Evaluation of Traffic Engineering Routing Models Based on Type of Service in Communication Networks
Abstract
1. Introduction
- Analyze existing traffic engineering (TE) principles and technologies by comprehensively reviewing current TE specifications, technologies with TE support, and advanced solutions.
 - Develop an updated multipath routing model based on type of service (ToS) by formulating new load-balancing conditions, prioritizing packet flows according to their QoS requirements, and defining a mathematical model integrating ToS into traffic engineering for more precise service differentiation.
 - Perform a numerical analysis of the proposed TE solutions by conducting numerical experiments on different network topologies using the proposed ToS-based routing models and analyzing two variants of initial data to assess the performance of different load-balancing conditions.
 - Evaluate the effectiveness of load-balancing models in handling packet flows with different priorities and compare the results to identify the most suitable model for achieving a differentiated QoS.
 - Discuss the implications of the numerical research results regarding their practical application in communication networks.
 - Provide recommendations for implementing the most effective load-balancing model in real-world networks to improve service differentiation, based on flow priority.
 - Conclude the study by summarizing the research findings, thereby highlighting the significance of the selected model and its contribution to enhancing the QoS in traffic engineering.
 
2. Overview of Technological and Theoretical Solutions for Traffic Engineering
2.1. Analysis of the Basic Principles of Traffic Engineering in IP Networks under Existing Specifications
- path selection policy;
 - resource management (redundancy, bandwidth allocation, network device queue management, etc.) to control losses and delays.
 
- Constraint-based routing;
 - RSVP and RSVP-TE;
 - MPLS and generalized MPLS (GMPLS);
 - IP performance metrics (IPPM);
 - Flow measurement;
 - Endpoint congestion management;
 - TE extensions to the IGPs (IS-IS and OSPF)
 - BGP—link state;
 - Path computation element;
 - Segment routing (SR);
 - Tree engineering for the bit index’s explicit replication;
 - Network TE state definition and presentation;
 - System management and control interfaces.
 
2.2. Technologies with TE Support
2.3. Advanced Solutions with TE Support
3. Traffic Engineering Multipath Routing Model, Based on the Type of Service
- The additive form of the first term in Equation (14) emphasizes the selection of routes with the minimum number of hops.
 - Including link capacity in the denominator prioritizes selecting links and routes with maximum capacity.
 - Introducing packet-flow priority as a power of 10 ensures that higher-priority flows are transmitted via routes with fewer hops than lower-priority flows, particularly when multiple routes possess identical bandwidths but differ in terms of hop counts.
 
4. Numerical Research of the Proposed ToS Traffic Engineering Solutions in a Communication Network
4.1. Analysis of Initial Data
- TE model, which describes a classical traffic engineering solution based on solving an optimization problem with an optimality criterion (6) and constraints (1)–(4);
 - ToS-TE1 model, which is based on solving the optimization problem with an optimality criterion (14) and constraints (1), (2), (7), (8), and (13);
 - ToS-TE2 model, which is based on solving the optimization problem with an optimality criterion (14) and constraints (1), (2), (8), (9), and (13);
 - ToS-TE3 model, which is based on solving an optimization problem with an optimality criterion (14) and constraints (1), (2), (8), (10), and (13);
 - ToS-TE4 model, which is based on solving an optimization problem with an optimality criterion (14) and constraints (1), (2), (8), (11), and (13).
 
- Path 1: ;
 - Path 2: ;
 - Path 3: ;
 - Path 4: ;
 - Path 5: .
 
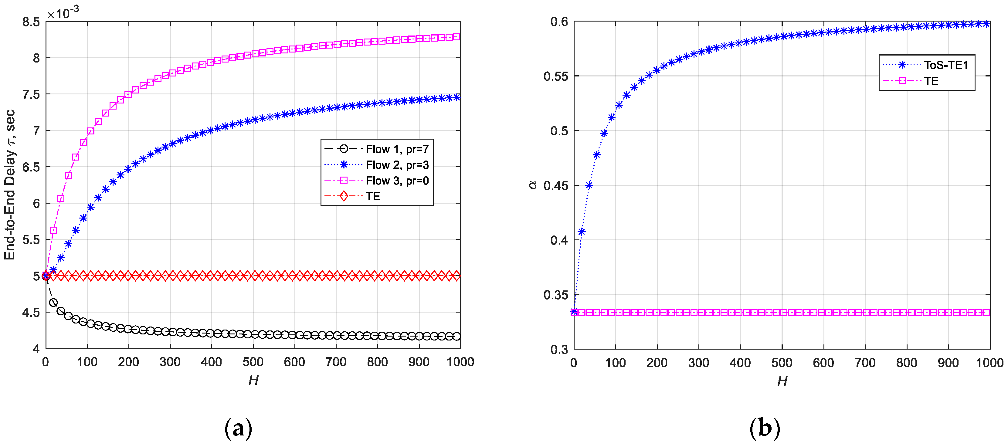
4.2. Research Results for the First Variant of the Initial Data
4.3. Research Results for the Second Variant of the Initial Data
5. Discussion
6. Conclusions
Author Contributions
Funding
Data Availability Statement
Conflicts of Interest
Abbreviations
| BGP | Border Gateway Protocol | 
| DetNet | Deterministic networking | 
| DiffServ | Differentiated services | 
| ECMP | Equal-cost multi-path | 
| EGP | Exterior gateway protocol | 
| FHRP | First hop redundancy protocol | 
| GLBP | Gateway load-balancing protocol | 
| IGP | Interior gateway protocol | 
| IntServ | Integrated services | 
| IP | Internet protocol | 
| IS-IS | Intermediate system to intermediate system | 
| ML | Machine learning | 
| MPLS | Multiprotocol label switching | 
| OSPF | Open shortest path first | 
| QoS | Quality of service | 
| RL | Reinforcement learning | 
| RSVP | Resource reservation protocol | 
| SDN | Software-defined network | 
| SR | Segment routing | 
| TE | Traffic engineering | 
| ToS | Type of service | 
| WSN | Wireless sensor network | 
References
- Barreiros, M.; Lundqvist, P. QoS-Enabled networks: Tools and foundations; John Wiley & Sons: Hoboken, NJ, USA, 2016; 256p. [Google Scholar]
 - Mohammed, S.A.; Ralescu, A.L. Future Internet Architectures on an Emerging Scale—A Systematic Review. Future Internet 2023, 15, 166. [Google Scholar] [CrossRef]
 - Karakus, M.; Durresi, A. Quality of Service (QoS) in Software Defined Networking (SDN): A survey. J. Netw. Comput. Appl. 2017, 80, 200–218. [Google Scholar] [CrossRef]
 - Cristobo, L.; Ibarrola, E.; Casado-O’Mara, I.; Zabala, L. Global Quality of Service (QoX) Management for Wireless Networks. Electronics 2024, 13, 3113. [Google Scholar] [CrossRef]
 - Tache, M.D.; Păscuțoiu, O.; Borcoci, E. Optimization Algorithms in SDN: Routing, Load Balancing, and Delay Optimization. Appl. Sci. 2024, 14, 5967. [Google Scholar] [CrossRef]
 - Black, D.; Jones, P. RFC 7657: Differentiated Services (DiffServ) and Real-Time Communication. 2015. Available online: https://datatracker.ietf.org/doc/html/rfc7657 (accessed on 2 August 2024).
 - Farrel, A. RFC 9522: Overview and Principles of Internet Traffic Engineering. 2024. Available online: https://datatracker.ietf.org/doc/html/rfc9522#name-multi-layer-traffic-enginee (accessed on 2 August 2024).
 - Introduction to MPLS Traffic Engineering (TE). Available online: https://networklessons.com/mpls/introduction-to-mpls-traffic-engineering-te (accessed on 2 August 2024).
 - Szarkowicz, K.G.; Roberts, R.; Boucadair, M.; Contreras, L.M. A Realization of Network Slices for 5G Networks Using Current IP/MPLS Technologies. 2024. Available online: https://datatracker.ietf.org/doc/draft-ietf-teas-5g-ns-ip-mpls/ (accessed on 2 August 2024).
 - Awduche, D.; Berger, L.; Gan, D.; Li, T.; Srinivasan, V.; Swallow, G. RFC 3209: RSVP-TE: Extensions to RSVP for LSP Tunnels. 2001. Available online: https://datatracker.ietf.org/doc/html/rfc3209 (accessed on 2 August 2024).
 - Filsfils, C.; Previdi, S.; Ginsberg, L.; Decraene, B.; Litkowski, S.; Shakir, R. RFC 8402: Segment Routing Architecture. 2018. Available online: https://datatracker.ietf.org/doc/html/rfc8402 (accessed on 2 August 2024).
 - Le Faucheur, F. RFC 4804: Aggregation of Resource ReSerVation Protocol (RSVP) Reservations over MPLS TE/DS-TE Tunnels. 2007. Available online: https://datatracker.ietf.org/doc/rfc4804/ (accessed on 2 August 2024).
 - Ayyangar, A.; Kompella, K.; Vasseur, J.P.; Farrel, A. RFC 5150: Label Switched Path Stitching with Generalized Multiprotocol Label Switching Traffic Engineering (GMPLS TE). 2008. Available online: https://datatracker.ietf.org/doc/rfc5150/ (accessed on 2 August 2024).
 - Yin, Y.; Kuo, G.S. An improved OSPF-TE in GMPLS-based optical networks. In Proceedings of the 2005 Workshop on High Performance Switching and Routing (HPSR), Hong Kong, China, 12–14 May 2005; pp. 241–245. [Google Scholar] [CrossRef]
 - Ceccarelli, D.; Zhang, F.; Belotti, S.; Rao, R.; Drake, J. RFC 7138: Traffic Engineering Extensions to OSPF for GMPLS Control of Evolving G. 709 Optical Transport Networks. 2014. Available online: https://datatracker.ietf.org/doc/html/rfc7138 (accessed on 2 August 2024).
 - Previdi, S.; Giacalone, S.; Ward, D.; Drake, J.; Wu, Q. RFC 7810: IS-IS Traffic Engineering (TE) Metric Extensions. 2016. Available online: https://datatracker.ietf.org/doc/html/rfc7810 (accessed on 2 August 2024).
 - Ginsberg, L.; Previdi, S.; Giacalone, S.; Ward, D.; Drake, J.; Wu, Q. RFC 8570: IS-IS Traffic Engineering (TE) Metric Extensions. 2019. Available online: https://datatracker.ietf.org/doc/rfc8570/ (accessed on 2 August 2024).
 - Li, T.; Smit, H. RFC 5305: IS-IS Extensions for Traffic Engineering. 2008. Available online: https://datatracker.ietf.org/doc/html/rfc5305 (accessed on 2 August 2024).
 - Saud, N.; Mansour, M. Performance Evaluation of First Hop Redundancy Protocols in IPv4 and IPv6 Networks. In Proceedings of the 2023 IEEE 3rd International Maghreb Meeting of the Conference on Sciences and Techniques of Automatic Control and Computer Engineering (MI-STA), Benghazi, Libya, 1–23 May 2023; pp. 440–445. [Google Scholar] [CrossRef]
 - Julia, I.; Suseno, H.; Wardhani, L.; Khairani, D.; Hulliyah, K.; Muharram, A. Performance Evaluation of First Hop Redundancy Protocol (FHRP) on VRRP, HSRP, GLBP with Routing Protocol BGP and EIGRP. In Proceedings of the 2020 8th International Conference on Cyber and IT Service Management (CITSM), Pangkal, Indonesia, 23–24 October 2020; pp. 1–5. [Google Scholar] [CrossRef]
 - Wibowo, F.; Yulianto, F.; Nuha, H. Performance Comparison Analysis of Virtual Router Redundancy Protocol (VRRP) with Gateway Load Balancing Protocol (GLBP) on a DMVPN Network. In Proceedings of the 2023 11th International Conference on Information and Communication Technology (ICoICT), Melaka, Malaysia, 23–24 August 2023; pp. 499–504. [Google Scholar] [CrossRef]
 - Agarwal, A.; Sharma, S. Performance Evaluation of HSRP, GLBP and VRRP with Interior Gateway Routing Protocol and Exterior Gateway Routing Protocol. In Proceedings of the 2022 12th International Conference on Cloud Computing, Data Science & Engineering (Confluence), Noida, India, 27–28 January 2022; pp. 153–158. [Google Scholar] [CrossRef]
 - Ould-Brahim, H.; Fedyk, D.; Rekhter, Y. RFC 5543: BGP Traffic Engineering Attribute. 2009. Available online: https://datatracker.ietf.org/doc/html/rfc5543 (accessed on 2 August 2024).
 - Understand BGP Dynamic Segment Routing Traffic Engineering. 2022. Available online: https://www.cisco.com/c/en/us/support/docs/ip/border-gateway-protocol-bgp/213934-understanding-bgp-dynamic-segment-routin.html (accessed on 2 August 2024).
 - Filsfils, C.; Previdi, S.; Dawra, G.; Aries, E.; Afanasiev, D. RFC 9087: Segment Routing Centralized BGP Egress Peer Engineering. 2021. Available online: https://datatracker.ietf.org/doc/rfc9087/ (accessed on 2 August 2024).
 - Chen, J.; Wang, Y.; Wen, J.; Zhang, Q.; Qiu, X. An Efficient Local Search Algorithm for Traffic Engineering in Segment Routing Networks. In Proceedings of the 2023 24st Asia-Pacific Network Operations and Management Symposium (APNOMS), Sejong, Republic of Korea, 6–8 September 2023; pp. 223–226. [Google Scholar]
 - Arabas, P.; Jóźwik, T.; Niewiadomska-Szynkiewicz, E. Router Activation Heuristics for Energy-Saving ECMP and Valiant Routing in Data Center Networks. Energies 2023, 16, 4136. [Google Scholar] [CrossRef]
 - Pinyoanuntapong, P.; Lee, M.; Wang, P. Delay-Optimal Traffic Engineering through Multi-agent Reinforcement Learning. In Proceedings of the IEEE INFOCOM 2019—IEEE Conference on Computer Communications Workshops (INFOCOM WKSHPS), Paris, France, 29 April–2 May 2019; pp. 435–442. [Google Scholar] [CrossRef]
 - Wu, W.; Wang, X.; Hawbani, A.; Liu, P.; Zhao, L.; Al-Dubai, A. FLORA: Fuzzy Based Load-Balanced Opportunistic Routing for Asynchronous Duty-Cycled WSNs. IEEE Trans. Mob. Comput. 2023, 22, 253–268. [Google Scholar] [CrossRef]
 - Hardegen, C. Predictive Flow Load Profiling for Intelligent Network Routing Decisions. In Proceedings of the 2023 14th International Conference on Network of the Future (NoF), Izmir, Turkiye, 4–6 October 2023; pp. 62–70. [Google Scholar] [CrossRef]
 - Guo, Y.; Huang, K.; Hu, C.; Yao, J.; Zhou, S. Traffic engineering in dynamic hybrid segment routing networks. Comput. Mater. Contin. 2021, 68, 655–670. [Google Scholar] [CrossRef]
 - Tang, Q.; Yang, R.; Guo, Y. Reinforcement Learning with Contrastive Unsupervised Representations for Traffic Engineering in Hybrid SDN. In Proceedings of the 2023 15th International Conference on Communication Software and Networks (ICCSN), Shenyang, China, 21–23 July 2023; pp. 118–122. [Google Scholar] [CrossRef]
 - Ye, M.; Hu, Y.; Zhang, J.; Guo, Z.; Chao, H. Mitigating Routing Update Overhead for Traffic Engineering by Combining Destination-Based Routing with Reinforcement Learning. IEEE J. Sel. Areas Commun. 2022, 40, 2662–2677. [Google Scholar] [CrossRef]
 - Ye, M.; Member, I.; Guo, Z.; Chao, H.J. FlexDATE: Flexible and Disturbance-Aware Traffic Engineering with Reinforcement Learning in Software-Defined Networks. IEEE/ACM Trans. Netw. 2023, 31, 1433–1448. [Google Scholar] [CrossRef]
 - Ye, M.; Zhang, J.; Guo, Z.; Chao, H. Roracle: Enabling Lookahead Routing for Scalable Traffic Engineering with Supervised Learning. In Proceedings of the 2023 IEEE 31st International Conference on Network Protocols (ICNP), Reykjavik, Iceland, 10–13 October 2023; pp. 1–11. [Google Scholar] [CrossRef]
 - Salman, M.I.; Wang, B. Boosting performance for software defined networks from traffic engineering perspective. Comput. Commun. 2021, 167, 55–62. [Google Scholar] [CrossRef]
 - Brundiers, A.; Schüller, T.; Aschenbruck, N. Tactical Traffic Engineering with Segment Routing Midpoint Optimization. In Proceedings of the 2023 IFIP Networking Conference (IFIP Networking), Barcelona, Spain, 12–15 June 2023; pp. 1–9. [Google Scholar] [CrossRef]
 - Lemeshko, O.; Yeremenko, O.; Yevdokymenko, M.; Lemeshko, V.; Persikov, M. QoS-Aware Adaptation Traffic Engineering Solution for Multipath Routing in Communication Network. In Information and Communication Technologies and Sustainable Development, Proceedings of the ICT&SD 2022; Lecture Notes in Networks and Systems; Springer: Cham, Switzerland, 2023; Volume 809, pp. 133–150. [Google Scholar] [CrossRef]
 - Barkalov, A.; Lemeshko, O.; Yeremenko, O.; Titarenko, L.; Yevdokymenko, M. Solving Load Balancing Problems in Routing and Limiting Traffic at the Network Edge. Appl. Sci. 2023, 13, 9489. [Google Scholar] [CrossRef]
 - Lemeshko, O.; Yeremenko, O.; Yevdokymenko, M.; Shapovalova, A.; Baranovskyi, O. Complex Investigation of the Compromise Probability Behavior in Traffic Engineering Oriented Secure Routing Model in Software-Defined Networks. In Future Intent-Based Networking; Lecture Notes in Electrical Engineering; Springer: Cham, Switzerland, 2022; Volume 831, pp. 145–160. [Google Scholar] [CrossRef]
 - Seok, Y.; Lee, Y.; Choi, Y.; Kim, C. Dynamic Constrained Multipath Routing for MPLS Net-works. In Proceedings of the Tenth International Conference on Computer Communications and Networks (Cat. No. 01EX495), Scottsdale, AZ, USA, 15–17 October 2001; pp. 348–353. [Google Scholar] [CrossRef]
 - Lee, Y.; Seok, Y.; Choi, Y.; Kim, C. A constrained multipath traffic engineering scheme for MPLS networks. In Proceedings of the 2002 IEEE International Conference on Communications. Conference Proceedings. ICC 2002 (Cat. No. 02CH37333), New York, NY, USA, 28 April 2002–2 May 2002; Volume 4, pp. 2431–2436. [Google Scholar] [CrossRef]
 











| Ref. | Year | Key Contribution | Underlying Approach | Application | 
|---|---|---|---|---|
| [26] | 2023 | Heuristic traffic engineering algorithm SR-ELS that effectively reduces maximum link utilization and improves traffic engineering in segment routing networks. | Heuristics | Segment routing network | 
| [27] | 2023 | Router activation heuristics for energy-saving ECMP and valiant routing in data center networks effectively reduce energy consumption in computing systems; energy-aware routing. | Heuristics | Data center network | 
| [28] | 2019 | Model-free traffic engineering framework that adopts multi-agent reinforcement learning for distributed control to minimize end-to-end delay in large-scale multi-hop networks. | Multi-agent learning system and reinforcement learning | Large-scale network | 
| [29] | 2023 | Fuzzy-based load-balanced opportunistic routing for asynchronous duty-cycled WSNs (FLORA) that achieves better performance in terms of energy consumption, overhead packets, waiting times, packet delivery ratios, and network lifetime compared to other protocols. | Fuzzy logic | WSN | 
| [30] | 2023 | A self-driving system for intelligent flow routing in programmable networks is proposed. Compared to equal-cost multi-pathing (ECMP), it improves load-sharing and path utilization in programmable networks.  | Machine learning traffic prediction | Programmable networks | 
| [31] | 2021 | The traffic engineering weight adjustment algorithm WASAR is used to optimize routing in a dynamic hybrid SR network. | Optimization | Hybrid segment routing networks | 
| [32] | 2023 | The traffic engineering approach, combining contrastive learning and reinforcement learning, significantly improves hybrid SDN performance by adapting to fast-changing network flows. | Optimization, contrastive learning, and reinforcement learning | Hybrid SDN | 
| [33] | 2022 | A destination-based traffic engineering solution, FlexEntry, reduces time complexity and routing update overhead while maintaining good network performance by intelligently selecting critical entries with reinforcement learning and optimizing traffic split ratios with linear programming. | Optimization and reinforcement learning | SDN | 
| [34] | 2023 | A flexible and disturbance-aware traffic engineering solution, FlexDATE, which can achieve near-optimal performance, can generalize well to unseen traffic scenarios, and will remain resilient to single-link failures. | Optimization, reinforcement learning, and linear programming | SDN | 
| [35] | 2023 | A scalable learning-based TE, Roracle, which can quickly predict a good routing strategy for a long sequence of future traffic matrices. | Optimization, supervised learning, and linear programming | SDN | 
| [36] | 2021 | The RACKE+AD system, which combines oblivious routing and average delay, significantly improves the performance and resource utilization of software-defined networks. | Optimization | SDN | 
| [37] | 2023 | MOLS is a new segment routing-based optimization algorithm that performs similarly to conventional methods but requires fewer policies. This results in faster deployment and the removal of congestion in sub-second time frames. | Midpoint optimization | Backbone networks | 
| [38] | 2023 | QoS-Aware adaptation traffic engineering solution for multipath routing when the network load balancing is optimized, so that more priority flows are routed through links that are less loaded than those links through which packets of lower-priority flows are transmitted. | Optimization | SDN | 
| [39] | 2023 | Two modifications of the traffic engineering routing were created, including the linear limitation model (TER-LLM) and traffic engineering limitation (TER-TEL), each considering the main features of packet flow: intensity and priority. | Optimization | Network Edge | 
| [40] | 2022 | Secure traffic engineering routing model with modified load-balancing conditions, considering network characteristics such as topology, features of the traffic being transmitted, and the link bandwidth and the probabilities of their being compromised. The model allows for the reduction of the links load with a high value of compromise probability, while more traffic will be transmitted over secure links. | Optimization | SDN | 
| Symbol | Meaning | 
|---|---|
| graph presenting the network structure | |
| set of vertices simulating the routers | |
| set of arcs representing the links | |
| source node | |
| destination node | |
| ) | |
| capacity (packets per second, or pps) | |
| kth flow average packet rate (pps) | |
| kth flow precedence | |
| utilization coefficient | 
| Variant | Link Bandwidth, pps | |||||||
|---|---|---|---|---|---|---|---|---|
| E1,2 | E2,5 | E1,3 | E3,5 | E1,4 | E4,5 | E3,2 | E3,4 | |
| 1 | 600 | 600 | 600 | 600 | 600 | 600 | 600 | 600 | 
| 2 | 350 | 700 | 900 | 350 | 350 | 800 | 900 | 900 | 
| Model Type | End-to-End Delay for Flow IP-Precedence (Milliseconds) | Upper Bound of Link Utilization, α  | ||
|---|---|---|---|---|
| Flow 1 | Flow 2 | Flow 3 | ||
| IP Precedence 7 | IP Precedence 3 | IP Precedence 0 | ||
| ToS-TE1 | Down to 4.13 ms | Up to 7.85 ms | Up to 8.57 ms | Up to 0.61 | 
| ↓ to 17.4% | ↑ to 57% | ↑ to 71.5% | ↑ to 83% | |
| ToS-TE2 | 4.13 ms | 7.85 ms | 8.57 ms | 0.61 | 
| ↓ in 17.4% | ↑ in 57% | ↑ in 71.5% | ↑ in 83% | |
| ToS-TE3 | Down to 4.6 ms | Up to 5.1 ms | Up to 5.74 ms | Up to 0.42 | 
| ↓ to 8% | ↑ to 2% | ↑ to 14.8% | ↑ to 26% | |
| ToS-TE4 | 4.6 ms | 5.1 ms | 5.74 ms | 0.42 | 
| ↓ in 8% | ↑ in 2% | ↑ in 14.8% | ↑ in 26% | |
| Model Type | End-to-End Delay for Flow IP-Precedence (Milliseconds) | Upper Bound of Link Utilization, α  | ||
|---|---|---|---|---|
| Flow 1 | Flow 2 | Flow 3 | ||
| IP Precedence 7 | IP Precedence 3 | IP Precedence 0 | ||
| ToS-TE1 | Down to 5 ms | Up to 12.7 ms | Up to 20.2 ms | Up to 0.835 | 
| ↓ to 17% | ↑ to 2.12 times | ↑ to 3.37 times | ↑ to 2.27 times | |
| ToS-TE2 | 5 ms | 12.7 ms | 20.2 ms | 0.835 | 
| ↓ in 17% | ↑ by 2.12 times | ↑ by 3.37 times | ↑ by 2.27 times | |
| ToS-TE3 | 5–5.2 ms | 5.56–6 ms | 6.8–8 ms | 0.375–0.5 | 
| ↓ From 13.7 to 17% | ↓ to 17.3% | ↑ From 13 to 33% | ↑ to 33% | |
| ToS-TE4 | 5 ms | 6 ms | 8 ms | 0.5 | 
| ↓ in 17% | not changed | ↑ in 33% | ↑ in 33% | |
Disclaimer/Publisher’s Note: The statements, opinions and data contained in all publications are solely those of the individual author(s) and contributor(s) and not of MDPI and/or the editor(s). MDPI and/or the editor(s) disclaim responsibility for any injury to people or property resulting from any ideas, methods, instructions or products referred to in the content.  | 
© 2024 by the authors. Licensee MDPI, Basel, Switzerland. This article is an open access article distributed under the terms and conditions of the Creative Commons Attribution (CC BY) license (https://creativecommons.org/licenses/by/4.0/).
Share and Cite
Barkalov, A.; Lemeshko, O.; Persikov, A.; Yeremenko, O.; Titarenko, L. Evaluation of Traffic Engineering Routing Models Based on Type of Service in Communication Networks. Electronics 2024, 13, 3638. https://doi.org/10.3390/electronics13183638
Barkalov A, Lemeshko O, Persikov A, Yeremenko O, Titarenko L. Evaluation of Traffic Engineering Routing Models Based on Type of Service in Communication Networks. Electronics. 2024; 13(18):3638. https://doi.org/10.3390/electronics13183638
Chicago/Turabian StyleBarkalov, Alexander, Oleksandr Lemeshko, Anatoliy Persikov, Oleksandra Yeremenko, and Larysa Titarenko. 2024. "Evaluation of Traffic Engineering Routing Models Based on Type of Service in Communication Networks" Electronics 13, no. 18: 3638. https://doi.org/10.3390/electronics13183638
APA StyleBarkalov, A., Lemeshko, O., Persikov, A., Yeremenko, O., & Titarenko, L. (2024). Evaluation of Traffic Engineering Routing Models Based on Type of Service in Communication Networks. Electronics, 13(18), 3638. https://doi.org/10.3390/electronics13183638
        
