An Underwater Multi-Label Classification Algorithm Based on a Bilayer Graph Convolution Learning Network with Constrained Codec
Abstract
1. Introduction
2. Related Work
3. The Algorithm Model
- (1)
- Modality-specific representation and modality-common representation learning modules: The modality-common representation learns through adversarial training; the orthogonal constraint separates the common information and specific information of the modality features to reduce the redundancy between the learned representations. The reconstruction constraint preserves the effective information in the original modality features as much as possible.
- (2)
- Attention-driven double-layer graph convolution network module: A two-layer graph convolutional network (GCN) correlates mined label information between the global and local perspectives and introduces the attention mechanism in the second GCN mining sample with characteristic and label category dimensions to enhance the modality representation.
- (3)
- Modality representation fusion and multi-label classification module: Take the weighted fusion of the enhanced modality-common representation and each modality-specific representation as the final micro-video representation, and the fusion weight is adaptively learned by the model. The resulting representation is then input into the classifier to obtain the category prediction score.
3.1. Modality-Specific Representation and Modality-Common Representation Learning Modules
3.1.1. Orthogonal Constraints
3.1.2. Adversarial Similarity Constraints
3.1.3. Refactoring Constraints
3.2. Attention-Driven Double-Layer Graph Convolutional Network Module
3.2.1. Static Graph Convolutional Network
3.2.2. Dynamic Graph Convolutional Network Based on Attention Perception
3.3. Modality Representation Fusion with Multi-Label Classification
| Algorithm 1 Model training process—BGCLN training process |
| Data input:
: visual features, trajectory features, and acoustic features of the micro-video; : the real category label vector of the micro-video; : the term coefficient of the loss function; 1: Randomly initialize all network parameters; 2: Repeat; 3: For do; 4: Use Formula (1) to calculate the specific representation of each mode; 5: Use Formulas (2) and (3) to calculate the public representation of each mode; 6: Use Formula (6) to calculate the reconstructed vector ; 7: Use Formula (8) to update the category to represent the intermediate output ; 8: Use Formula (10) to calculate the feature correlation matrix according to the intermediate output ; 9: Calculate the enhanced category representation using Formula (11); 10: Use Formula (12) to calculate the fused category representation ; 11: Update all network parameters using the stochastic gradient descent method under Formula (14); 12: End for; 13: Until convergence. |
| Data output: all network training parameters , etc. |
4. Experimental Simulation
4.1. Dataset and Experimental Settings
4.2. Performance Evaluation
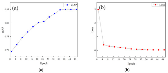
4.2.1. Convergence Analysis
4.2.2. Ablation Experiments and Analysis
4.2.3. Model Validity Analysis
5. Summary
Author Contributions
Funding
Data Availability Statement
Conflicts of Interest
References
- Nie, L.; Wang, X.; Zhang, J.; He, X.; Zhang, H.; Hong, R.; Tian, Q. Enhancing micro-video understanding by harnessing external sounds. In Proceedings of the ACM International Conference on Multimedia, Mountain View, CA, USA, 23–27 October 2017; pp. 1192–1200. [Google Scholar]
- Chang, X.; Yu, Y.L.; Yang, Y. Semantic pooling for complex event analysis in untrimmed videos. IEEE Trans. Pattern Anal. Mach. Intell. 2016, 39, 1617–1632. [Google Scholar] [CrossRef] [PubMed]
- Chen, J.; Song, X.; Nie, L.; Wang, X.; Zhang, H.; Chua, T.S. Micro tells macro: Predicting the popularity of microvideos via a transductive model. In Proceedings of the ACM International Conference on Multimedia, Amsterdam, The Netherlands, 15–19 October 2016; pp. 898–907. [Google Scholar]
- Wei, Y.; Wang, X.; Nie, L.; He, X.; Hong, R.; Chua, T.S. MMGCN: Multi-modal graph convolution network for personalized recommendation of micro-video. In Proceedings of the ACM Multimedia, Nice, France, 21–25 October 2019; pp. 1437–1445. [Google Scholar]
- Li, Y.; Sun, S.; Huang, Q.; Jing, P. Underwater Image Enhancement Network Based on Multi-channel Hybrid Attention Mechanism. J. Electron. Inf. Technol. 2017, 46, 118–128. [Google Scholar]
- Zou, Y.; Chou, C.A. A combinatorial optimization approach for multi-label associative classification. Knowl.-Based Syst. 2022, 240, 108088. [Google Scholar] [CrossRef]
- Pham, T.; Tao, X.; Zhang, J.; Yong, J.; Li, Y.; Xie, H. Graph-based multi-label disease prediction model learning from medical data and domain knowledge. Knowl.-Based Syst. 2022, 235, 107662. [Google Scholar] [CrossRef]
- Chen, Z.; Ke, H.; Xu, J.; Peng, T.; Yang, C. Multichannel Domain Adaptation Graph Convolutional Networks-Based Fault Diagnosis Method and With Its Application. IEEE Trans. Ind. Inform. 2023, 19, 7790–7800. [Google Scholar] [CrossRef]
- Chen, L.; Zhan, W.; Tian, W.; He, Y.; Zou, Q. Deep integration: A multi-label architecture for road scene recognition. IEEE Trans. Image Process. 2019, 28, 4883–4898. [Google Scholar] [CrossRef] [PubMed]
- Zhu, L.; Zhou, Y.; Jia, R.; Gu, W.; Luan, T.H.; Li, M. Real-Time Fault Diagnosis for EVs With Multilabel Feature Selection and Sliding Window Control. IEEE Internet Things J. 2022, 9, 18346–18359. [Google Scholar] [CrossRef]
- Boutell, M.R.; Luo, J.; Shen, X.; Brown, C.M. Learning multi-label scene classification. Pattern Recognit. 2004, 37, 1757–1771. [Google Scholar] [CrossRef]
- Yeh, C.K.; Wu, W.C.; Ko, W.J.; Wang, Y.C.F. Learning deep latent space for multi-label classification. In Proceedings of the AAAI Conference on Artificial Intelligence, Vancouver, Canada, 4–9 February 2017; Volume 31, pp. 2838–2844. [Google Scholar]
- Fei, H.; Zhang, Y.; Ren, Y.; Ji, D. Latent emotion memory for multi-label emotion classification. In Proceedings of the AAAI Conference on Artificial Intelligence, New York, NY, USA, 7–12 February 2020; Volume 34, pp. 7692–7699. [Google Scholar]
- Rajagopalan, S.S.; Morency, L.P.; Baltrusaitis, T.; Goecke, R. Extending long short-term memory for multi-view structured learning. In Proceedings of the European Conference on Computer Vision, Amsterdam, The Netherlands, 11–14 October 2016; pp. 338–353. [Google Scholar]
- Fan, W.; Ma, Y.; Xu, H.; Liu, X.; Wang, J.; Li, Q.; Tang, J. Deep adversarial canonical correlation analysis. In Proceedings of the Society for Industrial and Applied Mathematics International Conference on Data Mining, Cincinnati, OH, USA, 7–9 May 2020; pp. 352–360. [Google Scholar]
- Srivastava, N.; Salakhutdinov, R.R. Multimodal learning with deep boltzmann machines. Adv. Neural Inf. Process. Syst. 2012, 25. [Google Scholar]
- Gao, X.; Zhang, G.; Xiong, Y. Multi-scale multi-modal fusion for object detection in autonomous driving based on selective kernel. Measurement 2022, 194, 111001. [Google Scholar] [CrossRef]
- Iyer, G.; Chanussot, J.; Bertozzi, A.L. A graph-based approach for data fusion and segmentation of multimodal images. IEEE Trans. Geosci. Remote Sens. 2020, 59, 4419–4429. [Google Scholar] [CrossRef]
- Chandar, S.; Khapra, M.M.; Larochelle, H.; Ravindran, B. Correlational neural networks. Neural Comput. 2016, 28, 257–285. [Google Scholar] [CrossRef] [PubMed]
- Shen, T.; Jia, J.; Li, Y.; Wang, H.; Chen, B. Enhancing music recommendation with social media content: An attentive multimodal autoencoder approach. In Proceedings of the International Joint Conference on Neural Networks, Glasgow, UK, 19–24 July 2020; pp. 1–8. [Google Scholar]
- Guo, L.; Liu, J.; Zhu, X.; Yao, P.; Lu, S.; Lu, H. Normalized and geometry-aware self-attention network for image captioning. In Proceedings of the IEEE/CVF Conference on Computer Vision and Pattern Recognition, Seattle, WA, USA, 13–19 June 2020; pp. 10327–10336. [Google Scholar]
- Azad, M.A.; Mohammed, A.; Waszak, M.; Elvesæter, B.; Ludvigsen, M. Multi-label Video Classification for Underwater Ship Inspection. In Proceedings of the OCEANS, Limerick, Irish, 5–8 June 2023. [Google Scholar]
- Sun, Q.; Wang, K. Underwater single-channel acoustic signal multitarget recognition using convolutional neural networks. The J. Acoust. Soc. Am. 2022, 151, 2245–2254. [Google Scholar] [CrossRef] [PubMed]
- Le, H.D.; Lee, G.S.; Kim, S.H.; Kim, S.; Yang, H.J. Multi-Label Multimodal Emotion Recognition With Transformer-Based Fusion and Emotion-Level Representation Learning. IEEE Access 2023, 11, 14742–14751. [Google Scholar] [CrossRef]
- Cai, Z.; Ding, H.; Wu, J.; Xi, Y.; Wu, X.; Cui, X. Multi-label movie genre classification based on multimodal fusion. Multimed. Tools Appl. 2023, 83, 36823–36840. [Google Scholar] [CrossRef]
- Liu, P.; Qiu, X.; Huang, X. Adversarial Multi-task Learning for Text Classification. In Proceedings of the Annual Meeting of the Association for Computational Linguistics (Volume 1: Long Papers), Vancouver, BC, Canada, 30 July–4 August 2017; pp. 1–10. [Google Scholar]
- Bousmalis, K.; Trigeorgis, G.; Silberman, N.; Krishnan, D.; Erhan, D. Domain separation networks. Adv. Neural Inf. Process. Syst. 2016, 29, 343–351. [Google Scholar]
- Duan, Y.; Zheng, W.; Lin, X.; Lu, J.; Zhou, J. Deep adversarial metric learning. In Proceedings of the IEEE Conference on Computer Vision and Pattern Recognition, Salt Lake City, UT, USA, 18–23 June 2018; pp. 2780–2789. [Google Scholar]
- Chen, S.; Gong, C.; Yang, J.; Li, X.; Wei, Y.; Li, J. Adversarial metric learning. In Proceedings of the International Joint Conference on Artificial Intelligence, Stockholm, Sweden, 13–19 July 2018; pp. 2021–2027. [Google Scholar]
- Ganin, Y.; Ustinova, E.; Ajakan, H.; Germain, P.; Larochelle, H.; Laviolette, F.; March, M.; Lempitsky, V. Domain-adversarial training of neural networks. J. Mach. Learn. Res. 2016, 17, 2096–2130. [Google Scholar]
- Vaswani, A.; Shazeer, N.; Parmar, N.; Uszkoreit, J.; Jones, L.; Gomez, A.N.; Polosukhin, I. Attention is all you need. In Proceedings of the Advances in Neural Information Processing Systems, Long Beach, CA, USA, 4–9 December 2017; pp. 5998–6008. [Google Scholar]
- Kezebou, L.; Oludare, V.; Panetta, K.; Again, S.S. Underwater Object Tracking Benchmark and Dataset. In Proceedings of the IEEE International Symposium on Technologies for Homeland Security (HST), Woburn, MA, USA, 5–6 November 2019; pp. 1–6. [Google Scholar]
- Panetta, K.; Kezebou, L.; Oludare, V.; Again, S.S. Comprehensive Underwater Object Tracking Benchmark Dataset and Underwater Image Enhancement with GAN. IEEE J. Ocean. Eng. 2022, 47, 59–75. [Google Scholar] [CrossRef]
- Zhang, M.L.; Zhou, Z.H. A review on multi-label learning algorithms. IEEE Trans. Knowl. Data Eng. 2013, 26, 1819–1837. [Google Scholar] [CrossRef]






| Category | Number | Proportion | Category | Number | Proportion |
|---|---|---|---|---|---|
| Diver | 2278 | 59.31% | Seal | 62 | 1.61% |
| Fish | 1995 | 51.94% | Lobster | 58 | 1.51% |
| Coralline | 760 | 19.79% | Squid | 56 | 1.46% |
| Manta | 315 | 8.20% | Crab | 40 | 1.04% |
| Person | 256 | 6.66% | Medusa | 39 | 1.02% |
| Wreckage | 223 | 5.81% | Dolphin | 31 | 0.81% |
| Others | 173 | 4.5% | Whale | 26 | 0.68% |
| Tortoise | 167 | 4.35% | Sea slug | 21 | 0.55% |
| Eel | 143 | 3.72% | Seahorse | 14 | 0.36% |
| Octopus | 105 | 2.73% |
| mAP↑ | One Error↓ | Coverage↓ | Ranking Loss↓ | Hamming Loss↓ | |
|---|---|---|---|---|---|
| Visual modality | 0.7212 | 0.0416 | 0.0906 | 33.9567 | 0.0734 |
| Audio modality | 0.7536 | 0.0395 | 0.0705 | 28.7821 | 0.0682 |
| Visual modality+ Audio modality | 0.8183 | 0.0301 | 0.0675 | 16.4535 | 0.0537 |
| Visual modality+ Graph learning module | 0.7731 | 0.0351 | 0.0786 | 30.1439 | 0.0693 |
| Visual modality+ Graph learning module | 0.8007 | 0.0262 | 0.0591 | 25.1644 | 0.0646 |
| Ours | 0.8503 | 0.0224 | 0.0472 | 14.8036 | 0.0393 |
| Method | mAP↑ | One Error↓ | Coverage↓ | Ranking Loss↓ | Hamming Loss↓ |
|---|---|---|---|---|---|
| GoolgeNet | 0.7213 | 0.0389 | 0.0917 | 34.4535 | 0.0605 |
| C3D | 0.7215 | 0.0391 | 0.0892 | 33.4416 | 0.0621 |
| MLKNN | 0.7446 | 0.0381 | 0.0744 | 0.3414 | 0.0559 |
| GlOCAL | 0.7020 | 0.0415 | 0.1188 | 0.4930 | 0.0697 |
| SIMM | 0.7258 | 0.0423 | 0.0717 | 0.3149 | 0.0782 |
| TM3L | 0.7598 | 0.0380 | 0.0501 | 0.2298 | 0.0401 |
| MANET | 0.8019 | 0.0291 | 0.0591 | 22.9874 | 0.0485 |
| BGCLN | 0.8503 | 0.0224 | 0.0472 | 14.8036 | 0.0393 |
Disclaimer/Publisher’s Note: The statements, opinions and data contained in all publications are solely those of the individual author(s) and contributor(s) and not of MDPI and/or the editor(s). MDPI and/or the editor(s) disclaim responsibility for any injury to people or property resulting from any ideas, methods, instructions or products referred to in the content. |
© 2024 by the authors. Licensee MDPI, Basel, Switzerland. This article is an open access article distributed under the terms and conditions of the Creative Commons Attribution (CC BY) license (https://creativecommons.org/licenses/by/4.0/).
Share and Cite
Li, Y.; Wang, S.; Mo, J.; Wei, X. An Underwater Multi-Label Classification Algorithm Based on a Bilayer Graph Convolution Learning Network with Constrained Codec. Electronics 2024, 13, 3134. https://doi.org/10.3390/electronics13163134
Li Y, Wang S, Mo J, Wei X. An Underwater Multi-Label Classification Algorithm Based on a Bilayer Graph Convolution Learning Network with Constrained Codec. Electronics. 2024; 13(16):3134. https://doi.org/10.3390/electronics13163134
Chicago/Turabian StyleLi, Yun, Su Wang, Jiawei Mo, and Xin Wei. 2024. "An Underwater Multi-Label Classification Algorithm Based on a Bilayer Graph Convolution Learning Network with Constrained Codec" Electronics 13, no. 16: 3134. https://doi.org/10.3390/electronics13163134
APA StyleLi, Y., Wang, S., Mo, J., & Wei, X. (2024). An Underwater Multi-Label Classification Algorithm Based on a Bilayer Graph Convolution Learning Network with Constrained Codec. Electronics, 13(16), 3134. https://doi.org/10.3390/electronics13163134
