedings of the 2011 IEEE/WIC/ACM International Conference on Web Intelligence, WI 2011, Lyon, France, 22–27 August 2011; Volume 1, pp. 71–78. [Google Scholar]
  38. Harper, F.M.; Konstan, J.A. The Movielens Datasets: History and Context. ACM Trans. Interact. Intell. Syst. 2015, 5, 1–19. [Google Scholar] [CrossRef]
Figure 1. Architecture of the proposed UDIS.
Figure 1. Architecture of the proposed UDIS.
Electronics 13 04073 g001
Figure 2. Comparison results of four different integration methods in the accuracy measures.
Figure 2. Comparison results of four different integration methods in the accuracy measures.
Electronics 13 04073 g002
Figure 3. Comparison results of four different integration methods in precision measures.
Figure 3. Comparison results of four different integration methods in precision measures.
Electronics 13 04073 g003
Figure 4. Comparison of UDIS method based on FCM clustering with k-means, SOM, and EM methods in the accuracy measure.
Figure 4. Comparison of UDIS method based on FCM clustering with k-means, SOM, and EM methods in the accuracy measure.
Electronics 13 04073 g004
Figure 5. Comparison of UDIS method based on FCM clustering with k-means, SOM, and EM methods in the precision measure.
Figure 5. Comparison of UDIS method based on FCM clustering with k-means, SOM, and EM methods in the precision measure.
Electronics 13 04073 g005
Table 1. User demographic matrix.
Table 1. User demographic matrix.
Age Range
GenderLess than 12 YearsBetween 12 and 17 YearsBetween 18 and 34 YearsBetween 35 and 44 YearsBetween 45 and 54 YearsMore than 55 Years
Users11001000
20100000
31000001
41000100
m0010000
Disclaimer/Publisher’s Note: The statements, opinions and data contained in all publications are solely those of the individual author(s) and contributor(s) and not of MDPI and/or the editor(s). MDPI and/or the editor(s) disclaim responsibility for any injury to people or property resulting from any ideas, methods, instructions or products referred to in the content.

Share and Cite

MDPI and ACS Style

Koohi, H.; Kobti, Z.; Farzi, T.; Mahmodi, E. UDIS: Enhancing Collaborative Filtering with Fusion of Dimensionality Reduction and Semantic Similarity. Electronics 2024, 13, 4073. https://doi.org/10.3390/electronics13204073

AMA Style

Koohi H, Kobti Z, Farzi T, Mahmodi E. UDIS: Enhancing Collaborative Filtering with Fusion of Dimensionality Reduction and Semantic Similarity. Electronics. 2024; 13(20):4073. https://doi.org/10.3390/electronics13204073

Chicago/Turabian Style

Koohi, Hamidreza, Ziad Kobti, Tahereh Farzi, and Emad Mahmodi. 2024. "UDIS: Enhancing Collaborative Filtering with Fusion of Dimensionality Reduction and Semantic Similarity" Electronics 13, no. 20: 4073. https://doi.org/10.3390/electronics13204073

APA Style

Koohi, H., Kobti, Z., Farzi, T., & Mahmodi, E. (2024). UDIS: Enhancing Collaborative Filtering with Fusion of Dimensionality Reduction and Semantic Similarity. Electronics, 13(20), 4073. https://doi.org/10.3390/electronics13204073

Note that from the first issue of 2016, this journal uses article numbers instead of page numbers. See further details here.

Article Metrics

Back to TopTop