CTRNet: An Automatic Modulation Recognition Based on Transformer-CNN Neural Network
Abstract
1. Introduction
2. Signal Modeling for the AMR Problem
3. Proposed Model
3.1. Preprocessing Stage of IQ Data
3.2. Embedding Module
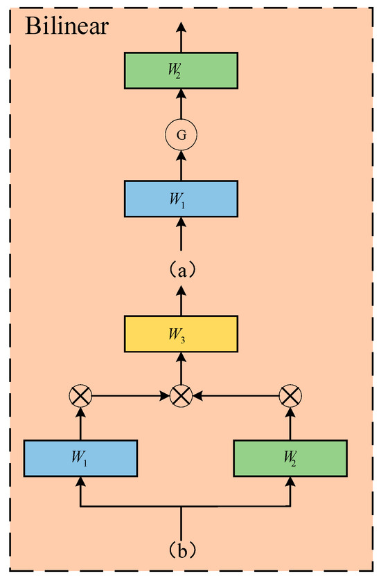
3.3. Architecture of Transformer Encoder
3.3.1. Multi-Head Self-Attention (MHSA)
3.3.2. Feedforward Neural Network
3.3.3. Encoder Data Processing Flow
4. Performance Evaluation
4.1. Experimental Dataset and Implementation Details
4.2. Performance Comparison of Encoder before and after Improvement
4.3. Parameter Analysis
4.4. Comparison Experiments with Baseline Models
4.5. Comparison Using Different Datasets
4.6. Data Classification Visualization Analysis
5. Conclusions
Author Contributions
Funding
Data Availability Statement
Conflicts of Interest
References
- Peng, S.; Sun, S.; Yao, Y.-D. A survey of modulation classification using deep learning: Signal representation and data preprocessing. IEEE Trans. Neural Netw. Learn. Syst. 2022, 33, 7020–7038. [Google Scholar] [CrossRef] [PubMed]
- Liang, Y.-C.; Chen, K.-C.; Li, G.Y.; Mahonen, P. Cognitive radio networking and communications: An overview. IEEE Trans. Veh. Technol. 2011, 60, 3386–3407. [Google Scholar] [CrossRef]
- Zheng, S.; Qi, P.; Chen, S.; Yang, X. Fusion methods for CNN-based automatic modulation classification. IEEE Access 2019, 7, 66496–66504. [Google Scholar] [CrossRef]
- Dobre, O.; Abdi, A.; Bar-Ness, Y.; Su, W. Survey of automatic modulation classification techniques: Classical approaches and new trends. IET Commun. 2007, 1, 137–156. [Google Scholar] [CrossRef]
- Hameed, F.; Dobre, O.A.; Popescu, D.C. On the likelihood-based approach to modulation classification. IEEE Trans. Wireless Commun. 2009, 8, 5884–5892. [Google Scholar] [CrossRef]
- Chugg, K.M.; Long, C.S.; Polydoros, A. Combined likelihood power estimation and multiple hypothesis modulation classification. In Proceedings of the Conference Record of the Twenty-Ninth Asilomar Conference on Signals, Systems and Computers, Pacific Grove, CA, USA, 30 October–1 November 1995; Volume 2, pp. 1137–1141. [Google Scholar]
- Nandi, A.K.; Azzouz, E.E. Algorithms for automatic modulation recognition of communication signals. IEEE Trans. Commun. 1997, 46, 431–436. [Google Scholar] [CrossRef]
- Azzouz, E.; Nandi, A.K. Procedure for automatic recognition of analogue and digital modulations. IEE Proc. Commun. 1996, 143, 259–266. [Google Scholar] [CrossRef]
- Wei, W.; Mendel, J.M. Maximum-likelihood classification for digital amplitude-phase modulations. IEEE Trans. Commun. 2000, 48, 189–193. [Google Scholar] [CrossRef]
- Huang, S.; Yao, Y.; Wei, Z.; Feng, Z.; Zhang, P. Automatic modulation classification of overlapped sources using multiple cumulants. IEEE Trans. Veh. Technol. 2016, 66, 6089–6101. [Google Scholar] [CrossRef]
- Tian, J.; Pei, Y.; Huang, Y.D.; Liang, Y.C. Modulation-constrained clustering approach to blind modulation classification for MIMO systems. IEEE Trans. Cogn. Commun. Netw. 2018, 4, 894–907. [Google Scholar] [CrossRef]
- Kim, K.; Polydoros, A. Digital modulation classification: The BPSK versus QPSK case. In Proceedings of the MILCOM 88, 21st Century Military Communications-What’s Possible? Conference Record. Military Communications Conference, San Diego, CA, USA, 23–26 October 1988; IEEE: New York, NY, USA, 1988; pp. 431–436. [Google Scholar]
- Polydoros, A.; Kim, K. On the detection and classification of quadrature digital modulations in broad-band noise. IEEE Trans. Commun. 1990, 38, 1199–1211. [Google Scholar] [CrossRef]
- Wong, M.D.; Ting, S.K.; Nandi, A.K. Na¨ıve Bayes classification of adaptive broadband wireless modulation schemes with higher order cumulants. In Proceedings of the 2008 2nd International Conference on Signal Processing and Communication Systems, Gold Coast, QLD, Australia, 15–17 December 2008; IEEE: New York, NY, USA, 2008; pp. 1–5. [Google Scholar]
- DeSimio, M.P.; Prescott, G.E. Adaptive generation of decision functions for classification of digitally modulated signals. In Proceedings of the IEEE 1988 National Aerospace and Electronics Conference, Dayton, OH, USA, 23–27 May 1988; IEEE: New York, NY, USA, 1988; pp. 1010–1014. [Google Scholar]
- Wu, H.-C.; Saquib, M.; Yun, Z. Novel automatic modulation classification using cumulant features for communications via multipath channels. IEEE Trans. Wirel. Commun. 2008, 7, 3098–3105. [Google Scholar]
- Lopatka, J.; Pedzisz, M. Automatic modulation classification using statistical moments and a fuzzy classifier. In Proceedings of the WCC 2000-ICSP 2000. 2000 5th International Conference on Signal Processing Proceedings. 16th World Computer Congress 2000, Beijing, China, 21–25 August 2000; IEEE: New York, NY, USA, 2000; Volume 3, pp. 1500–1506. [Google Scholar]
- Swami, A.; Sadler, B.M. Hierarchical digital modulation classification using cumulants. IEEE Trans. Commun. 2000, 48, 416–429. [Google Scholar] [CrossRef]
- Aslam, M.W.; Zhu, Z.; Nandi, A.K. Automatic modulation classification using combination of genetic programming and KNN. IEEE Trans. Wirel. Commun. 2012, 11, 2742–2750. [Google Scholar]
- Dobre, O.A.; Bar-Ness, Y.; Su, W. Higher-order cyclic cumulants for high order modulation classification. In Proceedings of the IEEE Military Communications Conference, 2003. MILCOM 2003, Boston, MA, USA, 13–16 October 2003; IEEE: New York, NY, USA, 2003; Volume 1, pp. 112–117. [Google Scholar]
- Orlic, V.D.; Dukic, M.L. Automatic modulation classification algorithm using higher-order cumulants under real-world channel conditions. IEEE Commun. Lett. 2009, 13, 917–919. [Google Scholar] [CrossRef]
- Hsue, S.-Z.; Soliman, S.S. Automatic modulation recognition of digitally modulated signals. In Proceedings of the IEEE Military Communications Conference, ‘Bridging the Gap. Interoperability, Survivability, Security’, Boston, MA, USA, 15–18 October 1989; IEEE: New York, NY, USA, 1989; pp. 645–649. [Google Scholar]
- Fontes, A.I.; Pasa, L.A.; de Sousa, V.A., Jr.; Abinader, F.M., Jr.; Costa, J.A.; Silveira, L.F. Automatic modulation classification using information theoretic similarity measures. In Proceedings of the 2012 IEEE Vehicular Technology Conference (VTC Fall), Quebec City, QC, Canada, 3–6 September 2012; IEEE: New York, NY, USA, 2012; pp. 1–5. [Google Scholar]
- Azzouz, E.E.; Nandi, A.K. Automatic identification of digital modulation types. Signal Process. 1995, 47, 55–69. [Google Scholar] [CrossRef]
- Lin, X.; Eldemerdash, Y.A.; Dobre, O.A.; Zhang, S.; Li, C. Modulation classification using received signal’s amplitude distribution for coherent receivers. IEEE Photonics Technol. Lett. 2017, 29, 1872–1875. [Google Scholar] [CrossRef]
- Xie, W.; Hu, S.; Yu, C.; Zhu, P.; Peng, X.; Ouyang, J. Deep learning in digital modulation recognition using high order cumulants. IEEE Access 2019, 7, 63760–63766. [Google Scholar] [CrossRef]
- Qi, P.; Zhou, X.; Zheng, S.; Li, Z. Automatic modulation classification based on deep residual networks with multimodal information. IEEE Trans. Cognit. Commun. Netw. 2021, 7, 21–33. [Google Scholar] [CrossRef]
- O’Shea, T.J.; Corgan, J.; Clancy, T.C. Convolutional radio modulation recognition networks. In Proceedings of the International Conference on Engineering Applications of Neural Networks, Aberdeen, UK, 2–5 September 2016; Springer: Berlin/Heidelberg, Germany, 2016; pp. 213–226. [Google Scholar]
- O’Shea, T.J.; Roy, T.; Clancy, T.C. Over-the-air deep learning based radio signal classification. IEEE J. Sel. Top. Signal Process. 2018, 12, 168–179. [Google Scholar] [CrossRef]
- O’Shea, T.J.; West, N. Radio machine learning dataset generation with gnu radio. In Proceedings of the GNU Radio Conference, Boulder, CO, USA, 12–16 September 2016; Volume 1. [Google Scholar]
- Li, X.; Huang, Z.; Wang, F.; Wang, X.; Liu, T. Toward convolutional neural networks on pulse repetition interval modulation recognition. IEEE Commun. Lett. 2018, 22, 2286–2289. [Google Scholar] [CrossRef]
- Qu, Q.; Wei, S.; Wu, Y.; Wang, M. ACSE networks and autocorrelation features for PRI modulation recognition. IEEE Commun. Lett. 2020, 24, 1729–1733. [Google Scholar] [CrossRef]
- Han, J.-W.; Park, C.H. A unified method for deinterleaving and PRI modulation recognition of radar pulses based on deep neural networks. IEEE Access 2021, 9, 89360–89375. [Google Scholar] [CrossRef]
- Rajendran, S.; Meert, W.; Giustiniano, D.; Lenders, V.; Pollin, S. Deep learning models for wireless signal classification with distributed low-cost spectrum sensors. IEEE Trans. Cognit. Commun. Netw. 2018, 4, 433–445. [Google Scholar] [CrossRef]
- Hong, D.; Zhang, Z.; Xu, X. Automatic modulation classification using recurrent neural networks. In Proceedings of the 2017 3rd IEEE International Conference on Computer and Communications (ICCC), Chengdu, China, 13–16 December 2017; pp. 695–700. [Google Scholar]
- Liu, Z.-M.; Philip, S.Y. Classification, denoising, and deinterleaving of pulse streams with recurrent neural networks. IEEE Trans. Aerosp. Electron. Syst. 2018, 55, 1624–1639. [Google Scholar] [CrossRef]
- Li, X.; Liu, Z.; Huang, Z. Attention-based radar PRI modulation recognition with recurrent neural networks. IEEE Access 2020, 8, 57426–57436. [Google Scholar] [CrossRef]
- Li, X.; Liu, Z.; Huang, Z.; Liu, W. Radar emitter classification with attention-based multi-RNNs. IEEE Commun. Lett. 2020, 24, 2000–2004. [Google Scholar] [CrossRef]
- Li, Y.; Zhu, M.; Ma, Y.; Yang, J. Work modes recognition and boundary identification of MFR pulse sequences with a hierarchical seq2seq LSTM. IET Radar Sonar Navig. 2020, 14, 1343–1353. [Google Scholar] [CrossRef]
- Xu, J.; Luo, C.; Parr, G.; Luo, Y. A spatiotemporal multi-channel learning framework for automatic modulation recognition. IEEE Wireless Commun. Lett. 2020, 9, 1629–1632. [Google Scholar] [CrossRef]
- Wang, T.; Hou, Y.; Zhang, H.; Guo, Z. Deep learning-based modulation recognition with multi-cue fusion. IEEE Wireless Commun. Lett. 2021, 10, 1757–1760. [Google Scholar] [CrossRef]
- Zhang, Z.; Luo, H.; Wang, C.; Gan, C.; Xiang, Y. Automatic modulation classification using CNN-LSTM based dual-stream structure. IEEE Trans. Veh. Technol. 2020, 69, 13521–13531. [Google Scholar] [CrossRef]
- Yunhao, S.; Hua, X.; Lei, J.; Zisen, Q. ConvLSTMAE: A spatiotemporal parallel autoencoders for automatic modulation classification. IEEE Commun. Lett. 2022, 26, 1804–1808. [Google Scholar] [CrossRef]
- West, N.E.; O’Shea, T. Deep architectures for modulation recognition. In Proceedings of the 2017 IEEE International Symposium on Dynamic Spectrum Access Networks (DySPAN), Baltimore, MD, USA, 6–9 March 2017; IEEE: New York, NY, USA, 2017; pp. 1–6. [Google Scholar]
- Liao, K.; Zhao, Y.; Gu, J.; Zhang, Y.; Zhong, Y. Sequential Convolutional Recurrent Neural Networks for Fast Automatic Modulation Classification. IEEE Access 2021, 9, 27182–27188. [Google Scholar] [CrossRef]
- Wei, S.; Qu, Q.; Zeng, X.; Liang, J.; Shi, J.; Zhang, X. Self-attention bi-lstm networks for radar signal modulation recognition. IEEE Trans. Microw. Theory Tech. 2021, 69, 5160–5172. [Google Scholar] [CrossRef]
- Mnih, V.; Heess, N.; Graves, A.; Kavukcuoglu, K. Recurrent models of visual attention. In Advances in Neural Information Processing Systems 2014, Montreal, QC, Canada, 8–11 December 2014; NeurIPS: La Jolla, CA, USA, 2014; Volume 27. [Google Scholar]
- Bahdanau, D.; Cho, K.; Bengio, Y. Neural machine translation by jointly learning to align and translate. arXiv 2014, arXiv:1409.0473. [Google Scholar]
- Vaswani, A.; Shazeer, N.; Parmar, N.; Uszkoreit, J.; Jones, L.; Gomez, A.N.; Kaiser, Ł.; Polosukhin, I. Attention is all you need. In Advances in Neural Information Processing Systems; NeurIPS: La Jolla, CA, USA, 2017; pp. 5998–6008. [Google Scholar]
- Liu, X. Automatic modulation classification based on improved R-transformer. In Proceedings of the 2021 International Wireless Communications and Mobile Computing (IWCMC), Harbin City, China, 28 June–1 July 2021; pp. 1–8. [Google Scholar]
- Hamidi-Rad, S.; Jain, S. MCformer: A transformer based deep neural network for automatic modulation classification. In Proceedings of the IEEE Global Communications Conference (GLOBECOM), Madrid, Spain, 7–11 December 2021; pp. 1–6. [Google Scholar]
- Ahmed, K.; Keskar, N.S.; Socher, R. Weighted transformer network for machine translation. arXiv 2017, arXiv:1711.02132. [Google Scholar]
- Wang, W.; Yao, L.; Chen, L.; Lin, B.; Cai, D.; He, X.; Liu, W. CrossFormer: A versatile vision transformer hinging on cross-scale attention. arXiv 2021, arXiv:2108.00154. [Google Scholar] [CrossRef]
- Zhang, R.; Jiao, L.; Li, L.; Liu, F.; Liu, X.; Yang, S. Evolutionary dual-stream transformer. IEEE Trans. Cybern. 2015, 25, 2166–2178. [Google Scholar] [CrossRef]
- Dosovitskiy, A.; Beyer, L.; Kolesnikov, A.; Weissenborn, D.; Zhai, X.; Unterthiner, T.; Dehghani, M.; Minderer, M.; Heigold, G.; Gelly, S.; et al. An image is worth 16x16 words: Transformers for image recognition at scale. arXiv 2020, arXiv:2010.11929. [Google Scholar]
- Cai, J.; Gan, F.; Cao, X.; Liu, W. Signal modulation classification based on the transformer network. IEEE Trans. Cognit. Commun. Netw. 2022, 8, 1348–1357. [Google Scholar] [CrossRef]
- Chen, Y.; Dong, B.; Liu, C.; Xiong, W.; Li, S. Abandon locality:Frame-wise embedding aided transformer for automatic modulation recognition. IEEE Commun. Lett. 2023, 27, 327–331. [Google Scholar] [CrossRef]
- Su, H.; Fan, X.; Liu, H. Robust and efficient modulation recognition with pyramid signal transformer. In Proceedings of the IEEE Global Communications Conference (GLOBECOM), Rio de Janeiro, Brazil, 4–8 December 2022; pp. 1868–1874. [Google Scholar]
- Li, Y.X.; Jiang, Z.J.; Huang, Q.S.; Cao, W.C.; Li, J.L. Lightweight Speaker Verification Using Transformation Module with Feature Partition and Fusion. IEEE-ACM Trans. Audio Speech Lang. Process. 2024, 32, 794–806. [Google Scholar] [CrossRef]
- Yuan, G.; Ning, C.; Liu, L.; Li, C.; Liu, Y.; Sangmanee, C.; Cui, X.; Zhao, J.; Wang, J.; Yu, W. An Automatic Internal Wave Recognition Algorithm Based on CNN Applicable to an Ocean Data Buoy System. J. Mar. Sci. Eng. 2023, 11, 2110. [Google Scholar] [CrossRef]

















| Model | OA | AA | Precision | Recall | F1-Score |
|---|---|---|---|---|---|
| CNN | 0.61 | 0.58 | 0.70 | 0.61 | 0.61 |
| DenseNet | 0.65 | 0.66 | 0.70 | 0.65 | 0.65 |
| CLDNN | 0.65 | 0.64 | 0.70 | 0.65 | 0.65 |
| LSTM | 0.65 | 0.63 | 0.72 | 0.65 | 0.66 |
| ResNet | 0.65 | 0.64 | 0.70 | 0.65 | 0.65 |
| Proposed | 0.68 | 0.66 | 0.72 | 0.67 | 0.68 |
| Model | CNN | DenseNet | CLDNN | LSTM | ResNet | Proposed |
|---|---|---|---|---|---|---|
| Training times (s) | 22 | 20 | 17 | 8 | 27 | 6 |
| Number of parameters | 858,123 | 785,625 | 517,643 | 271,755 | 3,098,283 | 253,583 |
Disclaimer/Publisher’s Note: The statements, opinions and data contained in all publications are solely those of the individual author(s) and contributor(s) and not of MDPI and/or the editor(s). MDPI and/or the editor(s) disclaim responsibility for any injury to people or property resulting from any ideas, methods, instructions or products referred to in the content. |
© 2024 by the authors. Licensee MDPI, Basel, Switzerland. This article is an open access article distributed under the terms and conditions of the Creative Commons Attribution (CC BY) license (https://creativecommons.org/licenses/by/4.0/).
Share and Cite
Zhang, W.; Xue, K.; Yao, A.; Sun, Y. CTRNet: An Automatic Modulation Recognition Based on Transformer-CNN Neural Network. Electronics 2024, 13, 3408. https://doi.org/10.3390/electronics13173408
Zhang W, Xue K, Yao A, Sun Y. CTRNet: An Automatic Modulation Recognition Based on Transformer-CNN Neural Network. Electronics. 2024; 13(17):3408. https://doi.org/10.3390/electronics13173408
Chicago/Turabian StyleZhang, Wenna, Kailiang Xue, Aiqin Yao, and Yunqiang Sun. 2024. "CTRNet: An Automatic Modulation Recognition Based on Transformer-CNN Neural Network" Electronics 13, no. 17: 3408. https://doi.org/10.3390/electronics13173408
APA StyleZhang, W., Xue, K., Yao, A., & Sun, Y. (2024). CTRNet: An Automatic Modulation Recognition Based on Transformer-CNN Neural Network. Electronics, 13(17), 3408. https://doi.org/10.3390/electronics13173408

