Abstract
To address the challenges in establishing the state transfer matrix and the complexity of eigenvalue calculation in determining the multi-parameter stability boundaries of high-order nonlinear Vienna rectifiers, a novel numerical computation method is proposed in this paper. This method leverages a numerical stability criterion and a grid variable step search to efficiently calculate these stability boundaries. The small-signal model of the Vienna rectifier is derived by constructing the time-varying state transfer matrix using the periodic solution of the harmonic balance method. Eigenvalues are rapidly calculated via the periodic numerical solution of the state transfer matrix. The proposed parameter sensitivity-based grid variable step search method ensures a fast and accurate determination of stability boundaries. A hardware experimental setup is established to validate the stability boundaries of the Vienna rectifier under various parameter variations, including load, component, and control changes. The experimental results closely match the simulations, confirming the correctness and superiority of the proposed method.
1. Introduction
Three-phase Vienna rectifiers offer advantages such as a high power factor, high efficiency, and high power density, making them widely used in applications like new energy generation, aviation power supply, and electric vehicles, where high reliability is crucial [1,2,3,4]. These applications often employ multi-control loop Vienna rectifiers, which are high-order nonlinear systems. They face challenges such as wide-range power operation and internal parameter variations, leading to nonlinear stability issues during dynamic interactions with the grid. Inaccurate parameter design and operational control pose risks of system instability, severely affecting power quality and reliability [5,6]. Stability analysis methods can determine stability criteria and boundaries, aiming to provide guidance for static parameter design and dynamic operation adjustments [7,8,9]. However, most research has focused on optimizing topology and control parameters to enhance stability. The stability analysis of high-order nonlinear converters under various operating conditions and parameter variations remains an area deserving further in-depth study.
Converter stability analysis primarily employs large-signal methods [10,11,12,13] and small-signal methods [14,15,16,17]. Large-signal methods, such as phase plane and Lyapunov techniques, focus on analyzing and evaluating the system’s transient behavior. While effective for assessing stability after large disturbances like faults, they are limited by the difficulty of modeling complex systems and deriving stability criteria [18]. Small-signal methods analyze stability by linearizing the nonlinear system near its steady-state operating point, using impedance methods or eigenvalue stability criteria. Impedance-based stability analysis, which derives an equivalent impedance model from port characteristics, does not require internal structural parameters of the converter but struggles with stability issues under multi-parameter coupling [19,20]. In contrast, the eigenvalue-based stability analysis of the state transition matrix, conducted in the time domain, avoids frequency domain transfer function derivations and reveals the internal stability characteristics of the system. This method is uniquely advantageous for guiding converter control design and parameter selection [21,22].
In [23], an integrated small-signal model is developed to study the interaction between voltage source converters (VSCs) and DC flow controllers (CFCs). Through eigenvalue analysis, the impact of the CFC control system on the small-signal stability of the integrated system and the effect of the VSC control system on the CFC DC network are discussed. In [24], a state space model of a wind power converter is established based on eigenvalue analysis to examine the effects of circuit structure parameters and controller parameters on system stability, guiding the study of grid-connected sub-synchronous oscillation problems in VSC-HVDC systems. Reference [25] employs eigenvalue analysis to study the modal and damping characteristics of photovoltaic converters, revealing the modal mechanism and analyzing the influence of controller parameters on transient stability through eigenvalue trajectories. In [26], the stability of T-type three-level unidirectional inverters with inductive loads is investigated using eigenvalue analysis, providing insights into the dynamics and unstable behavior of multilevel inverter circuits. In [27], the eigenvalue method is used to study different instability mechanisms based on various state space models of shunt single-phase H-bridge inverters, considering parameter mismatches between two inverter modules and examining the effect of equalization control parameters on system stability. Reference [28] analyzes the closed-loop time domain dynamic performance of a pulse-width modulated DC-DC converter using eigenvalue analysis and eigenvectors, addressing issues of poor dynamic performance due to input voltage fluctuations and load variations in practical applications. Finally, reference [29] reveals the influence of DC-DC converter and controller parameters on stability by establishing a discrete iterative mapping model of the system using eigenvalue trajectories, providing stability boundaries that guide parameter design to ensure system stability.
Despite the significant achievements in existing research, the eigenvalue analysis method has limitations due to its reliance on small-signal linearization approximations at the rated operating point. This approach is only applicable to a limited range of static operating scenarios. With the rapid development of renewable energy, intelligent control, and other core applications of converters, there is an increasing demand for stability analysis under multiple operating conditions and parameters. The existing eigenvalue analysis methods exhibit the following deficiencies: (1) These methods linearize at static operating points, construct the state transfer matrix, and calculate eigenvalues while ignoring the time-varying characteristics of the multi-condition state transfer matrix. This oversight complicates the construction of the state transfer matrix and the calculation of eigenvalues in higher-order nonlinear systems. (2) As the parameter dimension increases, the complexity of eigenvalue calculation grows exponentially, making multi-parameter stability boundary calculations challenging. To the best of our knowledge, no effective method for multi-parameter stability boundary analysis has been reported.
In order to solve the above problems, this paper proposes a numerical calculation method for the multi-parameter stability boundary of a three-phase Vienna rectifier, and the main contributions are as follows:
(1) A novel eigenvalue stability analysis method is proposed to obtain the multi-parameter stability bounds of a high-order nonlinear Vienna rectifier, aiming to provide some references for static parameter design and dynamic operation adjustments. And also, the simulation analysis and physical experiment results verify the effectiveness and accuracy of the proposed method.
(2) Unlike existing eigenvalue stability analysis methods, this paper’s proposed numerical stability criterion constructs the time-varying state transfer matrix using the periodic solution of the harmonic balance method. It achieves rapid eigenvalue calculation through the periodic numerical solution of the state transfer matrix.
(3) The stable boundary of the Vienna rectifier with varying multi-parameters is quickly solved by the grid step search which is adjusted by the sensitivity of the eigenvalue. And the accuracy of the boundary is ensured by the truncation error.
The research approach of this paper is outlined as follows: Section 1 proposes a numerical stability criterion method based on small-signal modeling and eigenvalue stability analysis. Section 2 introduces a stability boundary calculation method that combines the numerical stability criterion with a mesh variable step-size search to enable rapid multi-parameter stability boundary calculations. Section 3 verifies the correctness and feasibility of the proposed method through simulations and a physical platform. Section 4 provides a summary and the conclusions of the paper.
2. Proposed Numerical Stability Criterion
To address the challenges in establishing the state transfer matrix and calculating eigenvalues for the stability analysis of a three-phase Vienna rectifier under multiple conditions and parameters, this section proposes a numerical stability criterion based on small-signal modeling. First, the small-signal model of the Vienna rectifier is derived. The time-varying coefficient matrix is then constructed using the periodic solution of the harmonic balance method. Rapid computation of eigenvalues is achieved through the periodic numerical solution of the state transfer matrix.
2.1. Small Signal Modeling
Figure 1 depicts the three-phase Vienna rectifier, comprising two main components: the main power circuit and control circuit , , and , , denote the grid-side voltage and current, respectively, while L and R represent the grid-side filtering inductance and resistance. denotes the six fast-recovery diodes. The bi-directional switching tubes are composed of two IGBTs with continuous current diodes in reversed series. The upper and lower filter capacitance and on the DC side are identical. represents the equivalent load, with indicating the flow current and the DC output voltage. and refer to the positive and negative currents on the DC side of the common bus, respectively, and denotes the current flowing into the midpoint of the DC-side filter capacitor. The control circuit utilizes a double closed-loop PI strategy based on voltage vector orientation. and represent the system voltage and reactive power control quantities, respectively, while , , , , , and denote specific control parameters.
Figure 1.
Three-phase Vienna rectifier topology.
Based on the topology principle of the Vienna rectifier, the state space model in the dq coordinate system is obtained, as shown in (1). In this model, and represent the switching functions, and denote the dq components of the grid-side current, while and denote the dq components of the grid-side voltage.
By calculating the average value of (1) over one switching cycle, the three-phase Vienna rectifier switching average model can be obtained, as shown in (3).
where (x = d, q), , , , (x = d, q) and are the state variables after averaging the switching states.
The state space model of the control part is obtained according to Figure 1, where denotes the first-order derivative of element x.
The small signal linearization of (3) and (4) is used to obtain the small signal expression of the system. Define the period-stabilized solution of the Vienna rectifier as .
When a small signal is injected and the system is in a steady state, the system can be expressed as
Based on the periodic stability solution of the system, (3) and (4) are linearized by substituting them into (6) to obtain the linear time-varying differential equations of the system, which is also known as the small-signal model of the Vienna rectifier:
where
Given that the loads, circuit components, and control parameters of Vienna rectifiers vary during real operation, the state variables , , , , and in (9) are time-varying. Therefore, it is essential to solve the state variables in the coefficient matrix in real time to obtain a linearized small-signal model (detail in Section 2.2).
2.2. Fast Calculation of the Coefficient Matrix
Due to the time-varying nature of the coefficient matrix under multiple operating conditions and parameters, the traditional eigenvalue analysis method fails to calculate eigenvalues using the coefficient matrix of (9). In this subsection, the harmonic balance method is employed to enable the rapid calculation of time-varying state variables (, , , , and ) in the coefficient matrix, leveraging its periodic characteristics.
To reduce the computational complexity, (3) and (4) are simplified by eliminating redundant terms that are unrelated to the time-varying state variables:
Since (, , , , and ) are non-sinusoidal periodic signals, they can be expressed in Fourier series:
where n is the number of harmonics.
Define
Then, (26) is substituted into (25) and organized as follows:
Based on the orthogonality of trigonometric functions, we multiply on both sides of (27) and integrate over time t from 0 to T. This process results in 10N + 5 algebraic equations for and (where f = v, i, s, j, k, m = 0, 1, 2, 3…N). Solving these algebraic equations yields the coefficient matrices B, D, H, E, and M. Substituting these into (25) provides the time-varying state variables , , , , and in the coefficient matrices. The results of these parameter calculations are then substituted into (9) to obtain the time-varying small-signal model of the Vienna rectifier.
From (27), it is evident that the proposed method involves solving a system of algebraic equations comprising (2N + 1) × 5(2N + 1) × 5 equations, where N determines the computational complexity. However, since the higher harmonic components’ amplitudes in the Vienna rectifier are relatively small and have a negligible impact on system stability, N can be optimized to significantly reduce computational complexity.
2.3. Numerical Computation of Eigenvalues
To address the computational challenges posed by the time-varying nature of the coefficient matrix and the increasing complexity of eigenvalue calculations when analyzing stability under various operational conditions and parameters, this subsection proposes a periodic numerical calculation method for the state transfer matrix and eigenvalues. This method leverages the periodicity of state variables to achieve efficient computation. The approach results in a multi-dimensional parameter stability criterion with low computational complexity, derived from periodic numerical eigenvalue calculations.
From (8), the coefficient matrix is a periodic time-varying matrix whose period is the same as that of . Therefore, (8) has a periodic fundamental solution , which can be expressed as
where is a solution vector of (8).
The initial conditions for the periodic fundamental solution are defined as , and I is a seventh-order unit matrix. The general solution of the differential equation of (29) is solved and expanded using Taylor series as
Since , each column vector of is also an elementary solution vector of (8). Therefore, there is a linear relationship between and . The relationship between the two can be expressed as
When t = 0, the transfer matrix M is found to be
The linear cycle [0, T] is divided into Nk subintervals, i.e., each subinterval can be expressed as
The start time of the kth subinterval:
Since the coefficient matrix is periodic and continuous, the periodic fundamental solution is also continuous. When is sufficiently large, the matrix can be regarded as a constant in the kth subinterval and can be replaced by its average value in this interval. Hence, we have
Based on the above analysis, the transfer matrix M can be expressed as
Expand using a Taylor series:
The numerical solution for the state transfer matrix of the combined above equation is
Through (38), M is obtained. Then, to solve for the eigenvalue , make
The stability of the system is determined by comparing the maximum value of with “1”. If is less than or equal to “1”, the system is stable. If exceeds “1”, the system is unstable [26].
In (38), the computational complexity of the proposed method increases with larger values of and , which are closely tied to the nonlinearity degree of . Given that higher-order terms in have relatively small amplitudes, their influence on eigenvalues is primarily concentrated in lower-order terms. Therefore, optimizing the values of and can significantly reduce computational complexity in the proposed method.
3. Proposed Stability Boundary Search Method
The fast calculation method of the numerical stability criterion and eigenvalue proposed in the previous section of this paper can help engineering researchers achieve the stability judgment of the Vienna rectifier under multi-dimensional parameters. However, if enumeration analysis is used, the computational workload is large and the accuracy of the boundaries is difficult to guarantee, meaning that the practical engineering applications are obviously unable to be satisfied. For this reason, based on the eigenvalue stability analysis, this chapter proposes a mesh variable step search method considering parameter sensitivity to achieve a fast and accurate solution of the multi-parameter stability boundary of the Vienna rectifier.
3.1. Flowchart of the Implementation of the Method
The stability boundary analysis method of the Vienna rectifier proposed in this paper is shown in Figure 2, which mainly includes two parts: the numerical stability criterion and the stability boundary search. In the numerical stability criterion part, the system small-signal (8) is first obtained according to the topological structure characteristics of the Vienna rectifier. Then, the redundant terms of the non-state variables in (3) and (4) are eliminated, and the system cycle stability solution is obtained through (25)–(27) to obtain the system state variables , , , , and , and these computational results are brought into (9) to obtain the coefficient matrix. Further, (38) and (39) are used for the numerical computation of eigenvalues and stability judgment. In the stable boundary search part, the grid variable step search method used mainly includes the initialization of analysis parameters, sensitivity calculation, search step adjustment, and search stopping criterion.
Figure 2.
Stable boundary calculation method implementation flow.
3.2. Grid Variable Step Size Search
This section introduces the grid variable step search method proposed for determining the stability boundary of the Vienna rectifier under multiple operating conditions and parameter variations. Leveraging the numerical stability criterion and eigenvalue sensitivity (referenced in [26]), this method dynamically adjusts the search step based on the sensitivity analysis results to ensure both speed and accuracy in locating the stability boundary. The sensitivity of eigenvalue is calculated as shown in (40). is the sensitivity of eigenvalue ; is the transfer matrix of the circuit parameterized by . and denote the left and right eigenvectors of eigenvalue , respectively.
Substituting (38) and (39) into (40) yields the sensitivity values for each parameter of the system. Based on the magnitude of these sensitivity values, the grid search step is dynamically adjusted: smaller steps are used for parameters with higher sensitivity to ensure accurate boundary determination, while larger steps enhance the search efficiency for less sensitive parameters. To facilitate comprehension, the specific steps for implementing the grid variable step search method are listed below:
Step 1: Initialization of parameters to be analyzed. is the stability analysis parameter of the system at the kth search. The initialized system parameter is , and the value interval of the parameter is . Define the symbolic function: , which represents the result of the kth stability analysis.
Step 2: Stability criterion calculation. A small signal model with parameter is established according to (9). The stability analysis is carried out according to (38), and the value of is recorded.
Step 3: Sensitivity calculation. The sensitivity of the eigenvalue at is calculated according to (40).
Step 4: Parameter to be analyzed updating. According to the results of the sensitivity calculation in step 4, update the stability boundary analysis parameter at step, where refers to the learning rate.
Step 5: Stability boundary criterion: If , then is the stability boundary band of the system. In step 1, let Ck include main power circuit parameters (L, C), control parameters (, , , , , ), and load parameters (), respectively. Therefore, the multi-dimensional and multi-parameter stability boundary analysis is realized in step 5, including the stability boundary of circuit parameters, the stability boundary of control parameters, and the stability boundary of load parameters.
Step 6: Search algorithm stopping criterion: If ( is the error limit), stop the search and plot the stability boundary map according to the stability boundary band . Otherwise, make k = k + 1, and repeat the above steps from the second step.
In the outlined steps, the stability boundary analysis parameter is dynamically adjusted in steps 3 and 4, adapting the search step length dynamically. This approach effectively reduces the number of iterations required for stability boundary calculation. To ensure accuracy, steps 5 and 6 restrict the error limitation in determining the stability boundary.
4. Experimental Verification
To validate the rationality and effectiveness of the proposed method in analyzing the stability of the Vienna rectifier, the computational complexity analysis and multi-parameter stability boundary analysis are conducted using simulations in MATLAB/Simulink and physical experiments. Details of the rated circuit components and control parameters used in these experiments are provided in Table 1. The results from these analyses demonstrate the capability of the proposed method to effectively handle the stability analysis under complex operating conditions and multiple parameter variations, ensuring both accuracy and reduced computational complexity.
Table 1.
Vienna rectifier parameters.
4.1. The Computational Complexity Analysis of the Proposed Method
4.1.1. Sensitivity Analysis of Key Calculation Parameters
From the theoretical analysis, it is evident that variations in key computational parameters , , and do not significantly impact the stability results. Thus, the computational complexity can be greatly reduced by optimizing , , and . In this subsection, the sensitivity of the stability boundary to these key computational parameters is verified through simulation experiments.
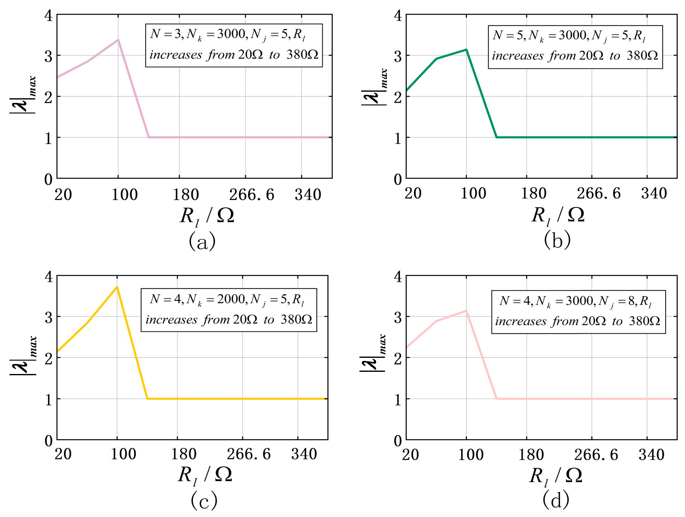
Using the proposed numerical stability criterion depicted in Section 1, the coefficient matrix is constructed using the harmonic balance method and (9). The time-varying state transfer matrix is computed according to (38), and is calculated using (39). The calculation results of the eigenvalues for the rated parameters, under load variations ranging from 20 to 380 Ω (, , and ), are shown in Table 2. Based on Table 2, the trajectory of under different values of is plotted, as illustrated in Figure 3. The plot indicates that the stability boundary of is near 140 Ω under the rated parameters.
Table 2.
The calculation results of the eigenvalues for the rated parameters under load variations.
Figure 3.
The trajectories of under four different combinations of the key computational parameters. (a) Group 1. (b) Group 2. (c) Group 3. (d) Group 4.
Meanwhile, the trajectories of under four different combinations of the key computational parameters are given in Figure 3. Group 1: , , ; Group 2: , , ; Group 3: , , ; Group 4: , , . Comparing the results, it is evident that increasing , , and does not significantly impact the trajectory of . The proposed methods accurately determine the load stability boundaries, leading to the following conclusions: (1) Accuracy of Stability Criterion: The proposed stability criterion can obtain accurate stability boundaries without requiring complex higher-order numerical calculations. This indicates that the stability of the system is less influenced by the higher harmonics and higher-order components of the state variables. (2) Parameter Insensitivity: The method is insensitive to the key computational parameters, suggesting that the computational complexity can be significantly reduced by optimizing these parameters.
4.1.2. Computational Complexity Analysis of the Proposed Multi-Parameter Stability Boundary
The proposed method reduces the computational complexity of determining multi-operation conditions and multi-parameter stability boundaries through the use of numerical stability criteria and a grid variable step search. To evaluate the contribution of these key steps in reducing computational complexity, we compare the total computation required for stability boundaries across different combinations of methods:
Method M1: Traditional eigenvalue stability criterion with grid search.
Method M2: Traditional eigenvalue stability criterion with the proposed grid variable step search.
Method M3: Proposed stability criterion with traditional grid search.
Method M4: Proposed stability criterion with the proposed grid variable step search.
The average number of calculations for stability boundaries, , is equal to the average number of calculations for the linearized eigenvalue computation multiplied by the total number of linearized eigenvalue computations . can be estimated by the following equation:
Here, denotes the average number of computations for varying system parameters, while signifies the average number of computations for eigenvalue calculations under fixed system parameters. The number of computations for the linearized eigenvalue calculation refers to the total count of additions and multiplications needed to determine the eigenvalues of the state transfer matrix using the linearized coefficient matrix at the static operating point.
The average number of calculations for stability boundaries with the method M1~M4 is shown in Table 3. By analyzing Table 3, the computational complexity P increases exponentially with the increase in the system parameter variation dimension .
Table 3.
The average number of calculations for stability boundaries with the method M1~M4.
When comparing methods (M1, M3) with (M2, M4), the results show that the proposed grid variable step size search method significantly reduces since the proposed method needs to compute only the system parameters with large eigenvalue variations through eigenvalue sensitivity analysis. Comparing methods (M1, M2) with (M3, M4), the results show that the proposed numerical stability criterion significantly reduces and . This is due to the fact that the proposed numerical stability criterion takes into account the time-varying characteristics of the coefficient matrices through the harmonic balance method and employs a periodic numerical solution to compute the eigenvalues, so that the eigenvalue needs to be computed only once in the whole cycle.
In addition, since the system stability is affected by the higher harmonics and the higher-order components of the state variables are less affected, the proposed method is therefore insensitive to the computational parameters (, , and ). By optimizing these parameters, it is possible to significantly reduce . Based on the conventional eigenvalue analysis method, an average of 2.2 × 1020 addition/multiplication operations are required, which leads to difficulties in calculating the multi-parameter stability boundaries. However, the proposed method M4 combines the advantages of the numerical stability criterion and grid variable step search, which require only 1.26 × 1010 addition/multiplication operations on average for the five-dimensional parametric stability boundary calculation. Therefore, the proposed method achieves a low-complexity, multi-case, multi-dimensional parametric stability boundary calculation.
4.2. Experimental Verification of Multi-Parameter Stability Boundary Analysis
Based on the parameters shown in Table 1, this paper builds a Vienna rectifier hardware experimental platform, as shown in Figure 4, which adopts the TMS320F28335PGFA (Texas Instruments, Dallas, TX, USA) as the main control chip and realizes the SVPWM-based voltage-current double-closed-loop PI control strategy. The network side power supply adopts Chroma61705 (Chroma, Shenzhen, China), the load adopts Chroma63203A (Chroma, Shenzhen, China), and TekMDO34 (Tektronix, Beaverton, OR, USA) is used to demonstrate the waveforms. Using the above experimental platform, this paper presents a comprehensive analysis of theoretical calculations, simulation results, and experimental verification of the load stability boundary, circuit component stability boundary, and control parameter stability boundary of the Vienna rectifier, which proves the correctness of the proposed stability boundary calculation method.
Figure 4.
Vienna rectifier hardware physical platform.
4.2.1. Load Stability Boundary Verification
According to Figure 3, the theoretical stability boundary calculated by the proposed method for the load under the rated parameter shown in Table 1 is . To verify the correctness of the load stability boundary calculation, the Chroma63203A is used to set equivalent resistance values above () and below this stability boundary (), with the results of the experimental waveforms with different loads shown in Figure 5. When , the DC bus voltage cannot stabilize at the target value of 600 V, with the ripple reaching a maximum of 123 V, significantly higher than the normal ripple. Conversely, when , the Vienna rectifier maintains a stable bus voltage with minimal ripple. The stability results obtained by the above experiments are consistent with the stability boundary obtained by the proposed method, which indicates that the proposed method has the capability of load stability boundary analysis.
Figure 5.
Actual waveforms for physical verification of stability boundary.
4.2.2. Circuit Component L Stability Boundary Verification
To verify the validity of the proposed method for determining the stability boundary of the circuit component L in the Vienna rectifier under the multi-parameter variation, this paper examines the variation in parameters C and . It is worth noting that for the sake of clear visualization, only the variation in the two-dimensional parameters is shown.
First, let in the grid variable step size search of step 1. According to the stability boundary analysis method proposed (Figure 2), the stability boundary of , , and can be obtained in step 5. Near the rated load (), the upper stability boundary of L is selected for two-dimensional visual display, as shown in Figure 6 (full line). Then, the stability boundary value of the Vienna rectifier is analyzed through MATLAB/Simulink (Version 2023) simulation. In this simulation, the stability is judged by the time-consuming and laborious manual oscilloscope observation of finite samples; hence, the stability boundary of L is obtained, as shown in Figure 6 (triangle). The comparative analysis results, shown in Figure 6, demonstrate a high degree of consistency between the calculated stability boundaries and the simulation results. Therefore, the proposed stability boundary analysis method combined with the actual operating power of the converter can be used to guide the design of inductance and capacitance parameters.
Figure 6.
Stability boundary of L calculated by the proposed method and simulation under the multi-parameter variation.
To further verify the correctness of the stability boundary analysis, this paper randomly selects a stable boundary point of L from Figure 6 (marked by a brown box Ver) and takes values of and to confirm the results. At those operating points, the experimental waveform of the hardware platform is shown in Figure 7. The system remains stable when the inductor is below the boundary point . However, when it exceeds the boundary point , the DC bus voltage fails to reach the target value of 600 V, and the ripple increases to 185 V, leading to system instability. These results indicate that the multi-parameter stability boundary of L, as determined by the proposed method and simulation analysis, is consistent with the physical experimental results. This demonstrates that the proposed method can effectively calculate the stability boundary of the circuit component L in the Vienna rectifier under the multi-parameter variation. Similarly, this method can be applied to calculate the stability boundaries of other components in the Vienna rectifier circuit, which will not be repeated here.
Figure 7.
The results of physical experimental waveforms with different L.
4.2.3. Control Parameter ( and ) Stability Boundary Verification
To verify the validity of the proposed method for determining the stability boundary of the control parameter ( and ) in the Vienna rectifier under the multi-parameter variation, this paper examines the variation in parameters , , and . First, let in the grid variable step size search of step 1. According to the stability boundary analysis method proposed (Figure 2), the stability boundary of , , , , and can be obtained in step 5. Near the rated inductance parameter (), the upper stability boundary of , is selected for two-dimensional visual display, as shown in Figure 8 (full line). Then, the stability boundary value of the Vienna rectifier is analyzed through MATLAB/Simulink simulation. In this simulation, the stability is judged by the time-consuming and laborious manual oscilloscope observation of finite samples; hence, the stability boundary of , is obtained, as shown in Figure 8 (triangle). The comparative analysis results, shown in Figure 8, demonstrate a high degree of consistency between the calculated stability boundaries and the simulation results through a finite number of sampling points. Therefore, the proposed stability boundary analysis method combined with the actual LC filtering requirements of the converter can be used to guide the design of and .
Figure 8.
Stable boundaries of control parameters under the multi-parameter variation.
To further verify the accuracy of the stability boundary analysis, a stable boundary point of is randomly selected from Figure 8a (marked by a brown box Ver). Values of and are then used to confirm the results. At these operating points, the hardware platform shown in Figure 4 is employed for physical verification, and the results are depicted in Figure 9a. When is below the stability boundary point , the system remains stable. However, when exceeds the boundary point, the DC bus voltage fails to reach the target value of 600 V, and the ripple increases to 159 V, leading to system instability.
Figure 9.
Physical experiments for controlling parameters under the multi-parameter variation.
Similarly, a stable boundary point (marked by a brown box Ver) in Figure 8b is randomly selected. At these operating points, the results from the hardware platform experiments are shown in Figure 9b. The results indicate that the multi-parameter stability boundaries and obtained from the proposed method are consistent with both simulation analysis and physical experimental results. This consistency validates the proposed method’s accuracy in determining the stability boundaries of control parameters and in the Vienna rectifier under multi-parameter variations. Additionally, the proposed method can be applied to the design of other control parameters for the Vienna rectifier.
5. Conclusions
In this paper, a multi-parameter stability boundary calculation method based on a numerical stability criterion and a grid variable step search is proposed to address the stability analysis challenges of the Vienna rectifier under complex operating conditions and multi-parameter variations. The proposed stability criterion employs the harmonic balance method and numerical calculation to significantly reduce the computational complexity of the coefficient matrix, enabling effective multi-parameter stability analysis. Furthermore, the grid variable step search method enhances the speed and accuracy of identifying the multi-parameter stability boundary. We focus on the stability boundary issues arising from variations in multi-dimensional parameters such as load parameters, component parameters, and control parameters. Comprehensive discussions are supported by theoretical analyses, simulation experiments, and physical verifications, all of which show high consistency in the results. Consequently, the stability boundary analysis method proposed in this paper offers valuable insights into the stability issues of the Vienna rectifier, guiding parameter design and operational control.
Author Contributions
Conceptualization, Z.S.; methodology, Z.S.; software, F.W.; validation, Z.S., F.W. and Y.L.; formal analysis, S.L.; investigation, S.L.; resources, Y.L.; data curation, F.W.; writing—original draft preparation, Z.S.; writing—review and editing, Z.S.; visualization, F.W.; supervision, W.J.; funding acquisition, Y.W. All authors have read and agreed to the published version of the manuscript.
Funding
This research was funded by the Natural Science Foundation of Sichuan Province under Grant No. 2022NSFSC0025 and the National Natural Science Foundation of China under Grant No. 42162203368.
Data Availability Statement
The original contributions presented in the study are included in the article, further inquiries can be directed to the corresponding author.
Conflicts of Interest
The authors declare no conflicts of interest.
References
- Zhang, Z.; Li, B.; Zhang, G.; Wang, G.; Huang, Z.; Hu, B.; Long, T.; Xu, D. Optimized Carrier-Based DPWM Strategy Adopting Self-Adjusted Redundant Clamping Modes for Vienna Rectifiers with Unbalanced DC Links. IEEE Trans. Power Electron. 2023, 38, 1622–1634. [Google Scholar] [CrossRef]
- Lyu, J.; Shi, Z.; Shen, S.; Lyu, X. A Novel Suppression Method for Input Current Distortion of the Vienna Rectifier under Unbalanced Grid Conditions. Energy Rep. 2022, 8, 327–343. [Google Scholar] [CrossRef]
- Zhang, H.; Zhang, C.; Xing, X.; Liu, C.; Li, X.; Zhang, B. Three-Layer Double-Vector Model Predictive Control Strategy for Current Harmonic Reduction and Neutral-Point Voltage Balance in Vienna Rectifier. IEEE Trans. Transp. Electrif. 2022, 8, 251–262. [Google Scholar] [CrossRef]
- Jiang, W.; Li, L.; Wang, J.; Ma, M.; Zhai, F.; Li, J. A Novel Discontinuous PWM Strategy to Control Neutral Point Voltage for Neutral Point Clamped Three-Level Inverter with Improved PWM Sequence. IEEE Trans. Power Electron. 2019, 34, 9329–9341. [Google Scholar] [CrossRef]
- Zhu, S.; Liu, J.; Cao, Y.; Guan, B.; Du, X. Vienna Rectifier Modeling and Harmonic Coupling Analysis Based on Harmonic State-Space. Electronics 2024, 13, 1447. [Google Scholar] [CrossRef]
- Yang, T.; Chen, L.; Miao, Y. Predictive Power Control Strategy without Grid Voltage Sensors of the Vienna Rectifier. IET Power Electron. 2024, pel2.12707. [Google Scholar] [CrossRef]
- Zhang, X.; Wang, T.; Bao, H.; Hu, Y.; Bao, B. Stability Effect of Load Converter on Source Converter in a Cascaded Buck Converter. IEEE Trans. Power Electron. 2023, 38, 604–618. [Google Scholar] [CrossRef]
- Xiong, X.; Yang, Y. A Photovoltaic-Based DC Microgrid System: Analysis, Design and Experimental Results. Electronics 2020, 9, 941. [Google Scholar] [CrossRef]
- Tian, Z.; Tang, Y.; Zha, X.; Sun, J.; Huang, M.; Fu, X.; Liu, F. Hamilton-Based Stability Criterion and Attraction Region Estimation for Grid-Tied Inverters Under Large-Signal Disturbances. IEEE J. Emerg. Sel. Top. Power Electron. 2022, 10, 413–423. [Google Scholar] [CrossRef]
- Zheng, H.; Zhou, L.; Sun, P.; Lu, W. Large-Signal Stability Analysis for VSC-HVDC Systems Based on Mixed Potential Theory. IEEE Trans. Power Deliv. 2020, 35, 1939–1948. [Google Scholar] [CrossRef]
- Chen, Z.; Chen, X.; Zheng, F.; Ma, H.; Zhu, B. Load Power Oriented Large-Signal Stability Analysis of Dual-Stage Cascaded Dc Systems Based on Lyapunov-Type Mixed Potential Theory. Electronics 2022, 11, 4181. [Google Scholar] [CrossRef]
- Zheng, H.; Yuan, X.; Cai, J.; Sun, P.; Zhou, L. Large-Signal Stability Analysis of DC Side of VSC-HVDC System Based on Estimation of Domain of Attraction. IEEE Trans. Power Syst. 2022, 37, 3630–3641. [Google Scholar] [CrossRef]
- Chang, F.; Cui, X.; Wang, M.; Su, W. Potential-Based Large-Signal Stability Analysis in DC Power Grids with Multiple Constant Power Loads. IEEE Open Access J. Power Energy 2022, 9, 16–28. [Google Scholar] [CrossRef]
- Jiang, S.; Konstantinou, G. Impedance-Based Stability Analysis: Nodal Admittance or Bus Admittance? IEEE Trans. Power Syst. 2024, 39, 2327–2340. [Google Scholar] [CrossRef]
- Liu, N.; Wang, H.; Sun, L.; Zhou, W.; Song, J.; Zhou, D.; Wang, W.; Chen, Z. Modular Impedance Modeling and Stability Analysis of Hybrid AC/DC Power Systems with Grid-Forming and Grid-Following Converters. IEEE Access 2024, 12, 4063–4077. [Google Scholar] [CrossRef]
- Wu, Y.; Wu, H.; Cheng, L.; Zhou, J.; Zhou, Z.; Chen, M.; Wang, X. Impedance Profile Prediction for Grid-Connected VSCs Based on Feature Extraction. In Proceedings of the 2024 IEEE Applied Power Electronics Conference and Exposition (APEC), Long Beach, CA, USA, 25–29 February 2024; IEEE: Piscataway, NJ, USA, 2024; pp. 1627–1632. [Google Scholar]
- Lv, Z.; Zhou, M.; Wang, Q.; Hu, W. Small-Signal Stability Analysis for Multi-Terminal LVDC Distribution Network Based on Distributed Secondary Control Strategy. Electronics 2021, 10, 1575. [Google Scholar] [CrossRef]
- Ding, L.; Tse, C.K. Large-Signal Stability Analysis of DC Distribution Systems with Cascading Converter Structure. IEEE Trans. Ind. Electron. 2023, 70, 9103–9111. [Google Scholar] [CrossRef]
- Xie, Z.; Wu, W.; Chen, Y.; Gong, W. Admittance-Based Stability Comparative Analysis of Grid-Connected Inverters with Direct Power Control and Closed-Loop Current Control. IEEE Trans. Ind. Electron. 2021, 68, 8333–8344. [Google Scholar] [CrossRef]
- He, B.; Chen, W.; Ruan, X.; Zhang, X.; Zou, Z.; Cao, W. A Generic Small-Signal Stability Criterion of DC Distribution Power System: Bus Node Impedance Criterion (BNIC). IEEE Trans. Power Electron. 2022, 37, 6116–6131. [Google Scholar] [CrossRef]
- Han, Y.; Sun, H.; Huang, B.; Qin, S.; Mu, Q.; Yu, Y. Discrete-Time State-Space Construction Method for SSO Analysis of Renewable Power Generation Integrated AC/DC Hybrid System. IEEE Trans. Power Syst. 2022, 37, 2322–2334. [Google Scholar] [CrossRef]
- Amin, M.; Molinas, M. Small-Signal Stability Assessment of Power Electronics Based Power Systems: A Discussion of Impedance- and Eigenvalue-Based Methods. IEEE Trans. Ind. Appl. 2017, 53, 5014–5030. [Google Scholar] [CrossRef]
- Guan, R.; Deng, N.; Xue, Y.; Zhang, X.-P. Small-Signal Stability Analysis of the Interactions Between Voltage Source Converters and DC Current Flow Controllers. IEEE Open Access J. Power Energy 2020, 7, 2–12. [Google Scholar] [CrossRef]
- Ma, Z.; Wang, D.; Zhao, L.; Li, Z.; Hu, H.; Tang, Z. Research on the Subsynchronous Oscillation Characteristics of Different Wind Farms Connected to the Grid via VSC-HVDC. In Proceedings of the 2021 4th International Conference on Advanced Electronic Materials, Computers and Software Engineering (AEMCSE), Changsha, China, 26–28 March 2021; IEEE: Piscataway, NJ, USA, 2021; pp. 366–375. [Google Scholar]
- Yu, J.; He, T.; Wu, J.; Xu, J.; Wang, D.; Yu, Y. Study on Small Disturbance Stability of Photovoltaic Grid-Connected Power Generation System. In Proceedings of the 2023 5th Asia Energy and Electrical Engineering Symposium (AEEES), Chengdu, China, 23–26 March 2023; IEEE: Piscataway, NJ, USA, 2023; pp. 1429–1433. [Google Scholar]
- Cao, H.; Wang, F.; Liu, J. Analysis of Fast-Scale Instability in Three-Level T-Type Single-Phase Inverter Feeding Diode-Bridge Rectifier with Inductive Load. IEEE Trans. Power Electron. 2022, 37, 15066–15083. [Google Scholar] [CrossRef]
- Yang, L.; Yang, L.; Yang, F.; Ma, X. Slow-Scale and Fast-Scale Instabilities in Parallel-Connected Single-Phase H-Bridge Inverters: A Design-Oriented Study. Int. J. Bifurc. Chaos 2020, 30, 2050005. [Google Scholar] [CrossRef]
- Li, H.; Zhou, Z.; Pan, J.; Liu, Q. Time-Domain Dynamic-Performance-Improvement Method for Pulse-Width-Modulated DC-DC Converters Based on Eigenvalue and Eigenvector Sensitivity. Chin. J. Electr. Eng. 2023, 9, 104–119. [Google Scholar] [CrossRef]
- Chen, S.; Chen, Y.; Zhang, B.; Qiu, D. Stability Analysis for On-Off Voltage-Mode Controlled VHF Converter Combining Short Period and Long-Period Discrete Map Models. IEEE Trans. Circuits Syst. Regul. Pap. 2024, 71, 1232–1244. [Google Scholar] [CrossRef]
Disclaimer/Publisher’s Note: The statements, opinions and data contained in all publications are solely those of the individual author(s) and contributor(s) and not of MDPI and/or the editor(s). MDPI and/or the editor(s) disclaim responsibility for any injury to people or property resulting from any ideas, methods, instructions or products referred to in the content. |
© 2024 by the authors. Licensee MDPI, Basel, Switzerland. This article is an open access article distributed under the terms and conditions of the Creative Commons Attribution (CC BY) license (https://creativecommons.org/licenses/by/4.0/).








