Adaptive Control of Unmanned Aerial Vehicles with Varying Payload and Full Parametric Uncertainties
Abstract
1. Introduction
1.1. Literature Review
1.2. Research Gap and Motivation
1.3. Contribution and Paper Structure
2. Dynamic Model of a UAV
3. Proposed Control Design
3.1. Translational Control Design
3.2. Attitude Control Design
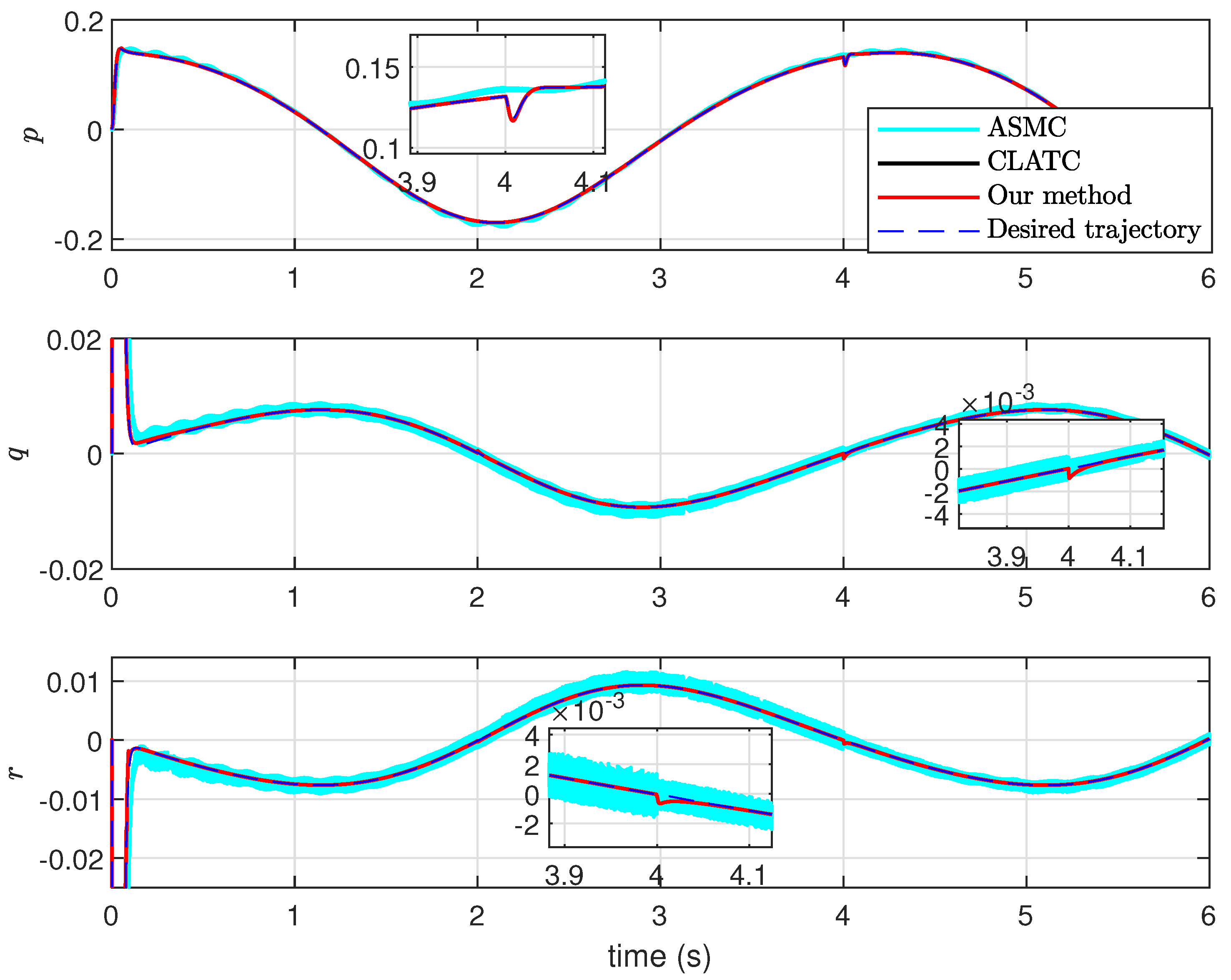
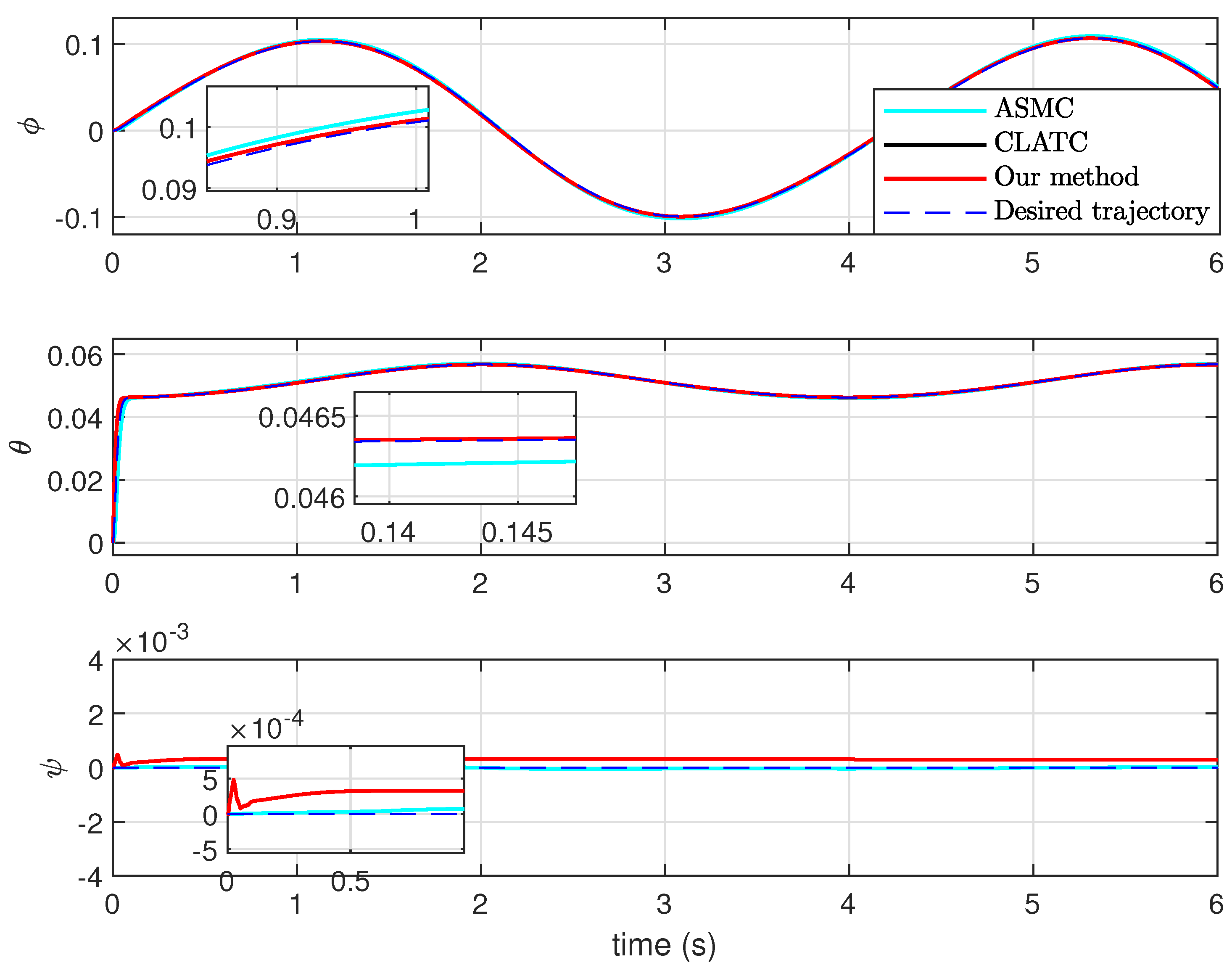
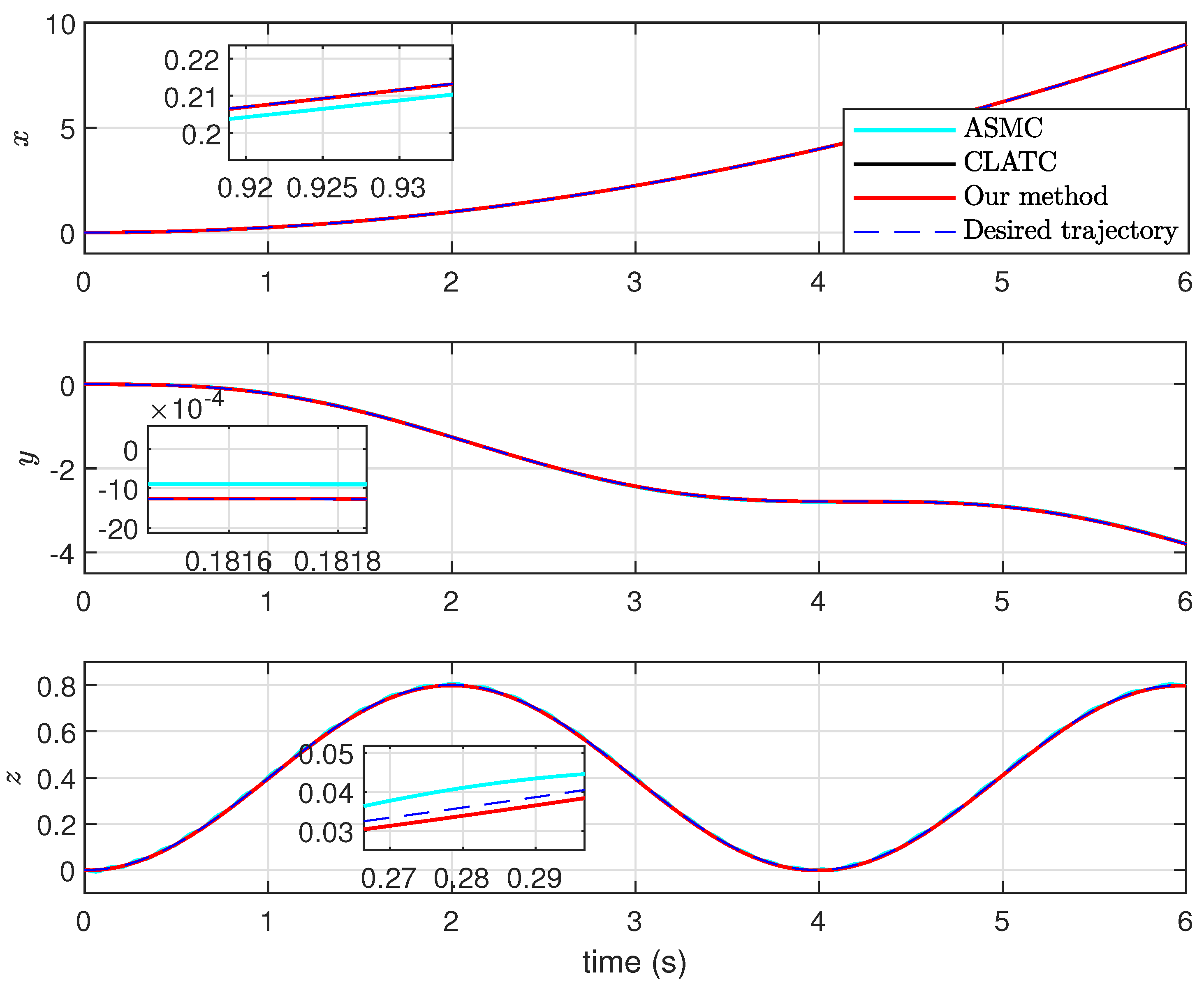
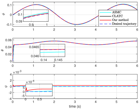
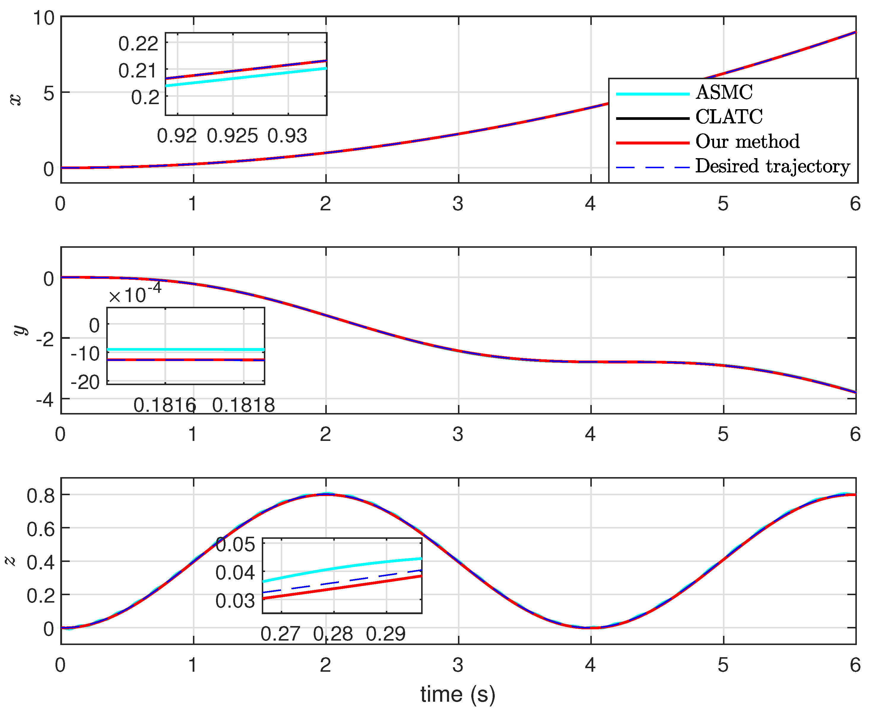
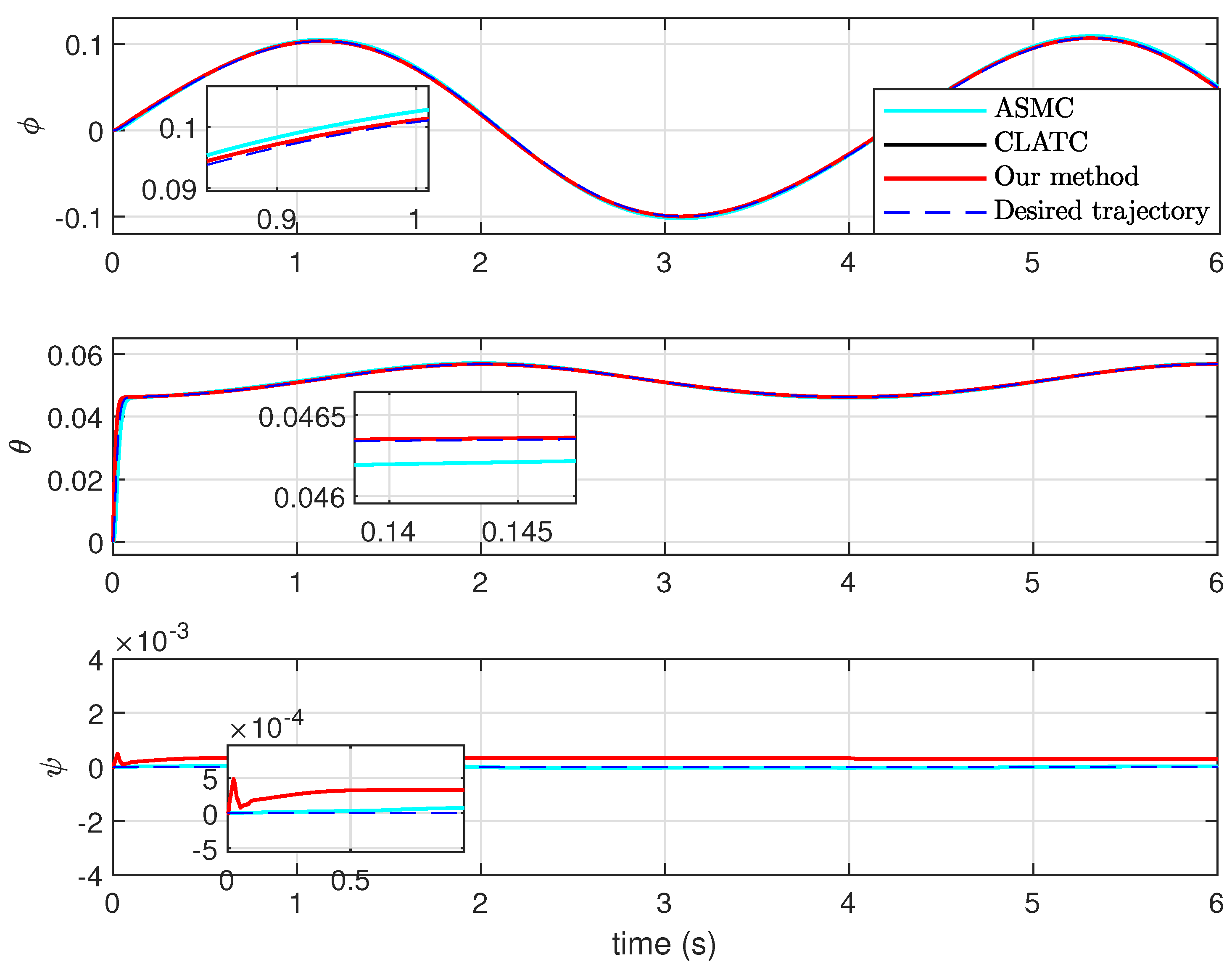
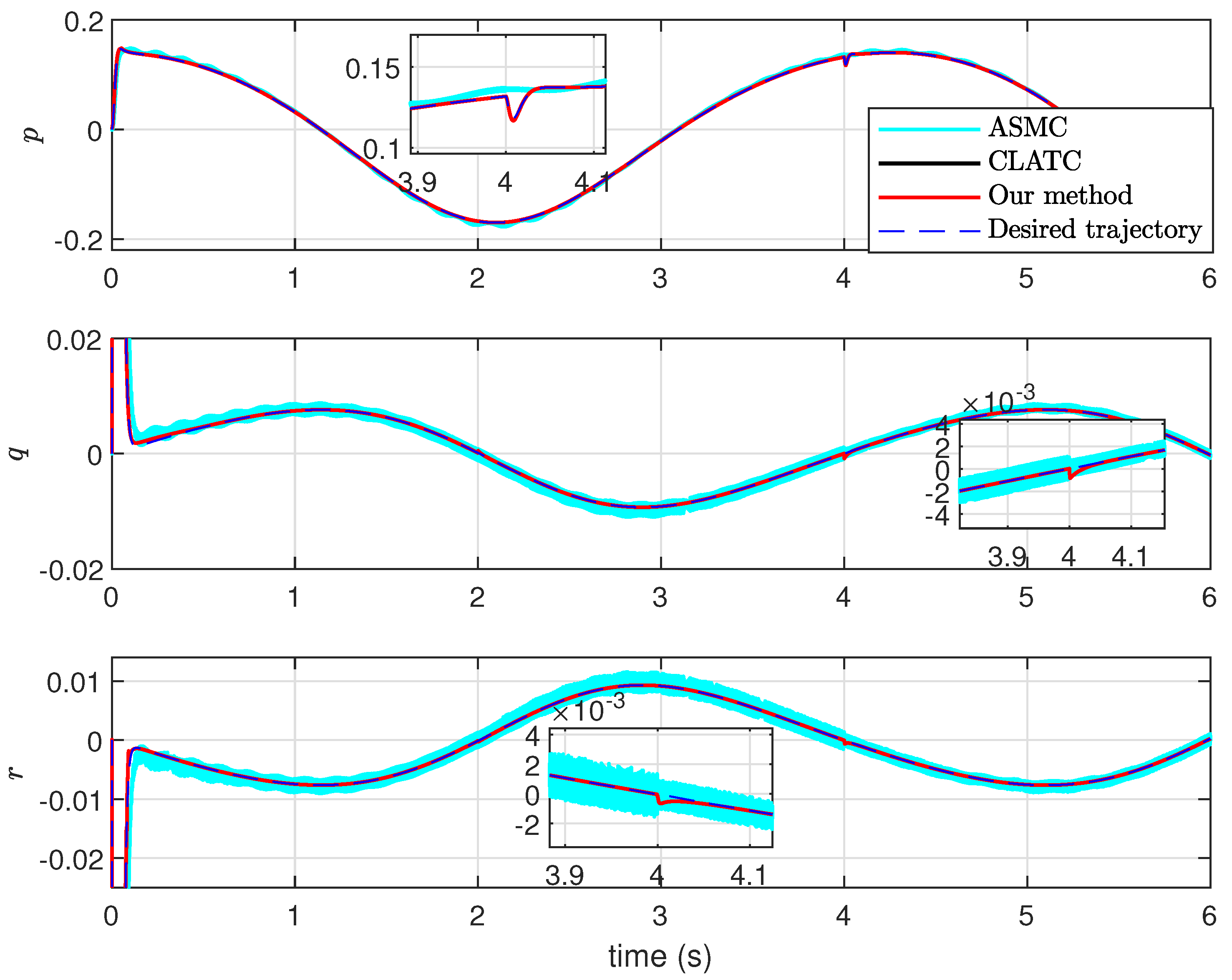
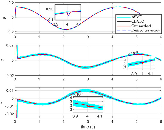
4. Simulation Results
5. Conclusions and Directions for Future Work
Author Contributions
Funding
Data Availability Statement
Acknowledgments
Conflicts of Interest
References
- James, M.R.; Carr, B.; D’Arcy, F.; Diefenbach, A.; Dietterich, H.; Fornaciai, A.; Lev, E.; Liu, E.; Pieri, D.; Rodgers, M.; et al. Volcanological applications of unoccupied aircraft systems (UAS): Developments, strategies, and future challenges. Volcanica 2020, 3, 67–114. [Google Scholar] [CrossRef]
- Radoglou-Grammatikis, P.; Sarigiannidis, P.; Lagkas, T.; Moscholios, I. A compilation of UAV applications for precision agriculture. Comput. Netw. 2020, 172, 107148. [Google Scholar] [CrossRef]
- Santamarina-Campos, V.; Segarra-Oña, M. Drones and the Creative Industry: Innovative Strategies for European SMEs; Springer Nature: Cham, Switzerland, 2018. [Google Scholar]
- Um, J.S. Drones as Cyber-Physical Systems; Springer: Singapore, 2019. [Google Scholar]
- Montazeri, A.; Can, A.; Imran, I.H. Unmanned Aerial Systems: Autonomy, Cognition and Control. In Unmanned Aerial Systems: Theoretical Foundation and Applications; Elsevier: Amsterdam, The Netherlands, 2020. [Google Scholar]
- Voos, H. Nonlinear control of a quadrotor micro-UAV using feedback-linearization. In Proceedings of the 2009 IEEE International Conference on Mechatronics, Malaga, Spain, 14–17 April 2009; pp. 1–6. [Google Scholar]
- Zhou, Q.L.; Zhang, Y.; Rabbath, C.A.; Theilliol, D. Design of feedback linearization control and reconfigurable control allocation with application to a quadrotor UAV. In Proceedings of the 2010 Conference on Control and Fault-Tolerant Systems (SysTol), Nice, France, 6–8 October 2010; pp. 371–376. [Google Scholar]
- Nemati, H.; Montazeri, A. Output Feedback Sliding Mode Control of Quadcopter Using IMU Navigation. In Proceedings of the 2019 IEEE International Conference on Mechatronics (ICM), Ilmenau, Germany, 18–20 March 2019; Volume 1, pp. 634–639. [Google Scholar]
- Huang, J.; Chen, Z. A general framework for tackling the output regulation problem. IEEE Trans. Autom. Control 2004, 49, 2203–2218. [Google Scholar] [CrossRef]
- Lewis, F.L.; Dawson, D.M.; Abdallah, C.T. Robot Manipulator Control: Theory and Practice; CRC Press: Boca Raton, FL, USA, 2003. [Google Scholar]
- Chen, Z. A novel adaptive control approach for nonlinearly parameterized systems. Int. J. Adapt. Control Signal Process. 2015, 29, 81–98. [Google Scholar] [CrossRef]
- Burrell, T.; West, C.; Monk, S.D.; Montezeri, A.; Taylor, C.J. Towards a cooperative robotic system for autonomous pipe cutting in nuclear decommissioning. In Proceedings of the 2018 UKACC 12th International Conference on Control (CONTROL), Sheffield, UK, 5–7 September 2018; pp. 283–288. [Google Scholar]
- Chen, X.; Chen, Z. Robust perturbed output regulation and synchronization of nonlinear heterogeneous multiagents. IEEE Trans. Cybern. 2016, 46, 3111–3122. [Google Scholar] [CrossRef] [PubMed]
- Li, S.; Wang, Y.; Tan, J.; Zheng, Y. Adaptive RBFNNs/integral sliding mode control for a quadrotor aircraft. Neurocomputing 2016, 216, 126–134. [Google Scholar] [CrossRef]
- Imran, I.H.; Montazeri, A. Distributed Robust Synchronization Control of Multiple Heterogeneous Quadcopters with An Active Virtual Leader. IFAC-PapersOnLine 2022, 55, 2659–2664. [Google Scholar] [CrossRef]
- Nemati, H.; Montazeri, A. Analysis and design of a multi-channel time-varying sliding mode controller and its application in unmanned aerial vehicles. IFAC-PapersOnLine 2018, 51, 244–249. [Google Scholar] [CrossRef]
- Eltayeb, A.; Rahmat, M.F.A.; Basri, M.A.M.; Eltoum, M.M.; El-Ferik, S. An improved design of an adaptive sliding mode controller for chattering attenuation and trajectory tracking of the quadcopter UAV. IEEE Access 2020, 8, 205968–205979. [Google Scholar] [CrossRef]
- Ghadiri, H.; Emami, M.; Khodadadi, H. Adaptive super-twisting non-singular terminal sliding mode control for tracking of quadrotor with bounded disturbances. Aerosp. Sci. Technol. 2021, 112, 106616. [Google Scholar] [CrossRef]
- Shankaran, V.P.; Azid, S.I.; Mehta, U.; Fagiolini, A. Improved Performance in Quadrotor Trajectory Tracking Using MIMO PIλ-D Control. IEEE Access 2022, 10, 110646–110660. [Google Scholar] [CrossRef]
- Narendra, K.S.; Annaswamy, A.M. Stable Adaptive Systems; Prentice Hall: Englewood Cliffs, NJ, USA, 1989. [Google Scholar]
- Anderson, B.D. Failures of adaptive control theory and their resolution. Commun. Inf. Syst. 2005, 5, 1–20. [Google Scholar] [CrossRef]
- Astolfi, A.; Karagiannis, D.; Ortega, R. Nonlinear and Adaptive Control with Applications; Springer Science & Business Media: London, UK, 2007. [Google Scholar]
- Hovakimyan, N.; Cao, C. L1 Adaptive Control Theory: Guaranteed Robustness with Fast Adaptation; SIAM-Society for Industrial and Applied Mathematics: Philadelphia, PA, USA, 2010; Volume 21. [Google Scholar]
- Lewis, F.L.; Zhang, H.; Hengster-Movric, K.; Das, A. Cooperative Control of Multi-Agent Systems: Optimal and Adaptive Design Approaches; Springer Science & Business Media: Berlin/Heidelberg, Germany, 2013. [Google Scholar]
- Liu, Y.; Jia, Y. Adaptive leader-following consensus control of multi-agent systems using model reference adaptive control approach. IET Control Theory Appl. 2012, 6, 2002–2008. [Google Scholar] [CrossRef]
- Qian, Y.Y.; Liu, L.; Feng, G. Distributed event-triggered adaptive control for consensus of linear multi-agent systems with external disturbances. IEEE Trans. Cybern. 2018, 50, 2197–2208. [Google Scholar] [CrossRef]
- Peng, Z.; Wang, D.; Zhang, H.; Sun, G.; Wang, H. Distributed model reference adaptive control for cooperative tracking of uncertain dynamical multi-agent systems. IET Control Theory Appl. 2013, 7, 1079–1087. [Google Scholar] [CrossRef]
- Ayala, H.V.H.; dos Santos Coelho, L. Tuning of PID controller based on a multiobjective genetic algorithm applied to a robotic manipulator. Expert Syst. Appl. 2012, 39, 8968–8974. [Google Scholar] [CrossRef]
- Das, A.; Lewis, F. Distributed adaptive control for synchronization of unknown nonlinear networked systems. Automatica 2010, 46, 2014–2021. [Google Scholar] [CrossRef]
- Das, A.; Lewis, F. Cooperative adaptive control for synchronization of second-order systems with unknown nonlinearites. Int. J. Robust Nonlinear Control 2011, 21, 1509–1524. [Google Scholar] [CrossRef]
- Elhaki, O.; Shojaei, K. A novel model-free robust saturated reinforcement learning-based controller for quadrotors guaranteeing prescribed transient and steady state performance. Aerosp. Sci. Technol. 2021, 119, 107128. [Google Scholar] [CrossRef]
- Gugan, G.; Haque, A. Path Planning for Autonomous Drones: Challenges and Future Directions. Drones 2023, 7, 169. [Google Scholar] [CrossRef]
- Imran, I.H.; Montazeri, A. An adaptive scheme to estimate unknown parameters of an unmanned aerial vehicle. In Proceedings of the 2020 International Conference Nonlinearity, Information and Robotics (NIR), Innopolis, Russia, 3–6 December 2020; pp. 1–6. [Google Scholar]
- Imran, I.H.; Stolkin, R.; Montazeri, A. Adaptive closed-loop identification and tracking control of an aerial vehicle with unknown inertia parameters. IFAC-PapersOnLine 2021, 54, 785–790. [Google Scholar] [CrossRef]
- Huang, T.; Huang, D.; Wang, Z.; Shah, A. Robust tracking control of a quadrotor UAV based on adaptive sliding mode controller. Complexity 2019, 2019, 7931632. [Google Scholar] [CrossRef]











| Parameter Name | Notation | Value |
|---|---|---|
| Mass | m | 2.33 kg |
| Gravity acceleration | g | 9.8 m/s |
| Inertia of x-axis | 0.16 kg·m | |
| Inertia of y-axis | 0.16 kg·m | |
| Inertia of z-axis | 0.32 kg·m |
| Variable | CLATC | ASMC | Our Method |
|---|---|---|---|
| p | |||
| q | |||
| r | |||
| x | |||
| y | |||
| z | |||
| average |
| Variable | CLATC | ASMC | Our Method |
|---|---|---|---|
| total effort of u | |||
| total effort of | |||
| total effort of | |||
| total effort of |
Disclaimer/Publisher’s Note: The statements, opinions and data contained in all publications are solely those of the individual author(s) and contributor(s) and not of MDPI and/or the editor(s). MDPI and/or the editor(s) disclaim responsibility for any injury to people or property resulting from any ideas, methods, instructions or products referred to in the content. |
© 2024 by the authors. Licensee MDPI, Basel, Switzerland. This article is an open access article distributed under the terms and conditions of the Creative Commons Attribution (CC BY) license (https://creativecommons.org/licenses/by/4.0/).
Share and Cite
Imran, I.H.; Wood, K.; Montazeri, A. Adaptive Control of Unmanned Aerial Vehicles with Varying Payload and Full Parametric Uncertainties. Electronics 2024, 13, 347. https://doi.org/10.3390/electronics13020347
Imran IH, Wood K, Montazeri A. Adaptive Control of Unmanned Aerial Vehicles with Varying Payload and Full Parametric Uncertainties. Electronics. 2024; 13(2):347. https://doi.org/10.3390/electronics13020347
Chicago/Turabian StyleImran, Imil Hamda, Kieran Wood, and Allahyar Montazeri. 2024. "Adaptive Control of Unmanned Aerial Vehicles with Varying Payload and Full Parametric Uncertainties" Electronics 13, no. 2: 347. https://doi.org/10.3390/electronics13020347
APA StyleImran, I. H., Wood, K., & Montazeri, A. (2024). Adaptive Control of Unmanned Aerial Vehicles with Varying Payload and Full Parametric Uncertainties. Electronics, 13(2), 347. https://doi.org/10.3390/electronics13020347

