Next Article in Journal
Enhanced Data Processing and Machine Learning Techniques for Energy Consumption Forecasting
Next Article in Special Issue
Design and Analysis of a Direct Current–Based Ice Melting System for an Overhead Contact System in Electrified Railways
Previous Article in Journal
Low-Light Image Enhancement Network Using Informative Feature Stretch and Attention
Previous Article in Special Issue
MPC-TD3 Trajectory Tracking Control for Electrically Driven Unmanned Tracked Vehicles
 
 
Font Type:
Arial Georgia Verdana
Font Size:
Aa Aa Aa
Line Spacing:
Column Width:
Background:
Article

Optimal Control of a Semi-Active Suspension System Collaborated by an Active Aerodynamic Surface Based on a Quarter-Car Model

Department of Mechanical and Aerospace Engineering, Gyeongsang National University, Jinju 52828, Gyeongnam, Republic of Korea
*
Author to whom correspondence should be addressed.
Electronics 2024, 13(19), 3884; https://doi.org/10.3390/electronics13193884
Submission received: 30 August 2024 / Revised: 25 September 2024 / Accepted: 26 September 2024 / Published: 30 September 2024

Abstract

This paper addresses the trade-off between ride comfort and road-holding capability of a quarter-car semi-active suspension system, collaborated by an active aerodynamic surface (AAS), using an optimal control policy. The semi-active suspension system is more practical to implement due to its low energy consumption than the active suspension system while significantly improving ride comfort. First, a model of the two-DOF quarter-car semi-active suspension in the presence of an active airfoil with two weighting sets based on ride comfort and road-holding preferences is presented. Then, a comprehensive comparative study of the improved target performance indices with various suspension systems is performed to evaluate the proposed suspension performance. Time-domain and frequency-domain analyses are conducted in MATLAB® (R2024a). From the time-domain analysis, the total performance measure is enhanced by about 50% and 35 to 45%, respectively, compared to passive and active suspension systems. The results demonstrate that a semi-active suspension system with an active aerodynamic control surface simultaneously improves the conflicting target parameters of passenger comfort and road holding. Utilizing the aerodynamic effect, the proposed system enhances the vehicle’s dynamic stability and passenger comfort compared to other suspension systems.

1. Introduction

With the emergence of modern technology in the automobile sector, improving the dynamic riding performance of suspension systems has become a critical design feature. In the literature, various control strategies, like the PID controller, model predictive controller (MPC), fuzzy logic network (FLC), and artificial neural network (ANN), have been reported to address the trade-off between driving comfort and handling capability [1]. The primary role of the vehicle’s suspension is to efficiently shield the chassis from external roadside disturbances and shocks, thereby providing comfort, stability, and improved handling [2,3]. This isolation helps to enhance ride comfort by reducing the transmission of road shocks and vibration to the occupants while maintaining a firm grip of the tire on the road surface [4]. In some cases, inherent stability challenges in traditional suspension systems can be non-trivial, even at low speeds. Isolation of these oscillations and overcoming the conflicting objectives are essential considerations in the design of dynamic control for vehicle suspension.
Based on the energy dissipation mode, the basic three types of suspension systems are the passive suspension system (PSS), active suspension system (ASS), and semi-active suspension system (SASS) [5,6]. A PSS consists of a metal spring, a standard damper, and a wishbone, which require no external energy for their operation. In contrast, an ASS requires external power for actuator operation to tackle exogenous disturbances and uncertainties encountered during vehicle forward motion and taking on various road maneuvers [7,8]. However, a SASS requires less energy than the active suspension system [9], as only a limited amount of actuator power is needed to change the orifice of the variable damper.
There are several types of variable dampers, including magnetorheological dampers, electrorheological dampers, electrohydraulic dampers, and electromagnetic dampers, which require limited power for their operation and only a few parameters [10]. However, with the ability to dissipate energy without the expenditure of external power, the main problem associated with semi-active suspension system is the passivity constraints, which limit their ability to minimize the vertical acceleration and mitigate undesired forces during the height and attitude motions of the vehicle [11]. An integration-based, linear parameter-varying controller (LPV) was employed to track road velocity under certain irregularities to enhance a semi-active suspension system’s driving comfort and system stability performance. However, improvements in suspension deflection were not considerable compared to the ride comfort owing to the conflicting nature of the target parameters [12]. Based on preview information, a vibration isolation platform was designed, and an MPC algorithm was applied to enhance the suspension acceleration across different road surfaces. The proposed study utilized a vehicle-mounted vibration mitigation controller by employing a damping control damper model [13]. A PID controller was optimized using particle swarm optimization (PSO) to improve the passenger comfort and road holding of a quarter-car SASS. The controller was verified by a hardware-in-the-loop approach, while the MR damper was modeled using an ANN [14]. However, the main focus was improving ride comfort performance compared to a passive suspension system.
To achieve a better compromise between passenger comfort and road-holding goals, the authors in [15] employed several controllers in an in-wheel electric vehicle to reduce the magnitude of oscillations by considering random road profiles. The authors considered the unbalanced vertical forces arising from a switched reluctance motor. However, each controller could provide the best improvement depending on the particular type of vehicle and the direction in which the destabilizing forces acted on the vehicle. To reduce the variation in the magnitude of the passenger compartment acceleration, the authors in [16] demonstrated an optimal preview control approach to eliminate the jerk in car body acceleration, thereby improving the comfort level of a quarter-car SASS. The results showed reduced amplitude vibrations compared to disregarding the preview controller. However, the jerk in the dynamic response of the ride comfort-oriented index was flattened at the cost of a 5 % reduction in the road-holding performance.
The authors in [17] investigated using an active aerodynamic surface to track roll motion and minimize the tracking error to address the conflicting parameters in a half-car model. The optimal controller effectively reduced the magnitude of transverse forces acting on the car body, enabling the tracking of ideal roll motion during circular and different lane maneuvers. To attenuate an anticipated road disturbances and oscillations affecting vehicle attitude motion, the MPC strategy was demonstrated to ensure the desired maneuvering of the four-DOF half-car ASS [18]. A detailed frequency-domain analysis was conducted on a sports car using an AAS on different road surfaces, and an improvement of 30% in ride comfort was achieved but at the expense of power requirements and associated complex circuitry [19].
Classical on–off controllers like sky-hook and ground-hook control techniques have been experimentally validated extensively in the literature. However, they are not well suited for a multi-objective function. Similarly, a mix-one-sensor controller offers an exclusive control strategy that focuses on the conflicting objectives but not both simultaneously [20]. To enhance sports cars’ suspension travel and safety in a cornering maneuver, actively controlled spoilers were employed using numerical techniques. The normal loads in the front and rear axles were controlled by changing the angle of attack in the opposite direction of the vehicle. However, the study focused only on the critical stability of the vehicle for passive and ASS [21]. A review article published by [22] presented different models of the movable aerodynamic elements for the solution of conflicting parameters, safety, and low fuel consumption of various modern cars. Therefore, the major factor in enhancing ride comfort and maintaining a firm grip along the road surface lay in the effective consideration of the ASS force. By optimizing the application of this force alongside the control force of a SASS, the vehicle could achieve improved stability and enhanced handling capability. Based on the above findings, this paper presents an effective control scheme to enhance a quarter-car semi-active suspension system’s ride comfort and road-holding capability in conjunction with an active airfoil. The classical linear quadratic regulator (LQR), which is well suited for a multi-objective cost function, is employed to meet the conflicting objectives and minimize the objective performance index of the system [23].
The objective of this study can be outlined as follows:
  • In the first place, the effect of the downward active aerodynamic force on a quarter-car model with a SASS is analyzed. The performance measure is optimized to enhance driving comfort and road-holding capabilities simultaneously.
  • Then, the simulation result of an active suspension system that requires external power for the actuator operation and incorporates an active aerodynamic surface is presented as a benchmark case.
  • Finally, a comprehensive comparative study is conducted with the benchmark case and other suspension systems. This evaluation is based on both time- and frequency-domain analyses to assess the suspension performance.
The remainder of the paper is organized in the following manner. Section 2 presents the modeling of the SASS supplemented by an active airfoil. The problem formulation is illustrated in Section 3. Section 4 outlines the optimal control design strategy. Section 5 discusses the results and their implication. Finally, Section 6 concludes the paper.

2. Mathematical Modeling

2.1. Suspension Model

The motion of the quarter of the vehicle is described by two DOFs in the vertical direction relative to the static equilibrium point. The schematics of quarter-car SASS with and without an active airfoil are illustrated in Figure 1a–c. The quarter-car model is augmented by including an active aerodynamic surface, generating a downward aerodynamic lift force u 2 . The differential equations of the SASS quarter-car model in the presence of an active airfoil and external disturbance can be obtained by applying the equation of motion to the free-body diagram in Figure 1b. The dynamic equations of the model are described by Equation (1) and Equation (2), respectively.
m 1 z ¨ 1 + k 1 ( z 1 z 2 ) + [ b 1 + v ( t ) ) ] ( z 1 ˙ z 2 ˙ ) + u 2 = 0
m 2 z ¨ 2 + k 1 ( z 2 z 1 ) + [ b 1 + v ( t ) ] ( z 2 ˙ z 1 ˙ ) + k 2 ( z 2 z o ) = 0
where m 1 is the sprung mass, m 2 is the unsprung mass, b 1 is the passive damping constant, v ( t ) is the variable damping constant, and k 1 , k 2 are the suspension and tire stiffness coefficients of the SASS. The absolute values of the chassis displacement, tire mass assembly displacement, and the roadside kinematic disturbance are shown as z 1 , z 2 , and z 0 , respectively, in the vertical direction relative to the static equilibrium point. The characteristics of the spring constant and damper constant are considered linear [24].
The state vector of the synthesized model incorporating an AAS, is shown in Equation (3).
x = [ z 1 z 2 , z ˙ 1 , z 2 z 0 , z ˙ 2 ] T , w = z ˙ 0
In the quarter-car model, ( z 1 z 2 ) represents the suspension deflection, which is the relative displacement between the sprung mass z 1 and the unsprung mass z 2 . The term z ˙ 1 denotes the sprung mass’s absolute velocity, indicating the change rate of the sprung mass’s displacement. The expression ( z 2 z 0 ) signifies the dynamic tire load, which is the relative displacement between the unsprung mass and road surface z 0 . The parameter z ˙ 2 refers to the absolute velocity of the tire and axle assembly (unsprung), reflecting the rate at which the unsprung mass’s displacement changes. For the simplified two-DOF model, the tire damping coefficient is neglected, as it does not affect the tire hop frequency, despite its dependence on various factors [27]. The deterministic random road excitation velocity signal is denoted by z ˙ 0 . The typical normalized values for the proposed model are detailed in Table 1.
From the table above, the optimal value of the passive damper constant was chosen b 1 = 3 for all systems, while for the SASS, it could take on various values and switch between minimum and maximum values.

2.2. Aerodynamic Force

Aerodynamics studies the motion of air particles and their resultant force on a body by virtue of their interaction. The air pressure gradient distribution on the vehicle’s body results in a net lift force perpendicular to the direction of motion of the car [28]. The primary sources of aerodynamic effect include lift, drag, side wind, rolling moment, pitching moment, and yawing moment. A higher aerodynamic force is required when the car is making a cornering maneuver or if there is a sudden decrease in friction force. Mounting an aerodynamic surface increases the downward force on a vehicle’s axle, enhancing its stability during cornering or sudden wind gusts [29]. Equations (4) and (5) describe the magnitude of the forces during the vehicle’s travel against the random road profile. The net lift force produced by the AAS impacts the chassis’ normal load, affecting the driving comfort, the rattle space, and the tire grip on the road surface.
F l i f t = 1 2 ρ v 2 S C l i f t ( α )
F d r a g = 1 2 ρ v 2 S C d r a g ( α )
where v (m/sec) is the reference wind speed, ρ (kg/m3) is the constant for air density, S is the projected aerodynamic surface area (m2), and α is the angle of attack. C l i f t is the aerodynamic lift coefficient, and C d r a g is the aerodynamic drag coefficient; both depend on the angle of attack, shape, thickness, and surface condition of the AAS [30]. The major factor in enhancing ride comfort and maintaining a firm grip on the road surface lies in the effective consideration of only the active aerodynamic downward force.

2.3. Road Excitation Model

External road disturbance impacts the car and its suspension system. Different types of deterministic and stochastic road disturbances are applied to the vehicle to evaluate the performance of the synthesized model. Road bump refers to the disturbance experienced by a car when it passes through a raised or depressed section of the road surface in the form of speed bumps or potholes. Applying the bump as input disturbance can significantly affect the vehicle’s dynamics. Equations (6) and (7) depict a bump position input and its corresponding velocity vector [31].
z 0 ( t ) = A 1 cos ( 20 π ( t 0.3 ) 0.3 t 0.4 0 else
w ( t ) = 20 A π sin ( 20 π ( t 0.3 ) ) 0.3 t 0.4 0 else
where A = 0.05 m. The rigid body vibration for most vehicles lies between 0.5 Hz and 15 Hz. These vibrations are excited if the corresponding speed of the car is varied from 2 m/s to 60 m/s [32]. The power spectral density (PSD) characterizes the random nature of road surface irregularities across different types of roads [33,34]. The PSD is flat across all frequencies, meaning it has equal power in every frequency band. This property makes additive white Gaussian noise (AWGN) a suitable approximation for the unpredictable variation in road height that a vehicle traverses. In the present work, the co-variance of the dynamic excitation is used to generate the road input profile, as detailed in [16].
E [ w 1 ( t 1 ) w 1 ( t 2 ) ] = 2 π a v 0 δ ( t 1 t 2 )
The one-sided roadside unevenness around the mean point is described by the stochastic stationary process with the PSD defined by Equation (9) [35].
G d ( ω ) = σ 2 π α v 0 w 2 + ( α v 0 ) 2
where v 0 is the car velocity in the forward direction. In Equation (9), it is assumed that the vehicle travels on an asphalt road with 20 m/s. The road surface roughness factor is a = 0.15 m−1, and σ is the standard deviation which takes the value of σ 2 = 9 × 10 6 m2 [16].

3. Problem Formulation

Improving the dynamic performance of the quarter-car SASS collaborated by an AAS is a full feedback optimal control problem, as illustrated in Figure 2. The suspension system performance indices are minimized to achieve optimal values in car body acceleration, suspension rattle space, and road holding [36]. The vector u ( t ) = [ u 1 u 2 ] , represents the control law aimed at minimizing the total cost function of the system [37]. The simulations were performed under the following assumptions.
  • The state variable like suspension deflection, suspension velocity, and tire deflection are available from the output of the LQR controller, which could be detected and fed back.
  • In the simulation, only the downward active aerodynamic force interacting with the vehicle chassis is considered, while all other forces are neglected.
  • To consider the dynamic interaction of the vertical forces on the car chassis, the optimal value of the actuator force for the active suspension system and aerodynamic lift force generated by the AAS were considered to be unconstrained.

4. Optimal Controller Design

The design of a 1/4 car SASS system involves adjusting the target parameters to improve the dynamic response against road unevenness and irregularities. This work aimed to design the optimal controller that could attenuate the exogenous disturbances induced into the car body during the vehicle’s forward motion. For driving comfort, deviation in the car body acceleration was minimized without losing tire grip on the road surface. All these objectives were obtained, keeping the rattle space and the passivity constraints of the variable damper of the SASS. The target parameters were optimized by suitably tuning the weighting constant parameters. The objective cost function of the proposed model is depicted in Equation (10).
J s e m = lim T 1 2 T 0 T x Qx 2 x N v ( x 2 x 4 ) + R v 2 ( x 2 x 4 ) 2 d t
The optimal damping coefficient v ( t ) minimizes the performance objective function subject to the passivity constraints, as described in Equations (11) and (14). Similarly, the bilinear time-varying state equation of the SASS supplemented by an active dynamic surface is described by Equation (11).
x ˙ = Ax B 1 v ( t ) ( x 2 x 4 ) B 2 u 2 + D w x ( 0 ) = x 0
where x 0 represents the initial condition, w shows the input velocity of the kinematic disturbance, and B 1 and B 2 are the input constant matrices. The variable damper coefficient v ( t ) is approximated in Equation (12) by:
u 1 = v ( t ) ( x 2 x 4 )
Similarly, Equation (13) represents the aerodynamic force generated by the AAS in the downward direction.
u 2 = K 2 x
where the variable damper satisfies the following passivity constraints:
v m i n v ( t ) v m a x
Alternatively, the time-varying state equation based on the variable damper coefficient can be described by Equation (15).
x ˙ = A ( v ( t ) ) x B u 2 + D w
A ( v ( t ) ) = 0 1 0 1 k 1 m 1 b 1 + v ( t ) m 1 0 b 1 + v ( t ) m 1 0 0 0 1 k 1 m 2 b 1 + v ( t ) m 2 k 2 m 2 b 1 + v ( t ) m 2
The constant matrices, which represent fixed parameters in the system and remain unchanged throughout the analysis, are depicted as follows:
A = 0 1 0 1 k 1 m 1 b 1 m 1 0 b 1 m 1 0 0 0 1 k 1 m 2 b 1 m 2 k 2 m 2 b 1 m 2 , B 1 = 0 1 m 1 0 1 m 2 ,
B 2 = 0 1 m 1 0 0 , C = 0 1 0 1 , D = 0 0 1 0
Q = ρ 1 + k 1 2 m 1 2 k 1 b 1 m 1 2 0 k 1 b 1 m 1 2 k 1 b 1 m 1 2 b 1 2 m 1 2 0 b 1 2 m 1 2 0 0 ρ 2 0 k 1 b 1 m 1 2 b 1 2 m 1 2 0 b 1 2 m 1 2 , N = k 1 m 1 2 b 1 m 1 2 0 b 1 2 m 1 2 , R = ρ 4 + 1 m 1 2
where C is the output matrix, R is a positive definite weighting matrix, and Q and N are positive semi-definite symmetric matrices [38]. The dynamic model of the SASS is nonlinear, and a limited amount of control force is required to adjust the orifice of the variable damper. Therefore, in the first place, the unconstrained optimization problem for the active suspension system incorporated by an AAS is analytically solved. From Equation (12), the active force from the ASS with an AAS is compared with the control force of the SASS. Following this, the updated value of the variable damper v ( t ) for the SASS is calculated by selecting either the minimum, maximum, or no change in the control force. For the ASS collaborated by an AAS, the control law calculates the optimal feedback gains K 1 and K 2 , which minimizes the total performance criterion and is described by Equation (16).
J a c t = lim T 1 2 T 0 T [ z ¨ 1 2 + ρ 1 ( z 1 z 2 ) 2 + ρ 2 ( z 2 z 0 ) 2 + ρ 3 u 1 + ρ 4 u 2 ] d t
The target performance indices includes the vertical car body acceleration z ¨ 1 , suspension deflection ( z 1 z 2 ) , and dynamic tire load ( z 2 z 0 ) . These indices are associated with passenger comfort, handling, and vehicle dynamic stability. The weighting factors ( ρ 1 , ρ 2 , ρ 3 , ρ 4 ) in the synthesized model are selected based on ride comfort and road holding preferences. In the conventional design of the LQR controller, we can penalize the passenger compartment acceleration (ride comfort) by ρ 1 at the expense of degradation in the road holding. Similarly, ρ 2 prioritizes the road holding index, ρ 3 is selected to minimize the control effort, and ρ 4 is related to the airfoil force. These were the optimized values tuned based on trial and error method and were related to our previous work [16]. The weighting factors were chosen according to specific road and speed conditions. The resultant control force that minimized the above performance criterion is illustrated in Equation (17) as:
u 1 = R 1 ( B P + N P ) x ( t )
P is the solution of the algebraic Riccati equation and is positive definite [39,40]. The Riccati equation for the active suspension system, incorporated by an AAS is given by Equation (18):
A n P + PA n PB R 1 B P + Q n = 0
where the matrices A n and Q n are given by:
A n = A BR 1 N
Q n = Q NR 1 N
Q n is symmetric and non-negative matrix. The nonlinear state equation of the SASS Equations is described by Equation (21), which involves a control switching mechanism of the control variable in the presence of a disturbance signal.
x ˙ = A ( v m i n ) x B 2 u 2 + D w , if u 1 ( x 2 x 4 ) < v m i n ( x 2 x 4 ) 2 , A ( v m a x ) x B 2 u 2 + D w , if u 1 ( x 2 x 4 ) > v m a x ( x 2 x 4 ) 2 , A c x + D w , otherwise .
Equation (22) depicts the closed-loop state-space matrix of the system under the feedback control law:
A c = A n BR 1 B P
Since the SASS does not provide any active supply to the suspension to counter the external vibratory forces, the system is always stable. Only a limited amount of power is required for the modulation mechanism of the variable damper [41]. From Equation (12), the control force from the variable damper of the SASS equipped with an AAS is similar to the ASS without considering the passivity constraints of Equations (11) and (14).
The variable damper force ( v ( t ) = u 1 ( x 2 x 4 ) ) is determined by using the control algorithm in Equation (23). The resultant value is subsequently substituted into the system matrix A ( v ( t ) ) , which becomes piecewise linear. This integrated approach of utilizing the control force of the resultant SASS and aerodynamic force is used to achieve the desired performance metrics.
v ( t ) = v m i n , if u 1 ( x 2 x 4 ) < v m i n ( x 2 x 4 ) 2 , v m a x , if u 1 ( x 2 x 4 ) > v m a x ( x 2 x 4 ) 2 , u 1 ( x 2 x 4 ) , otherwise .
From Equation (12), the objective of the controller is the minimization of the least squares difference ( u 1 v ( t ) ) 2 between the active and semi-active control forces. By using Equation (23) and the well-established rule of calculating the variable damper coefficient v ( t ) , the subsequent values of the variable damping coefficient are replaced with v m i n and v m a x in the time-varying state Equation (21). When encountering a singularity at the point ( x 2 x 4 ) , the optimal controller retains the most recent value of v ( t ) in the simulation.

5. Results and Discussions

Time and frequency-domain analyses were performed to provide a comprehensive insight into how well a vehicle suspension system could manage vibration and shocks from road irregularities, ensuring optimal ride and handling performance. The performance indices were selected based on total performance, passenger comfort level, suspension rattle space, and dynamic tire pressure for a typical passenger car. In the time domain, the resultant mean squared values of the target parameters were compared to the benchmark case and other suspension systems.

5.1. Frequency-Domain Analysis

The frequency-domain analysis investigated the system’s response at various frequencies, evaluating how different frequency components of road disturbances influenced the vehicle’s behavior. A thorough comparative study of the key performance indices for multiple suspension systems was conducted to analyze the aerodynamic effect on suspension performance. The frequency response of LTI systems is obtained by applying the Fourier transform to the dynamic model. However, from Equation (21), it is evident that the state equation/closed-loop system becomes piecewise linear and switches between passive and active systems, describing the dynamic response of the SASS as not linear but bilinear. Therefore, it cannot be solved by using the Fourier Transform of a transfer function. Various methods for determining frequency response functions for nonlinear models can be found in the literature. These include LPV, discrete Fourier transformation, numerical method, and Bartlett and Welch methods for estimating the power spectral density of the signal [42,43].
However, for input road velocity excitation signal ω , the frequency response for the nonlinear model can be calculated by determining the amplitude ratio (amplitude transmissibility) of the input and output signals [44]. Amplitude transmissibility is key in studying vibrational systems, including vehicle suspension systems. It refers to the ratio of the output’s amplitude to the input’s amplitude when reaching steady-state condition [45]. Only the first weighting set with ρ 1 = 10 3 , ρ 2 = 10 4 , ρ 3 = 0.1 , and ρ 4 = 1 was considered for the frequency response calculation. Figure 3, Figure 4 and Figure 5 show the dynamic frequency response of the sprung mass acceleration, suspension travel, and suspension deflection of the quarter-car model in the presence of the AAS. The results showed that the downward active airfoil force on the vehicle chassis, in combination with the control force from the SASS, achieved the best compromise between an ASS with an airfoil and one without it.
Figure 3 shows the invariant resonant peak point remained unchanged regardless of the control law applied. The two resonant peaks in the frequency response, highlighting the metric of passenger comfort, could be improved by modifying the damping constant parameters. However, this enhancement in the first hop resonant frequency would be achieved at the expense of frequency harshness (slow roll-off) at high frequency. From the mode shapes, it is evident that the sprung mass primarily characterized the low-frequency mode shape of the first resonant peak frequency. The vehicle’s unsprung mass mode (tire hop) represents the high resonant peak. The benchmark case of an ASS equipped with an active airfoil dampened the instantaneous deviation in the first hop and at the same time, enhanced road holding. However, in the case of a SASS supplemented by an active airfoil, the response showed that the tire hop frequency was significantly reduced compared to the PASS, ASS, and SASS. However, the low-frequency amplitude response remained considerably lower than that of the passive and SASS near the first hop frequency.
The suspension stroke is kept within a specific limit to protect the vehicle suspension system from any structural damage, as there is limited space under the hood [46]. Figure 4 illustrates the response at low frequency near the sprung mass’s resonant hop frequency significantly reduced rattle space requirements compared to the ASS with and without considering the AAS. However, the response remained within acceptable bounds near the tire hop frequency and performed better than the ASS and semi-active suspension system. From Figure 5, the response from the dynamic tire deflection, which quantifies the road holding capability, stayed lower than the passive suspension system at the car body’s resonant frequency. At the same time, a mixed response was achieved at the tire hop resonant frequency and remained better than that of active and semi-active suspension systems. It can be concluded from the overall response that the proposed model effectively isolated the car body from external road disturbances and improved the target parameters, thereby enhancing ride quality and handling ability compared to other suspension systems.

5.2. Time-Domain Analysis

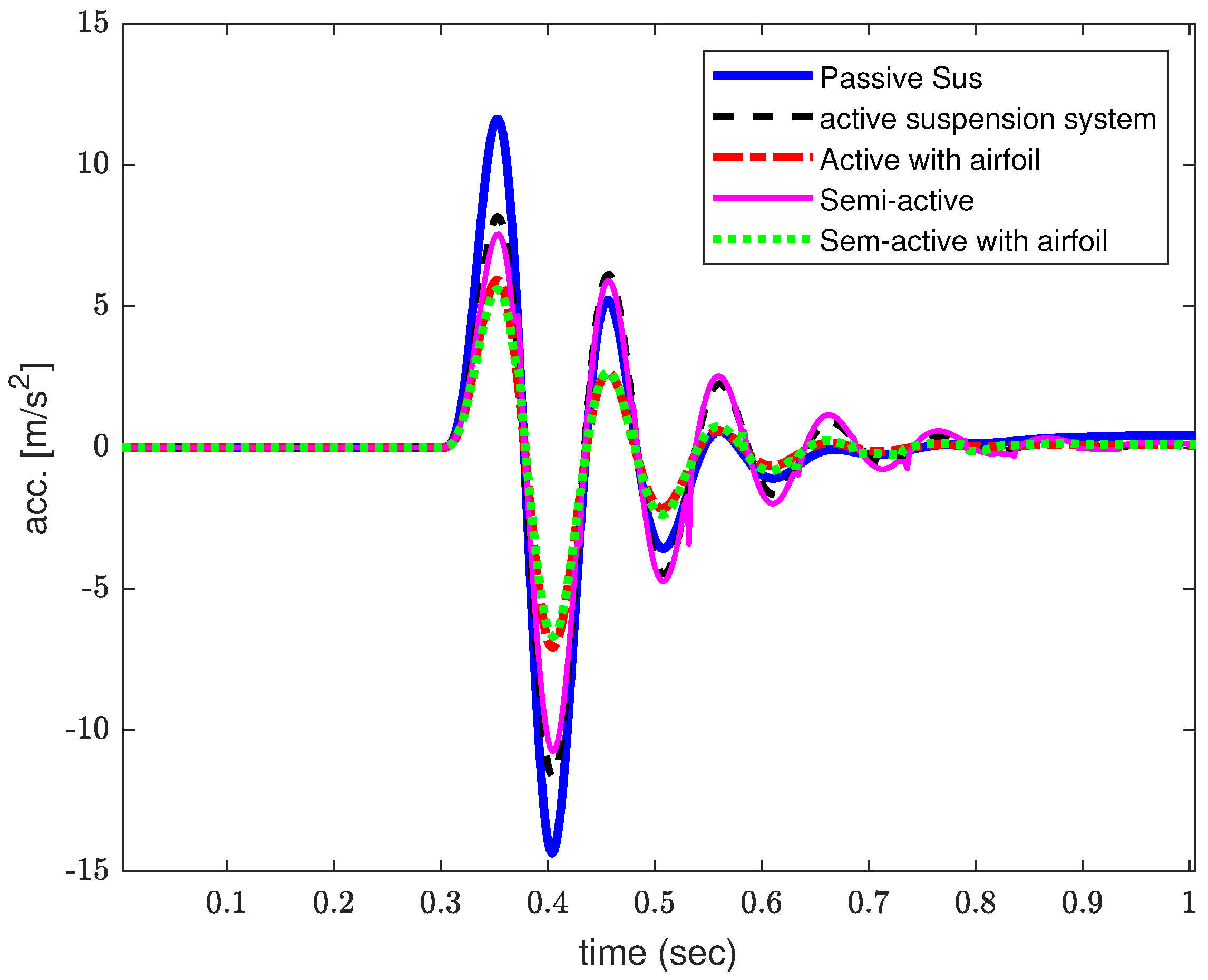
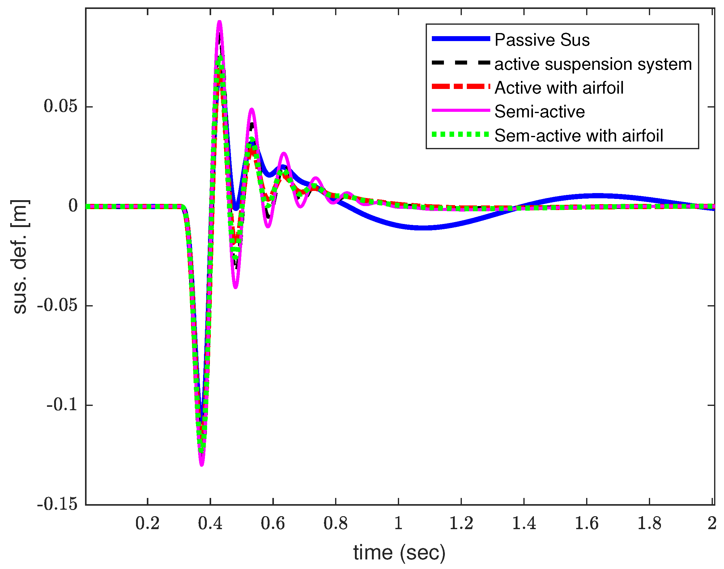
The time-domain analysis focused on how the system responded to various input disturbance signals, examining factors such as transient response, settling time, and amplitude of oscillations. The study aimed to minimize and isolate various road disturbances on the comfort-oriented index without negatively affecting road holding. The target parameters, including car body acceleration, suspension travel, and dynamic tire load, were evaluated using deterministic and random road signals. In the first place, the car was subjected to a bump velocity input disturbance with an amplitude of 0.1 m, as shown in Figure 6. Two different sets of weighting factors were chosen for the simulation. Figure 7, Figure 8 and Figure 9 depict the dynamic response of the model for the first set of weighting constants. The results showed that the benchmark case of an active suspension system with an active airfoil achieved the best performance. However, the proposed model also minimized the deviation in passenger compartment acceleration, suspension rattle space, and total performance while maintaining a firm tire grip on the road surface.
Table 2 and Table 3 compare the results for different suspension systems for the two sets of weighting factors. Equation (24) describes the percentage improvement when calculating the performance indices for various suspension systems. The vehicle’s response to bump input provides valuable information about the system’s effectiveness in isolating the chassis from roadside irregularities, enhancing the occupant’s comfort, and maintaining tire contact with the road. The total performance measure experienced a 49.17 % and 44.88% enhancement compared to the PSS and ASS. Figure 7 demonstrates the sprung mass acceleration, which quantifies the ride comfort index, was reduced to 76.37 % and 65.59 % , respectively, compared to the two systems.
Improvement ( % ) = | Passive Semi-active Passive | × 100
This enhancement resulted in a −35% degradation in road holding for the first set. However, the suspension acceleration, suspension deflection, and rattle space showed a 65.59%, 20.13%, and 12.85% improvement compared to those of the ASS. The results from the second set demonstrated that the controller had effectively managed to reduce the effects of these shocks by isolating it from the car body while maintaining tire contact with the road. Table 3 presents the weighting factors chosen for road-holding preferences. The total performance measure improved by 46.86 % and 36.16 % , respectively, compared to the passive and ASS. Additionally, the ride comfort-oriented index improved by 59.58% and 66%, while the dynamic deflection in the tire load decreased by 42.56 % and 18.43 % , respectively.
To study a more realistic approach, the car was driven against a stationary stochastic white Gaussian noise signal on an asphalt road. AWGN allows a simple and effective way to simulate the broadband spectrum of the disturbance encountered on typical asphalt roads. Results tabulated in Table 4 and Table 5 demonstrate how effectively the system responded to stationary stochastic disturbances. The total performance measure improved by 50.04%, 38.43%, and by 38%, 28.17%, respectively, for the two sets. Similarly, car body acceleration and dynamic tire load remained at 75.78% and −22.31% and 53.91% and 32.65%, respectively, for the two sets of weighting factors. Overall, the second set of weighting factors enhanced all performance indices and effectively addressed the conflicting objectives of ride comfort and road holding. The results confirmed that the proposed model successfully reduced the impact of external disturbances on the vehicle chassis and provided passenger comfort without compromising on the road holding.

6. Conclusions

In this research work, the simulation of a SASS in the presence of an AAS was successfully modeled and implemented. By optimizing the two sets of weighting factors, the optimal controller managed to provide a smoother ride comfort while maintaining a solid tire grip on the road, addressing the inherent trade-off between the two target parameters. The frequency-domain analysis confirmed that the added effect of the AAS successfully mitigated the deviation in the first hop frequency (body hop) and second hop frequency (tire hop) without negatively affecting the road-holding capability. As a benchmark, the active suspension with an active airfoil could effectively reduce the effect of disturbances at the resonant peaks in the car body’s acceleration. However, at the same time, the proposed suspension system had a better low frequency response compared to the PSS, and the passenger comfort was greatly improved at the tire resonant frequency compared to all other systems. From the time-domain results, it is evident that the proposed system significantly reduced the amplitude of vibration under extreme conditions like road bumps, where the total performance was enhanced by 49.17% and 44.88% compared to that of the PSS and ASS for the first weighting set. At the same time, ride comfort saw an improvement of about 76.37% at the expense of about −35% in road holding. However, all target parameters significantly improved compared to those of the ASS. Emphasizing road holding, the indices of the target parameters were considerably enhanced. The ride comfort, road holding, and suspension deflection improved by 59.58%, 42.56%, and 34.07%, respectively, compared to the PSS. When compared to the ASS, these indices showed enhancements of 66%, 18.43%, and 13.25%, respectively. A similar trend was observed for the asphalt road with a stationary stochastic white Gaussian signal. From an overall performance perspective, the proposed model successfully balanced the conflicting goals of passenger comfort and road-holding capability. This model can be extended to the half-car model and full-car models, where a detailed aerodynamic analysis can further substantiate these findings.

Author Contributions

S.B.A. surveyed the background of this research, presented the problem formulation, and designed the control strategy along with MATLAB simulations for the given problem. I.Y. helped validate the research work and review the manuscript and assisted in technical writing and MATLAB simulations. I.Y. conceptualized the research idea and supervised the research. All authors have read and agreed to the published version of the manuscript.

Funding

This research work was supported by the Brain Korea 21 Program (BK-21 Four Program) funded by the Ministry of Education and National Research Foundation (NRF).

Data Availability Statement

All data are contained within the article.

Conflicts of Interest

The authors declare no conflicts of interest.

Abbreviations

The following abbreviations are used in this manuscript:
PSDPower Spectral Density
SASSSemi-active suspension system
AWGNAdditive white Gaussian noise
LQRLinear quadratic regulator
PSSPassive suspension system
PIDProportional–Integral–Derivative
AASActive aerodynamic surface
MPCModel predictive controller

References

  1. Tu, D. Enhancing Road Holding and Vehicle Comfort for an Active Suspension System utilizing Model Predictive Control and Deep Learning. Eng. Technol. Appl. Sci. Res. 2024, 14, 12931–12936. [Google Scholar] [CrossRef]
  2. Ahmed, A.A.; Jomah, O.S. Modeling and control of car active suspension system using a neural network-based controller and linear quadratic regulator controller. In Proceedings of the 2020 IEEE 2nd International Conference on Electronics, Control, Optimization and Computer Science (ICECOCS), Kenitra, Morocco, 2–3 December 2020; IEEE: Piscataway, NJ, USA, 2020; pp. 1–6. [Google Scholar]
  3. Zhu, Q.; Chen, Z.; Yu, D.; Lao, Z.; Zhang, Y. Optimal damping matching of semi-active air suspension based on vehicle comfort and handling. In Technical Report; SAE Technical Paper; SAE International: Warrendale, PA, USA, 2023. [Google Scholar]
  4. Goodarzi, A.; Lu, Y.; Khajepour, A. Suspensions Functions and Main Components. In Vehicle Suspension System Technology and Design; Springer International Publishing: Cham, Switzerland, 2023; pp. 1–9. [Google Scholar] [CrossRef]
  5. Na, J.; Huang, Y.; Wu, X.; Liu, Y.J.; Li, Y.; Li, G. Active suspension control of quarter-car system with experimental validation. IEEE Trans. Syst. Man Cybern. Syst. 2021, 52, 4714–4726. [Google Scholar] [CrossRef]
  6. Ren, Y.; Xie, X.; Sun, J.; Nguyen, A.T. Enhanced Fuzzy Control of Active Vehicle Suspension Systems Based on a Novel HPPD-Type Non-PDC Control Scheme. IEEE/ASME Trans. Mechatron. 2024. [Google Scholar] [CrossRef]
  7. Kumar, V.; Rana, K.; Azar, A.T.; Vaidyanathan, S. Backstepping controller for nonlinear active suspension system. In Backstepping Control of Nonlinear Dynamical Systems; Elsevier: Amsterdam, The Netherlands, 2021; pp. 347–374. [Google Scholar]
  8. Nguyen, T.A.; Iqbal, J.; Tran, T.T.H.; Hoang, T.B. Application of hybrid control algorithm on the vehicle active suspension system to reduce vibrations. Adv. Mech. Eng. 2024, 16, 16878132241239816. [Google Scholar] [CrossRef]
  9. Manna, S.; Mani, G.; Ghildiyal, S.; Stonier, A.A.; Peter, G.; Ganji, V.; Murugesan, S. Ant colony optimization tuned closed-loop optimal control intended for vehicle active suspension system. IEEE Access 2022, 10, 53735–53745. [Google Scholar] [CrossRef]
  10. Theunissen, J.; Tota, A.; Gruber, P.; Dhaens, M.; Sorniotti, A. Preview-based techniques for vehicle suspension control: A state-of-the-art review. Annu. Rev. Control 2021, 51, 206–235. [Google Scholar] [CrossRef]
  11. Čerškus, A.; Ušinskis, V.; Šešok, N.; Iljin, I.; Bučinskas, V. Optimization of Damping in a Semi-Active Car Suspension System with Various Locations of Masses. Appl. Sci. 2023, 13, 5371. [Google Scholar] [CrossRef]
  12. Basargan, H.; Mihály, A.; Gáspár, P.; Sename, O. Intelligent road-adaptive semi-active suspension and integrated cruise control. Machines 2023, 11, 204. [Google Scholar] [CrossRef]
  13. Wu, L.; Zhang, W.; Yuan, D.; Youn, I.; Jia, W. Model predictive control of a semi-active vehicle-mounted vibration isolation platform. Sensors 2023, 24, 243. [Google Scholar] [CrossRef] [PubMed]
  14. Ergin, T.; Yatak, M.Ö. Optimal Control Method of Semi-Active Suspension System and Processor-in-the-Loop Verification. Appl. Sci. 2023, 13, 11253. [Google Scholar] [CrossRef]
  15. Anaya-Martinez, M.; Lozoya-Santos, J.d.J.; Félix-Herrán, L.; Tudon-Martinez, J.C.; Ramirez-Mendoza, R.A.; Morales-Menendez, R. Control of automotive semi-active MR suspensions for in-wheel electric vehicles. Appl. Sci. 2020, 10, 4522. [Google Scholar] [CrossRef]
  16. Youn, I.; Ahmad, E. Anti-jerk optimal preview control strategy to enhance performance of active and semi-active suspension systems. Electronics 2022, 11, 1657. [Google Scholar] [CrossRef]
  17. Ahmad, E.; Song, Y.; Khan, M.A.; Youn, I. Attitude Motion Control of a Half car Model with Tracking Controller Using Aerodynamic Surfaces. In Proceedings of the 2019 International Automatic Control Conference (CACS), Keelung, Taiwan, 13–16 November 2019; IEEE: Piscataway, NJ, USA, 2019; pp. 1–6. [Google Scholar]
  18. Ahmad, E.; Iqbal, J.; Arshad Khan, M.; Liang, W.; Youn, I. Predictive control using active aerodynamic surfaces to improve ride quality of a vehicle. Electronics 2020, 9, 1463. [Google Scholar] [CrossRef]
  19. Corno, M.; Bottelli, S.; Tanelli, M.; Spelta, C.; Savaresi, S.M. Active control of aerodynamic surfaces for ride control in sport vehicles. Ifac Proc. Vol. 2014, 47, 7553–7558. [Google Scholar] [CrossRef]
  20. Savaresi, S.M.; Spelta, C. Mixed Sky-Hook and ADD: Approaching the Filtering Limits of a Semi-Active Suspension. J. Dyn. Syst. Meas. Control 2006, 129, 382–392. [Google Scholar] [CrossRef]
  21. Hosseinian Ahangarnejad, A.; Melzi, S. Numerical analysis of the influence of an actively controlled spoiler on the handling of a sports car. J. Vib. Control 2018, 24, 5437–5448. [Google Scholar] [CrossRef]
  22. Piechna, J. A review of active aerodynamic systems for road vehicles. Energies 2021, 14, 7887. [Google Scholar] [CrossRef]
  23. Akgul, T.; Unluturk, A. Comparison of PSO-LQR and PSO-PID Controller Performances on a Real Quarter Vehicle Suspension. In Proceedings of the 2023 Innovations in Intelligent Systems and Applications Conference (ASYU), Sivas, Turkey, 11–13 October 2023; IEEE: Piscataway, NJ, USA, 2023; pp. 1–6. [Google Scholar]
  24. Savaresi, S.M.; Poussot-Vassal, C.; Spelta, C.; Sename, O.; Dugard, L. Semi-Active Suspension Control Design for Vehicles; Elsevier: Amsterdam, The Netherlands, 2010. [Google Scholar]
  25. Abbas, S.B.; Youn, I. Performance Improvement of Active Suspension System Collaborating with an Active Airfoil Based on a Quarter-Car Model. Vehicles 2024, 6, 1268–1283. [Google Scholar] [CrossRef]
  26. Liu, W.; Wang, R.; Ding, R.; Meng, X.; Yang, L. On-line estimation of road profile in semi-active suspension based on unsprung mass acceleration. Mech. Syst. Signal Process. 2020, 135, 106370. [Google Scholar] [CrossRef]
  27. Akcay, H.; Tuerkay, S. Influence of tire damping on mixed H2/H synthesis of half-car active suspensions. J. Sound Vib. 2009, 322, 15–28. [Google Scholar] [CrossRef]
  28. Manigandan, K. Design and Analysis of a Car Body Using Aerodynamic Model. Int. J. Adv. Sci. Res. Manag. 2024, 9, 1–8. [Google Scholar] [CrossRef]
  29. Kurec, K.; Remer, M.; Mayer, T.; Tudruj, S.; Piechna, J. Flow control for a car-mounted rear wing. Int. J. Mech. Sci. 2019, 152, 384–399. [Google Scholar] [CrossRef]
  30. Qin, P.; Ricci, A.; Blocken, B. CFD simulation of aerodynamic forces on the DrivAer car model: Impact of computational parameters. J. Wind Eng. Ind. Aerodyn. 2024, 248, 105711. [Google Scholar] [CrossRef]
  31. Ahmad, E.; Youn, I. Performance Improvement of a Vehicle Equipped with Active Aerodynamic Surfaces Using Anti-Jerk Preview Control Strategy. Sensors 2022, 22, 8057. [Google Scholar] [CrossRef] [PubMed]
  32. Tyan, F.; Hong, Y.F.; Tu, S.H.; Jeng, W.S. Generation of random road profiles. J. Adv. Eng. 2009, 4, 1373–1378. [Google Scholar]
  33. ISO 8608; Mechanical Vibration—Road Surface Profiles—Reporting of Measured Data. International Standards Organisation: Geneva, Switzerland, 2016.
  34. Lenkutis, T.; Čerškus, A.; Šešok, N.; Dzedzickis, A.; Bučinskas, V. Road surface profile synthesis: Assessment of suitability for simulation. Symmetry 2020, 13, 68. [Google Scholar] [CrossRef]
  35. Gopala Rao, L.; Sharma, R.C.; Satyanarayana, V.; Palli, S. Stochastic optimal preview control response of a quarter-car nonlinear suspension model using spectral decomposition method. Noise Vib. Worldw. 2022, 53, 225–232. [Google Scholar] [CrossRef]
  36. Boulaaras, Z.; Aouiche, A.; Chafaa, K. Optimal and Robust Control of Active Suspension System for a Quarter Car Model. Aijr Abstr. 2024, 39–41. [Google Scholar]
  37. Fu, Q.; Wu, J.; Yu, C.; Feng, T.; Zhang, N.; Zhang, J. Linear Quadratic Optimal Control with the Finite State for Suspension System. Machines 2023, 11, 127. [Google Scholar] [CrossRef]
  38. Abut, T.; Salkim, E. Control of quarter-car active suspension system based on optimized fuzzy linear quadratic regulator control method. Appl. Sci. 2023, 13, 8802. [Google Scholar] [CrossRef]
  39. Lu, Y.; Khajepour, A.; Hajiloo, R.; Korayem, A.H.; Zhang, R. A New Integrated Skyhook-Linear Quadratic Regulator Coordinated Control Approach for Semi-Active Vehicle Suspension Systems. J. Dyn. Syst. Meas. Control 2023, 145, 034501. [Google Scholar] [CrossRef]
  40. Zhao, W.; Gu, L. Hybrid particle swarm optimization genetic LQR controller for active suspension. Appl. Sci. 2023, 13, 8204. [Google Scholar] [CrossRef]
  41. Soliman, A.; Kaldas, M. Semi-active suspension systems from research to mass-market–A review. J. Low Freq. Noise Vib. Act. Control 2021, 40, 1005–1023. [Google Scholar] [CrossRef]
  42. Klockiewicz, Z.; Ślaski, G. The estimation of frequency response of nonlinear quarter car model and bilinear model of damper characteristics. In Proceedings of the IOP Conference Series: Materials Science and Engineering, Montreal, QC, Canada, 18–22 May 2022; IOP Publishing: Bristol, UK, 2022; Volume 1247, p. 012007. [Google Scholar]
  43. Poussot-Vassal, C.; Sename, O.; Dugard, L.; Gaspar, P.; Szabo, Z.; Bokor, J. A new semi-active suspension control strategy through LPV technique. Control Eng. Pract. 2008, 16, 1519–1534. [Google Scholar] [CrossRef]
  44. Khajepour, A.; Goodarzi, A. Vehicle Suspension System Technology and Design; Morgan Claypool Publishing: San Rafael, CA, USA, 2017. [Google Scholar]
  45. Shi, B.; Dai, W.; Yang, J. Performance enhancement of vehicle suspension system with geometrically nonlinear inerters. Arch. Appl. Mech. 2024, 94, 39–55. [Google Scholar] [CrossRef]
  46. Li, P.; Nguyen, A.T.; Du, H.; Wang, Y.; Zhang, H. Polytopic LPV approaches for intelligent automotive systems: State of the art and future challenges. Mech. Syst. Signal Process. 2021, 161, 107931. [Google Scholar] [CrossRef]
Figure 1. Simplified models of the 2-DOF quarter of the vehicle: (a) ASS with an active airfoil [25], (b) SASS with an active airfoil, (c) SASS only [26].
Figure 1. Simplified models of the 2-DOF quarter of the vehicle: (a) ASS with an active airfoil [25], (b) SASS with an active airfoil, (c) SASS only [26].
Electronics 13 03884 g001
Figure 2. Block diagram for an SASS with an active airfoil.
Figure 2. Block diagram for an SASS with an active airfoil.
Electronics 13 03884 g002
Figure 3. Car body acceleration for various suspension systems.
Figure 3. Car body acceleration for various suspension systems.
Electronics 13 03884 g003
Figure 4. Car suspension deflection for various suspension systems.
Figure 4. Car suspension deflection for various suspension systems.
Electronics 13 03884 g004
Figure 5. Car tire deflection for various suspension systems.
Figure 5. Car tire deflection for various suspension systems.
Electronics 13 03884 g005
Figure 6. Road shock against various systems.
Figure 6. Road shock against various systems.
Electronics 13 03884 g006
Figure 7. Sprung mass acceleration for various suspension systems.
Figure 7. Sprung mass acceleration for various suspension systems.
Electronics 13 03884 g007
Figure 8. Suspension deflection for various suspension systems.
Figure 8. Suspension deflection for various suspension systems.
Electronics 13 03884 g008
Figure 9. Dynamic tire deflection for various suspension systems.
Figure 9. Dynamic tire deflection for various suspension systems.
Electronics 13 03884 g009
Table 1. Quarter-car suspension system model parameters.
Table 1. Quarter-car suspension system model parameters.
DefinitionParameterUnitValue
Sprung mass m 1 kg m 1 = 1
Unsprung mass m 2 kg m 2 = 0.1 m 1
Suspension stiffness k 1 N/m k 1 = 36 m 1
Tire stiffness k 2 N/m k 2 = 360 m 1
Passive damping coefficient b 1 N.s/m b 1 = 3 m 1
Minimum damping coeff. v m i n N.s/m v m i n = 1 m 1
Max. damping coeff. v m a x N.s/m v m a x = 17 m 1
Table 2. Performance indices with first set of weighting factors ρ 1 = 10 3 ,   ρ 2 = 10 4 ,   ρ 3 = 0.1 ,   ρ 4 = 1 .
Table 2. Performance indices with first set of weighting factors ρ 1 = 10 3 ,   ρ 2 = 10 4 ,   ρ 3 = 0.1 ,   ρ 4 = 1 .
Sus. SystemBody Acceleration. (%)Tire Deflection (%)Suspension Deflection (%)Per. Index. (%)
Passive sus. sys.100100100100
Active sus. sys.68.68169.13127.0292.22
Active sus. with an airfoil25.60119.47100.8448.60
Semi-active suspension sys.62.16192.75140.4092.88
Semi-active sus. with an airfoil.23.63135.07110.6850.83
Table 3. Performance indices with second set of weighting factors ρ 1 = 10 3 ,   ρ 2 = 10 5 ,   ρ 3 = 0.1 ,   ρ 4 = 1 .
Table 3. Performance indices with second set of weighting factors ρ 1 = 10 3 ,   ρ 2 = 10 5 ,   ρ 3 = 0.1 ,   ρ 4 = 1 .
Sus. SystemBody Acceleration. (%)Tire Deflection (%)Suspension Deflection (%)Per. Index. (%)
Passive sus. sys.100100100100
Active sus. sys.119.2270.427683.25
Active sus. with an airfoil37.7653.3465.6949.48
Semi-active suspension sys.120.1871.9176.2584.58
Semi-active sus. with an airfoil.40.4257.4465.9353.14
Table 4. Performance indices with the first set of weighting factors ρ 1 = 10 3 , ρ 2 = 10 4 , ρ 3 = 0.1 , ρ 4 = 1 .
Table 4. Performance indices with the first set of weighting factors ρ 1 = 10 3 , ρ 2 = 10 4 , ρ 3 = 0.1 , ρ 4 = 1 .
Sus. SystemBody Acceleration. (%)Tire Deflection (%)Suspension Deflection (%)Per. Index. (%)
Passive sus. sys.100100100100
Active sus. sys.60.13148.6693.9481.15
Active sus. with an airfoil25.18112.5483.4348.16
Semi-active suspension sys.55.15162.55101.881.15
Semi-active sus. with an airfoil.24.22122.318949.96
Table 5. Performance indices with first set of weighting factors ρ 1 = 10 3 ,   ρ 2 = 10 5 ,   ρ 3 = 0.1 ,   ρ 4 = 1 .
Table 5. Performance indices with first set of weighting factors ρ 1 = 10 3 ,   ρ 2 = 10 5 ,   ρ 3 = 0.1 ,   ρ 4 = 1 .
Sus. SystemBody Acceleration. (%)Tire Deflection (%)Suspension Deflection (%)Per. Index. (%)
Passive sus. sys.100100100100
Active sus. sys.116.6776.4868.8886.28
Active sus. with an airfoil41.6063.5766.4458.17
Semi-active suspension sys.115.5277.3871.2686.72
Semi-active sus. with an airfoil.46.0967.3565.3861.97
Disclaimer/Publisher’s Note: The statements, opinions and data contained in all publications are solely those of the individual author(s) and contributor(s) and not of MDPI and/or the editor(s). MDPI and/or the editor(s) disclaim responsibility for any injury to people or property resulting from any ideas, methods, instructions or products referred to in the content.

Share and Cite

MDPI and ACS Style

Abbas, S.B.; Youn, I. Optimal Control of a Semi-Active Suspension System Collaborated by an Active Aerodynamic Surface Based on a Quarter-Car Model. Electronics 2024, 13, 3884. https://doi.org/10.3390/electronics13193884

AMA Style

Abbas SB, Youn I. Optimal Control of a Semi-Active Suspension System Collaborated by an Active Aerodynamic Surface Based on a Quarter-Car Model. Electronics. 2024; 13(19):3884. https://doi.org/10.3390/electronics13193884

Chicago/Turabian Style

Abbas, Syed Babar, and Iljoong Youn. 2024. "Optimal Control of a Semi-Active Suspension System Collaborated by an Active Aerodynamic Surface Based on a Quarter-Car Model" Electronics 13, no. 19: 3884. https://doi.org/10.3390/electronics13193884

APA Style

Abbas, S. B., & Youn, I. (2024). Optimal Control of a Semi-Active Suspension System Collaborated by an Active Aerodynamic Surface Based on a Quarter-Car Model. Electronics, 13(19), 3884. https://doi.org/10.3390/electronics13193884

Note that from the first issue of 2016, this journal uses article numbers instead of page numbers. See further details here.

Article Metrics

Back to TopTop