Start-Up and Steady-State Regimes Automatic Separation in Induction Motors by Means of Short-Time Statistics
Abstract
1. Introduction
2. Materials and Methods
2.1. Magnetic Stray Flux
2.2. Statistical Indicators
2.3. Particle Swarm Optimization (PSO)
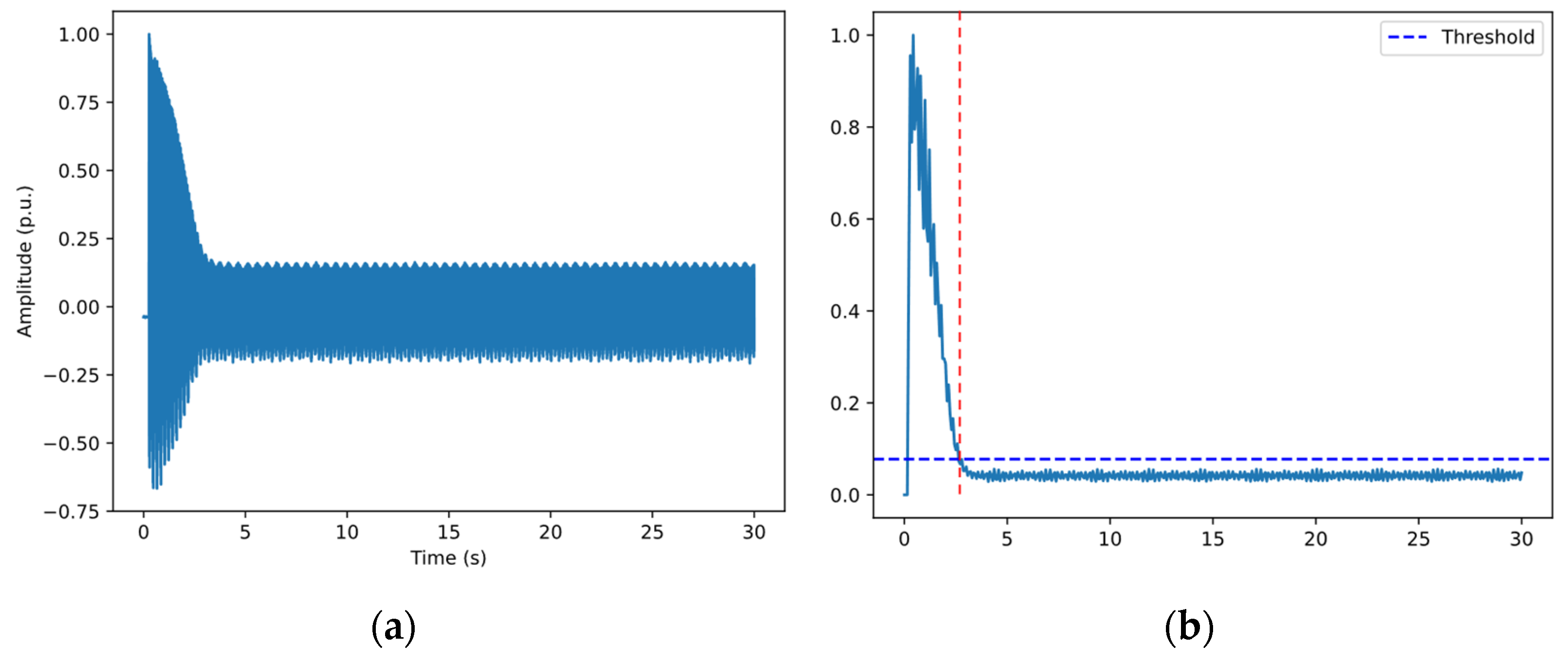
2.4. Short-Time Statistics and Short-Time Variance
2.5. Proposed Variance Method
3. Proposed Methodology
4. Experimental Setup
5. Results and Discussion
6. Conclusions
Author Contributions
Funding
Institutional Review Board Statement
Informed Consent Statement
Data Availability Statement
Acknowledgments
Conflicts of Interest
References
- Grupo-ABB. Powering the World Economy: Is There a Better Way to Use Electricity? Grupo-ABB: Zurich, Switzerland, 2015. [Google Scholar]
- Garcia, M.; Panagiotou, P.A.; Antonino-Daviu, J.A.; Gyftakis, K.N. Efficiency assessment of induction motors operating under different faulty conditions. IEEE Trans. Ind. Electron. 2018, 66, 8072–8081. [Google Scholar] [CrossRef]
- Nandi, S.; Toliyat, H.A.; Li, X. Condition monitoring and fault diagnosis of electrical motors—A review. IEEE Trans. Energy Convers. 2005, 20, 719–729. [Google Scholar] [CrossRef]
- Lee, S.B.; Hyun, D.; Kang, T.J.; Yang, C.; Shin, S.; Kim, H.; Kim, H.D. Identification of False Rotor Fault Indications Produced by Online MCSA for Medium-Voltage Induction Machines. IEEE Trans. Ind. Appl. 2016, 52, 729–739. [Google Scholar] [CrossRef]
- Kumar, R.R.; Andriollo, M.; Cirrincione, G.; Cirrincione, M.; Tortella, A. A Comprehensive Review of Conventional and Intelligence-Based Approaches for the Fault Diagnosis and Condition Monitoring of Induction Motors. Energies 2022, 15, 8938. [Google Scholar] [CrossRef]
- Acosta, G.G.; Verucchi, C.; Gelso, E. A current monitoring system for diagnosing electrical failures in induction motors. Mech. Syst. Signal Process. 2006, 20, 953–965. [Google Scholar] [CrossRef]
- Saucedo-Dorantes, J.J.; Zamudio-Ramirez, I.; Cureno-Osornio, J.; Osornio-Rios, R.A.; Antonino-Daviu, J.A. Condition monitoring 252 method for the detection of fault graduality in outer race bearing based on vibration-current fusion, statistical features and neural 253 network. Appl. Sci. 2021, 11, 8033. [Google Scholar] [CrossRef]
- Gyftakis, K.N.; Panagiotou, P.A.; Spyrakis, D. Detection of simultaneous mechanical faults in 6-kV pumping induction motors using combined MCSA and stray flux methods. IET Electr. Power Appl. 2021, 15, 643–652. [Google Scholar] [CrossRef]
- Gaeid, K.S.; Ping, H.W.; Khalid, M.; Salih, A.L. Fault diagnosis of induction motor using MCSA and FFT. Electr. Electron. Eng. 2011, 1, 85–92. [Google Scholar]
- Lee, S.B.; Stone, G.; Antonino-Daviu, J.; Gyftakis, K.; Strangas, E.; Maussion, P.; Platero, C. Recent challenges in condition monitoring of industrial electric machines. IEEE Ind. Electron. Mag. 2020, 14, 158–167. [Google Scholar] [CrossRef]
- Kim, H.; Lee, S.B.; Park, S.; Kia, S.H.; Capolino, G.-A. Reliable Detection of Rotor Faults Under the Influence of Low-Frequency Load Torque Oscillations for Applications with Speed Reduction Couplings. IEEE Trans. Ind. Appl. 2016, 52, 1460–1468. [Google Scholar] [CrossRef]
- Park, Y.; Choi, H.; Shin, J.; Park, J.; Lee, S.B.; Jo, H. Airgap Flux Based Detection and Classification of Induction Motor Rotor and Load Defects During the Starting Transient. IEEE Trans. Ind. Electron. 2020, 67, 10075–10084. [Google Scholar] [CrossRef]
- Antonino-Daviu, J. Electrical monitoring under transient conditions: A new paradigm in electric motors predictive maintenance. Appl. Sci. 2020, 10, 6137. [Google Scholar] [CrossRef]
- Delgado-Arredondo, P.A.; Garcia-Perez, A.; Morinigo-Sotelo, D.; Osornio-Rios, R.A.; Avina-Cervantes, J.G.; Rostro-Gonzalez, H.; Romero-Troncoso, R.d.J. Comparative study of time-frequency decomposition techniques for fault detection in induction motors using vibration analysis during startup transient. Shock Vib. 2015, 2015, 708034. [Google Scholar] [CrossRef]
- Jeon, H.; Jung, Y.; Lee, S.; Jung, Y. Area-Efficient Short-Time Fourier Transform Processor for Time–Frequency Analysis of Non-Stationary Signals. Appl. Sci. 2020, 10, 7208. [Google Scholar] [CrossRef]
- Yakhni, M.F.; Cauet, S.; Sakout, A.; Assoum, H.; Etien, E.; Rambault, L.; El-Gohary, M. Variable speed induction motors’ fault detection based on transient motor current signatures analysis: A review. Mech. Syst. Signal Process. 2023, 184, 109737. [Google Scholar] [CrossRef]
- Valtierra-Rodriguez, M.; Rivera-Guillen, J.R.; Basurto-Hurtado, J.A.; De-Santiago-Perez, J.J.; Granados-Lieberman, D.; Amezquita-Sanchez, J.P. Convolutional Neural Network and Motor Current Signature Analysis during the Transient State for Detection of Broken Rotor Bars in Induction Motors. Sensors 2020, 20, 3721. [Google Scholar] [CrossRef]
- Fernandez-Cavero, V.; Morinigo-Sotelo, D.; Duque-Perez, O.; Pons-Llinares, J. A Comparison of Techniques for Fault Detection in Inverter-Fed Induction Motors in Transient Regime. IEEE Access 2017, 5, 8048–8063. [Google Scholar] [CrossRef]
- Lee, C.-Y.; Cheng, Y.-H. Motor Fault Detection Using Wavelet Transform and Improved PSO-BP Neural Network. Processes 2020, 8, 1322. [Google Scholar] [CrossRef]
- Su, G.; Wang, P.; Guo, Y.; Cheng, G.; Wang, S.; Zhao, D. Multiparameter Identification of Permanent Magnet Synchronous Motor Based on Model Reference Adaptive System—Simulated Annealing Particle Swarm Optimization Algorithm. Electronics 2022, 11, 159. [Google Scholar] [CrossRef]
- Deng, Y.; Zhu, J.; Liu, H. The Improved Particle Swarm Optimization Method: An Efficient Parameter Tuning Method with the Tuning Parameters of a Dual-Motor Active Disturbance Rejection Controller. Sensors 2023, 23, 8605. [Google Scholar] [CrossRef]
- Valtierra-Rodriguez, M.; Rivera-Guillen, J.R.; De Santiago-Perez, J.J.; Perez-Soto, G.I.; Amezquita-Sanchez, J.P. Expert System Based on Autoencoders for Detection of Broken Rotor Bars in Induction Motors Employing Start-Up and Steady-State Regimes. Machines 2023, 11, 156. [Google Scholar] [CrossRef]
- Bellini, A.; Concari, C.; Franceschini, G.; Tassoni, C.; Toscani, A. Vibrations, currents and stray flux signals to asses induction motors rotor conditions. In Proceedings of the IECON 2006-32nd Annual Conference on IEEE Industrial Electronics, Paris, France, 7–10 November 2006; pp. 4963–4968. [Google Scholar]
- Romary, R.; Roger, D.; Brudny, J.F. Analytical computation of an AC machine external magnetic field. Eur. Phys. J.-Appl. Phys. 2009, 47, 31102. [Google Scholar] [CrossRef]
- Romary, R.; Pusca, R.; Lecointe, J.; Brudny, J. Electrical machines fault diagnosis by stray flux analysis. In Proceedings of the 2013, IEEE Workshop on Electrical Machines Design, Control and Diagnosis (WEMDCD), Paris, France, 11–12 March 2013; pp. 247–256. [Google Scholar]
- Caesarendra, W.; Tjahjowidodo, T. A review of feature extraction methods in vibration-based condition monitoring and its application for degradation trend estimation of low-speed slew bearing. Machines 2017, 5, 21. [Google Scholar] [CrossRef]
- Huerta-Rosales, J.R.; Granados-Lieberman, D.; Garcia-Perez, A.; Camarena-Martinez, D.; Amezquita-Sanchez, J.P.; Valtierra Rodriguez, M. Short-circuited turn fault diagnosis in transformers by using vibration signals, statistical time features, and support vector machines on FPGA. Sensors 2021, 21, 3598. [Google Scholar] [CrossRef]
- Ramírez-Ochoa, D.-D.; Pérez-Domínguez, L.A.; Martínez-Gómez, E.-A.; Luviano-Cruz, D. PSO, a Swarm Intelligence-Based Evolutionary Algorithm as a Decision-Making Strategy: A Review. Symmetry 2022, 14, 455. [Google Scholar] [CrossRef]















| Time-Domain Features | Mathematical Equations | |
|---|---|---|
| Arithmetic mean | (1) | |
| Maximum value | (2) | |
| RMS | (3) | |
| SRM | (4) | |
| Standard Deviation | (5) | |
| Variance | (6) | |
| Skewness | (7) | |
| 5th Moment | (8) | |
| 6th Moment | (9) |
| Number of Repetitions | Time of Start-Up Transient (s) | ||||
|---|---|---|---|---|---|
| 4 | 6 | 8 | 10 | ||
| Power supply frequency | 45 Hz | 8 | 8 | 8 | 8 |
| 50 Hz | 8 | 8 | 8 | 8 | |
| 60 Hz | 8 | 8 | 8 | 8 | |
Disclaimer/Publisher’s Note: The statements, opinions and data contained in all publications are solely those of the individual author(s) and contributor(s) and not of MDPI and/or the editor(s). MDPI and/or the editor(s) disclaim responsibility for any injury to people or property resulting from any ideas, methods, instructions or products referred to in the content. |
© 2024 by the authors. Licensee MDPI, Basel, Switzerland. This article is an open access article distributed under the terms and conditions of the Creative Commons Attribution (CC BY) license (https://creativecommons.org/licenses/by/4.0/).
Share and Cite
Cureño-Osornio, J.; Alvarez-Ugalde, C.A.; Zamudio-Ramirez, I.; Osornio-Rios, R.A.; Dunai, L.; Turcanu, D.; Antonino-Daviu, J.A. Start-Up and Steady-State Regimes Automatic Separation in Induction Motors by Means of Short-Time Statistics. Electronics 2024, 13, 3850. https://doi.org/10.3390/electronics13193850
Cureño-Osornio J, Alvarez-Ugalde CA, Zamudio-Ramirez I, Osornio-Rios RA, Dunai L, Turcanu D, Antonino-Daviu JA. Start-Up and Steady-State Regimes Automatic Separation in Induction Motors by Means of Short-Time Statistics. Electronics. 2024; 13(19):3850. https://doi.org/10.3390/electronics13193850
Chicago/Turabian StyleCureño-Osornio, Jonathan, Carlos A. Alvarez-Ugalde, Israel Zamudio-Ramirez, Roque A. Osornio-Rios, Larisa Dunai, Dinu Turcanu, and Jose A. Antonino-Daviu. 2024. "Start-Up and Steady-State Regimes Automatic Separation in Induction Motors by Means of Short-Time Statistics" Electronics 13, no. 19: 3850. https://doi.org/10.3390/electronics13193850
APA StyleCureño-Osornio, J., Alvarez-Ugalde, C. A., Zamudio-Ramirez, I., Osornio-Rios, R. A., Dunai, L., Turcanu, D., & Antonino-Daviu, J. A. (2024). Start-Up and Steady-State Regimes Automatic Separation in Induction Motors by Means of Short-Time Statistics. Electronics, 13(19), 3850. https://doi.org/10.3390/electronics13193850

