A Compound Framework for Forecasting the Remaining Useful Life of PEMFC
Abstract
1. Introduction
1.1. Motivations
1.2. Literature Review
1.3. Research Gaps and Contributions
- (1)
- In view of the problem that the meta-model of stacking has a limited ability to capture significant information output of the base models, ASGM integrating the single model ELM, KRR, TCN, and LSTM is established, and an attention mechanism module is embedded into stacking to improve the prediction effect further.
- (2)
- IDBO is employed to optimize the hyperparameters of LSTM to achieve higher forecasting accuracy, where IDBO is attained by embedding the Levy flight strategy, adaptive variation, and polynomial variation into DBO to promote the global and local detection ability.
- (3)
- UIC is utilized in the selection of input variables to capture critical information, which is able to decrease the training complexity and enhance the overall efficiency of the proposed model.
2. Related Methodologies
2.1. Locally Weighted Scatterplot Smoothing (LOESS)
2.2. Uniform Information Coefficient (UIC)
2.3. Attention-Based Stacked Generalization Model (ASGM)
2.3.1. Extreme Learning Machine (ELM)
2.3.2. Kernel Ridge Regression (KRR)
2.3.3. Temporal Convolutional Network (TCN)
2.3.4. Long Short-Term Memory Network (LSTM)
2.3.5. Attention Mechanism
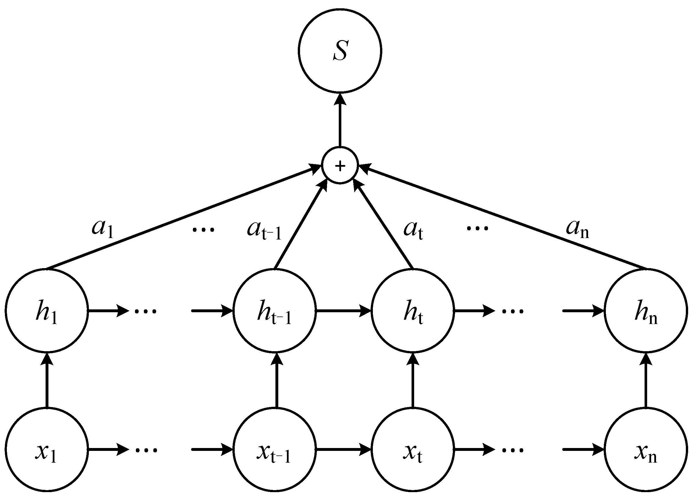
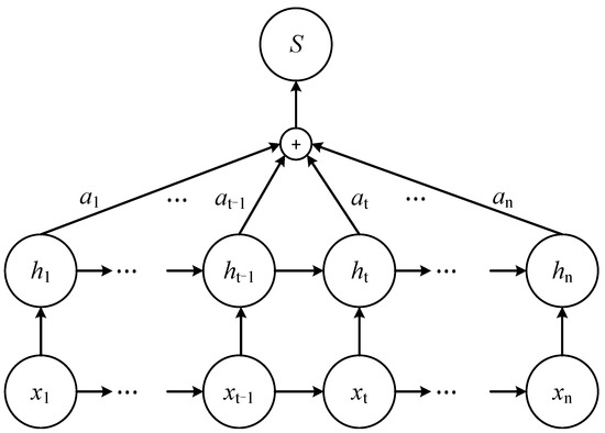
2.3.6. The Proposed Attention-Based Stacked Generalization Model (ASGM)
2.4. The Proposed IDBO for Optimization
- (1)
- obtain the position information of the optimal dung beetle X*;
- (2)
- perform the mutation operation on X* to obtain the new position according to Equation (44);
- (3)
- compare the fitness values of the two positions to update them optimally. Thus, the optimal position of dung beetles can be formulated as follows:
Optimization Process of IDBO-ASGM
3. PEMFC FDT and RUL Forecasting Framework Based on LOESS, UIC, ASGM, and IDBO
4. Experiment
4.1. Data Preprocessing
4.2. Model Hyperparameter Setting
5. Results and Discussion
- (1)
- Compute the predicted RUL (PRUL) and observe RUL (ORUL) with various FTS:where Tpred denotes the start moment of prediction, ToFT indicates the moment when the original signal first arrives at FTS, and TpFT implies the moment when the predicted signal first arrives at FTS.
- (2)
- Compute the error (Er) between PRUL and ORUL:
- (3)
- Compute the accuracy score (Ascore) of RUL prediction:
- (4)
- Average the Ascore under all FTS to obtain the FAscore:where Z denotes the value of defined FTS and is set to three in this study.
5.1. Results
5.1.1. Future Degradation Trend Forecasting Results
5.1.2. Remaining Useful Life Forecasting Results
5.2. Discussion
5.2.1. Discussion on the Effectiveness of UIC
5.2.2. Discussion on the Effectiveness of the Proposed IDBO
5.2.3. Discussion on the Effectiveness of the Proposed ASGM
6. Conclusions
Author Contributions
Funding
Data Availability Statement
Conflicts of Interest
Abbreviations
| ASGM | Attention-based Stacked Generalization Model |
| ARIMA | Autoregressive Integral Moving Average |
| Ave. | Average |
| DBO | Dung Beetle Optimization |
| ELM | Extreme Learning Machine |
| ESN | Echo State Network |
| FDT | Future Degradation Trend |
| FAscore | Final Score Accuracy |
| FTS | Failure Thresholds |
| GRU | Gated Recurrent Unit |
| IDBO | Improved Dung Beetle Optimization |
| KRR | Kernel Ridge Regression |
| LOESS | Locally Weighted Scatter Plot Smoothing |
| LSTM | Long Short-term Memory Neural Network |
| MAPE | Mean Absolute Percentage Error |
| PEMFC | Proton Exchange Membrane Fuel Cell |
| UIC | Uniform Information Coefficient |
| RUL | Remaining Useful Life |
| R2 | R Square |
| RMSE | Root Mean Square Error |
| SGM | Stacked Generalization Model |
| Std. | Standard Deviation |
| TCN | Temporal Convolutional Network |
References
- Liu, Z.; Xu, S.; Zhao, H.; Wang, Y. Durability estimation and short-term voltage degradation forecasting of vehicle PEMFC system: Development and evaluation of machine learning models. Appl. Energy 2022, 326, 119975. [Google Scholar] [CrossRef]
- Li, W.; Zhang, Q.; Wang, C.; Yan, X.; Shen, S.; Xia, G. Experimental and numerical analysis of a three-dimensional flow field for PEMFCs. Appl. Energy 2017, 195, 278–288. [Google Scholar] [CrossRef]
- Zhou, D.; Gao, F.; Breaz, E.; Ravey, A.; Miraoui, A. Degradation prediction of PEM fuel cell using a moving window based hybrid prognostic approach. Energy 2017, 138, 1175–1186. [Google Scholar] [CrossRef]
- Liu, H.; Chen, J.; Hissel, D.; Lu, J.; Hou, M.; Shao, Z. Prognostics methods and degradation indexes of proton exchange membrane fuel cells: A review. Renew. Sustain. Energy Rev. 2020, 123, 109721–109743. [Google Scholar] [CrossRef]
- Zuo, J.; Lv, H.; Zhou, D.; Xue, Q.; Jin, L.; Zhou, W. Deep learning based prognostic framework towards proton exchange membrane fuel cell for automotive application. Appl. Energy 2021, 281, 115937–115950. [Google Scholar] [CrossRef]
- Wang, C.; Wang, Z.; Chu, S.; Ma, H.; Yang, N. A two-stage underfrequency load shedding strategy for microgrid groups considering risk avoidance. Appl. Energy 2024, 367, 123343. [Google Scholar] [CrossRef]
- Zhou, D.; Wu, Y.; Gao, F. Degradation prediction of PEM fuel cell stack based on multiphysical aging model with particle filter approach. IEEE Trans. Ind. Appl 2017, 53, 4041–4052. [Google Scholar] [CrossRef]
- Chen, K.; Laghrouche, S.; Djerdir, A. Fuel cell health prognosis using Unscented Kalman Filter: Postal fuel cell electric vehicles case study. Int. J. Hydrogen Energy 2019, 44, 1930–1939. [Google Scholar] [CrossRef]
- Ma, R.; Yang, T.; Breaz, E.; Li, Z.; Briois, P.; Gao, F. Data-driven proton exchange membrane fuel cell degradation predication through deep learning method. Appl. Energy 2018, 231, 102–115. [Google Scholar] [CrossRef]
- Benaggoune, K.; Yue, M.; Jemei, S.; Zerhouni, N. A data-driven method for multistep ahead prediction and long-term prognostics of proton exchange membrane fuel cell. Appl. Energy 2022, 313, 118835–118850. [Google Scholar] [CrossRef]
- Chen, K.; Laghrouche, S.; Djerdir, S. Degradation model of proton exchange membrane fuel cell based on a novel hybrid method. Appl. Energy 2019, 252, 113439–113448. [Google Scholar] [CrossRef]
- Pan, R.; Yang, D.; Wang, Y.; Chen, Z. Performance degradation prediction of proton exchange membrane fuel cell using a hybrid prognostic approach. Int. J. Hydrogen Energy 2020, 45, 30994–31008. [Google Scholar] [CrossRef]
- Liu, H.; Chen, J.; Hissel, D.; Su, H. Remaining useful life estimation for proton exchange membrane fuel cells using a hybrid method. Appl. Energy 2019, 237, 910–919. [Google Scholar] [CrossRef]
- Xie, Y.; Zou, J.; Peng, C. A novel PEM fuel cell remaining useful life prediction method based on singular spectrum analysis and deep Gaussian processes. Int. J. Hydrogen Energy 2020, 45, 30942–30956. [Google Scholar] [CrossRef]
- Ao, Y.; Laghrouche, S.; Depernet, D. Proton exchange membrane fuel cell prognosis based on frequency-domain Kalman filter. IEEE Trans. Transport. Electrific. 2021, 7, 2332–2343. [Google Scholar] [CrossRef]
- Wang, P.; Liu, H.; Hou, M. Estimating the Remaining Useful Life of Proton Exchange Membrane Fuel Cells under Variable Loading Conditions Online. Processes 2021, 9, 1459. [Google Scholar] [CrossRef]
- Deng, Z.; Chan, S.; Chen, Q.; Liu, H.; Zhang, L.; Zhou, K.; Fu, Z. Efficient degradation prediction of PEMFCs using ELM-AE based on fuzzy extension broad learning system. Appl. Energy 2023, 331, 120385. [Google Scholar] [CrossRef]
- Hua, Z.; Zheng, Z.; Péra, M.-C.; Gao, F. Remaining useful life prediction of PEMFC systems based on the multi-input echo state network. Appl. Energy 2020, 265, 114791. [Google Scholar] [CrossRef]
- Mezzi, R.; Yousfi-Steiner, N.; Péra, M.C.; Hissel, D.; Larger, L. An Echo State Network for fuel cell lifetime prediction under a dynamic micro-cogeneration load profile. Appl. Energy 2021, 283, 116297. [Google Scholar] [CrossRef]
- Durganjali, C.S.; Avinash, G.; Megha, K. Prediction of PV cell parameters at different temperatures via ML algorithms and comparative performance analysis in Multiphysics environment. Energ. Convers. Manag. 2023, 282, 116881. [Google Scholar] [CrossRef]
- Liao, W.; Fu, W.; Yang, K. Multi-scale residual neural network with enhanced gated recurrent unit for fault diagnosis of rolling bearing. Meas. Sci. Technol. 2024, 35, 056114. [Google Scholar] [CrossRef]
- Yang, J.; Wu, Y.; Liu, X. Proton Exchange Membrane Fuel Cell Power Prediction Based on Ridge Regression and Convolutional Neural Network Data-Driven Model. Sustainability 2023, 15, 11010. [Google Scholar] [CrossRef]
- Chen, K.; Laghrouche, S.; Djerdir, A. Aging prognosis model of proton exchange membrane fuel cell in different operating conditions. Int. J. Hydrogen Energy 2020, 45, 11761–11772. [Google Scholar] [CrossRef]
- Zheng, L.; Hou, Y.; Zhang, T.; Pan, X. Performance prediction of fuel cells using long short-term memory recurrent neural network. Int. J. Energy Res. 2021, 45, 9141–9161. [Google Scholar] [CrossRef]
- Liu, J.; Li, Q.; Chen, W.; Yan, Y.; Qiu, Y.; Cao, T. Remaining useful life prediction of PEMFC based on long short-term memory recurrent neural networks. Int. J. Hydrogen Energy 2019, 44, 5470–5480. [Google Scholar] [CrossRef]
- Ullah, N.; Ahmad, Z.; Siddique, M.F.; Im, K.; Shon, D.-K.; Yoon, T.-H.; Yoo, D.-S.; Kim, J.-M. An Intelligent Framework for Fault Diagnosis of Centrifugal Pump Leveraging Wavelet Coherence Analysis and Deep Learning. Sensors 2023, 23, 8850. [Google Scholar] [CrossRef] [PubMed]
- Pan, M.; Hu, P.; Gao, R. Multistep prediction of remaining useful life of proton exchange membrane fuel cell based on temporal convolutional network. Int. J. Green Energy 2023, 20, 408–422. [Google Scholar] [CrossRef]
- Siddique, M.F.; Ahmad, Z.; Ullah, N.; Kim, J. A Hybrid Deep Learning Approach: Integrating Short-Time Fourier Transform and Continuous Wavelet Transform for Improved Pipeline Leak Detection. Sensors 2023, 23, 8079. [Google Scholar] [CrossRef] [PubMed]
- Li, C.; Lin, W.; Wu, H.; Li, Y.; Zhu, W.; Xie, C.; Gooi, H.B.; Zhao, B.; Zhang, L. Performance degradation decomposition-ensemble prediction of PEMFC using CEEMDAN and dual data-driven model. Renew. Energy 2023, 215, 118913. [Google Scholar] [CrossRef]
- Yuan, Z.; Meng, L.; Gu, X.; Bai, Y.; Cui, H.; Jiang, C. Prediction of NOx emissions for coal-fired power plants with stacked generalization ensemble method. Fuel 2021, 289, 119748. [Google Scholar] [CrossRef]
- Fu, W.; Fu, Y.; Li, B. A compound framework incorporating improved outlier detection and correction, VMD, weight-based stacked generalization with enhanced DESMA for multi-step short-term wind speed forecasting. Appl. Energy 2023, 348, 121587. [Google Scholar] [CrossRef]
- Wolpert, D.H. Stacked generalization. Neural Netw. 1992, 5, 241–259. [Google Scholar] [CrossRef]
- Mirjalili, S.; Mirjalili, S.M.; Lewis, A. Grey wolf optimizer. Adv. Eng. Softw. 2014, 69, 46–61. [Google Scholar] [CrossRef]
- Wang, J.; Yang, W.; Du, P.; Niu, T. A novel hybrid forecasting system of wind speed based on a newly developed multi-objective sine cosine algorithm. Energ. Conver. Manage. 2018, 163, 134–150. [Google Scholar] [CrossRef]
- Xue, J.; Shen, B. Dung beetle optimizer: A new meta-heuristic algorithm for global optimization. J. Supercomput. 2023, 79, 7305–7336. [Google Scholar] [CrossRef]
- Ren, X.; Liu, S.; Yu, X. A method for state-of-charge estimation of lithium-ion batteries based on PSO-LSTM. Energy 2021, 234, 121236. [Google Scholar] [CrossRef]
- Chen, K.; Laghrouche, S.; Djerdir, A. Remaining useful life prediction for fuel cell based on support vector regression and grey wolf optimizer algorithm. IEEE Trans. Energy Convers. 2021, 37, 778–787. [Google Scholar] [CrossRef]
- Liu, Y.; Cao, B. A novel ant colony optimization algorithm with Levy flight. IEEE Access 2020, 8, 67205–67213. [Google Scholar] [CrossRef]
- Abed-alguni, B.H.; Paul, D. Island-based Cuckoo Search with elite opposition-based learning and multiple mutation methods for solving optimization problems. Soft Comput. 2022, 26, 3293–3312. [Google Scholar] [CrossRef]
- Dong, W.; Kang, L.; Zhang, W. Opposition-based particle swarm optimization with adaptive mutation strategy. Soft Computing 2017, 21, 5081–5090. [Google Scholar] [CrossRef]
- Venthuruthiyil, S.P.; Chunchu, M. Trajectory reconstruction using locally weighted regression: A new methodology to identify the optimum window size and polynomial order. Transp. A Transp. Sci. 2018, 14, 881–900. [Google Scholar] [CrossRef] [PubMed]
- Reshef, D.N.; Reshef, Y.A.; Finucane, H.K. Detecting novel associations in large data sets. Science 2011, 334, 1518–1524. [Google Scholar] [CrossRef] [PubMed]
- Mousavi, A.; Baraniuk, R.G. Uniform partitioning of data grid for association detection. IEEE Trans. Pattern Anal. Mach. Intell. 2020, 44, 1098–1107. [Google Scholar] [CrossRef] [PubMed]
- Tang, X.; Chen, F.; Xu, Q. Short-term load forecasting based on multi-dimensional deep extreme learning machine optimized by improved whale algorithm. Shandong Electr. Power 2023, 50, 1–7. (In Chinese) [Google Scholar]
- Naik, J.; Satapathy, P.; Dash, P.K. Short-term wind speed and wind power prediction using hybrid empirical mode decomposition and kernel ridge regression. Appl. Soft Comput. 2018, 70, 1167–1188. [Google Scholar] [CrossRef]
- Huang, Y.; Wen, B.; Liao, W. Image Enhancement Based on Dual-Branch Generative Adversarial Network Combining Spatial and Frequency Domain Information for Imbalanced Fault Diagnosis of Rolling Bearing. Symmetry 2024, 16, 512. [Google Scholar] [CrossRef]
- Fu, W.; Yang, K.; Wen, B.; Shan, Y. Rotating machinery fault diagnosis with limited multisensor fusion samples by fused attention-guided wasserstein GAN. Symmetry 2024, 16, 285. [Google Scholar] [CrossRef]
- Greff, K.; Srivastava, R.K.; Koutník, J. LSTM: A search space odyssey. IEEE Trans. Neural Netw. Learn. Syst. 2016, 28, 2222–2232. [Google Scholar] [CrossRef] [PubMed]
- Guo, M.; Xu, T.; Liu, J. Attention mechanisms in computer vision: A survey. Comput. Vis. Media 2022, 8, 331–368. [Google Scholar] [CrossRef]
- Jin, J.; Chen, Y.; Xie, C.; Zhu, W.; Wu, F. Remaining useful life prediction of PEMFC based on cycle reservoir with jump model. Int. J. Hydrogen Energy 2021, 46, 40001–40013. [Google Scholar] [CrossRef]
- Chen, X.; Wu, J.; Cai, J. Short-term load prediction based on BiLSTM optimized by hunter-prey optimization algorithm. Shandong Electr. Power 2024, 51, 64–71. (In Chinese) [Google Scholar]
- Hua, Z.; Zheng, Z.; Pahon, E. A review on lifetime prediction of proton exchange membrane fuel cells system. J. Power Sources 2022, 529, 231256. [Google Scholar] [CrossRef]
- Fu, W.; Zhang, K.; Wang, K. A hybrid approach for multi-step wind speed forecasting based on two-layer decomposition, improved hybrid DE-HHO optimization and KELM. Renew. Energy 2021, 164, 211–229. [Google Scholar] [CrossRef]
- Wang, K.; Fu, W.; Chen, T. A compound framework for wind speed forecasting based on comprehensive feature selection, quantile regression incorporated into convolutional simplified long short-term memory network and residual error correction. Energy Convers. Manag. 2020, 222, 113234. [Google Scholar] [CrossRef]















| Parameters | Unit | Physical Meaning |
|---|---|---|
| US; U1~U5 | V | Stack voltage and 5 single-cell voltages. |
| Cur; CurD | A; A/cm2 | Current and current density. |
| Tin_H2; Tout_H2 | °C | The temperature of H2 at the inlet and outlet. |
| Tout_Air; Tin_Air | °C | The temperature of air at the inlet and outlet. |
| Tin_Wat; Tout_Wat | °C | The temperature of cooling water at the inlet and outlet. |
| Pin_H2; Pout_H2 | mbara | The pressure of H2 at the inlet and outlet. |
| Pin_Air; Pout_Air | mbara | The pressure of air at the inlet and outlet. |
| Din_H2; Dout_H2 | L/mn | The flow rate of H2 at the inlet and outlet. |
| Din_Air; Dout_Air | L/mn | The flow rate of air at the inlet and outlet. |
| DWat | L/mn | The flow rate of cooling water. |
| HAir | % | The hygrometry of air at the inlet. |
| Models | Parameters | Determination Methods | Values/Research Range |
|---|---|---|---|
| ELM | Number of hidden neurons | Grid search | [50, 200] |
| Kernel Ridge | Regularization parameter | Grid search | [0, 1] |
| TCN | Convolution kernel size | Trial and error method | 3 |
| Batch size | Trial and error method | 32 | |
| The number of filters in the convolution layer | Trial and error method | 16 | |
| Epochs of training | Trial and error method | 350 | |
| LSTM | Number of hidden layer nodes | Trial and error method | 64 |
| Batch size | Trial and error method | 16 | |
| Epochs of training | IDBO | [300, 500] | |
| Initial learning rate | IDBO | [0, 1] | |
| IDBO | Population number | Present | 30 |
| Maximum iterations | Present | 50 |
| Models | Evaluation Indicators | ||
|---|---|---|---|
| RMSE (V) | MAPE (%) | R2 | |
| LSTM | 0.00751 | 17.413 | 0.72915 |
| SGM | 0.00415 | 10.487 | 0.91735 |
| UIC-SGM | 0.00276 | 8.081 | 0.96323 |
| UIC-IDBO-SGM | 0.00237 | 6.830 | 0.97297 |
| UIC-ASGM | 0.00177 | 5.141 | 0.98496 |
| UIC-IDBO-ASGM | 0.00147 | 4.296 | 0.98969 |
| Models | Evaluation Indicators | ||
|---|---|---|---|
| RMSE (V) | MAPE (%) | R2 | |
| LSTM | 0.00826 | 25.377 | 0.90247 |
| SGM | 0.00598 | 17.337 | 0.94880 |
| UIC-SGM | 0.00428 | 11.934 | 0.97382 |
| UIC-IDBO-SGM | 0.00299 | 8.482 | 0.98719 |
| UIC-ASGM | 0.00334 | 7.990 | 0.98401 |
| UIC-IDBO-ASGM | 0.00212 | 4.572 | 0.99359 |
| Models | Predicted RUL(h) | Final Score | ||
|---|---|---|---|---|
| 3% | 3.5% | 4% | ||
| LSTM | 46 | 230 | 236 | 0.6708 |
| SGM | 47.5 | 228 | 231 | 0.7837 |
| UIC-SGM | 57 | 226 | 230 | 0.8912 |
| UIC-IDBO-SGM | 60 | 227.5 | 230 | 0.9293 |
| UIC-ASGM | 60 | 227.5 | 230.5 | 0.9319 |
| UIC-IDBO-ASGM | 62 | 227.5 | 231 | 0.9671 |
| Models | Predicted RUL(h) | Final Score | ||
|---|---|---|---|---|
| 4.5% | 5% | 5.5% | ||
| LSTM | 260 | 414.5 | 428 | 0.4444 |
| SGM | 249.5 | 262 | 425 | 0.9210 |
| UIC-SGM | 247.5 | 262.5 | 425.5 | 0.9506 |
| UIC-IDBO-SGM | 247.5 | 263 | 422 | 0.9632 |
| UIC-ASGM | 247 | 263 | 425 | 0.9667 |
| UIC-IDBO-ASGM | 246.5 | 263 | 423 | 0.9831 |
| Datasets | PIindex (%) | SGM vs. UIC-SGM | UIC-SGM vs. UIC-IDBO-SGM | UIC-IDBO-SGM vs. UIC-IDBO-ASGM |
|---|---|---|---|---|
| FC1 | 33.49 | 14.13 | 37.9 | |
| 22.94 | 15.48 | 37.1 | ||
| 5.00 | 1.01 | 1.718 | ||
| FC2 | 28.4 | 30.14 | 29.10 | |
| 31.39 | 28.92 | 46.09 | ||
| 2.63 | 1.37 | 0.65 |
| Function | Dimension | Range | |
|---|---|---|---|
| 30 | [−30, 30] | 0 | |
| 30 | [−100, 100] | 0 | |
| 30 | [−1.28, 1.28] | 0 | |
| 30 | [−32, 32] | 0 | |
| 30 | [−50, 50] | 0 | |
| 30 | [−50, 50] | 0 | |
| 2 | [−65, 65] | 1 | |
| 4 | [−5, 5] | 0.1484 | |
| 2 | [−5, 5] | 0.3 |
| ID | Metric | IDBO | DBO | ALO | WOA | SCA | GWO | MFO |
|---|---|---|---|---|---|---|---|---|
| F5 | AVG | 24.57 | 27.10 | 9.86 × 104 | 28.61 | 3.22 × 106 | 28.12 | 1.27 × 107 |
| STD | 0.17 | 0.48 | 1.51 × 105 | 0.18 | 4.57 × 106 | 0.75 | 2.91 × 107 | |
| F6 | AVG | 7.11 × 10−12 | 0.28 | 9.04 × 102 | 1.18 | 7.93 × 102 | 1.29 | 3.99 × 103 |
| STD | 2.23 × 10−11 | 0.21 | 6.84 × 102 | 0.43 | 9.72 × 102 | 0.35 | 4.46 × 103 | |
| F7 | AVG | 9.51 × 10−4 | 0.0028 | 0.98 | 0.0090 | 1.043 | 0.0062 | 6.01 |
| STD | 7.39 × 10−4 | 0.0024 | 0.45 | 0.013 | 1.18 | 0.0027 | 9.47 | |
| F10 | AVG | 8.88 × 10−16 | 1.42 × 10−15 | 12.29 | 2.33 × 10−14 | 13.69 | 1.98 × 10−5 | 16.93 |
| STD | 0 | 1.30 × 10−15 | 2.05 | 1.57 × 10−14 | 7.19 | 7.98 × 10−6 | 4.78 | |
| F12 | AVG | 1.88 × 10−13 | 0.0066 | 31.31 | 0.076 | 2.38 × 106 | 0.069 | 2.03 × 105 |
| STD | 5.29 × 10−13 | 0.0075 | 20.10 | 0.052 | 3.90 × 106 | 0.034 | 2.40 × 105 | |
| F13 | AVG | 0.15 | 1.04 | 2.88 × 103 | 0.84 | 1.00 × 107 | 1.07 | 2.28 × 107 |
| STD | 0.18 | 0.59 | 8.51 × 103 | 0.28 | 1.20 × 107 | 0.24 | 9.12 × 107 | |
| F14 | AVG | 0.19 | 0.44 | 3.05 | 2.64 | 1.31 | 4.50 | 0.44 |
| STD | 0.61 | 1.176 | 3.25 | 4.05 | 2.21 | 4.56 | 0.99 | |
| F15 | AVG | 4.91 × 10−4 | 9.37 × 10−4 | 3.66 × 10−3 | 9.64 × 10−4 | 9.99 × 10−4 | 4.66 × 10−3 | 1.23 × 10−3 |
| STD | 3.85 × 10−4 | 4.20 × 10−4 | 6.47 × 10−3 | 6.87 × 10−4 | 3.39 × 10−4 | 8.27 × 10−3 | 4.83 × 10−4 | |
| F17 | AVG | 0.098 | 0.098 | 0.098 | 0.098 | 0.10 | 0.098 | 0.098 |
| STD | 2.85 × 10−17 | 2.85 × 10−17 | 2.44 × 10−13 | 7.91 × 10−5 | 0.0035 | 4.70 × 10−6 | 2.85 × 10−17 |
Disclaimer/Publisher’s Note: The statements, opinions and data contained in all publications are solely those of the individual author(s) and contributor(s) and not of MDPI and/or the editor(s). MDPI and/or the editor(s) disclaim responsibility for any injury to people or property resulting from any ideas, methods, instructions or products referred to in the content. |
© 2024 by the authors. Licensee MDPI, Basel, Switzerland. This article is an open access article distributed under the terms and conditions of the Creative Commons Attribution (CC BY) license (https://creativecommons.org/licenses/by/4.0/).
Share and Cite
Wu, C.; Fu, W.; Shan, Y.; Shao, M. A Compound Framework for Forecasting the Remaining Useful Life of PEMFC. Electronics 2024, 13, 2335. https://doi.org/10.3390/electronics13122335
Wu C, Fu W, Shan Y, Shao M. A Compound Framework for Forecasting the Remaining Useful Life of PEMFC. Electronics. 2024; 13(12):2335. https://doi.org/10.3390/electronics13122335
Chicago/Turabian StyleWu, Chuanfeng, Wenlong Fu, Yahui Shan, and Mengxin Shao. 2024. "A Compound Framework for Forecasting the Remaining Useful Life of PEMFC" Electronics 13, no. 12: 2335. https://doi.org/10.3390/electronics13122335
APA StyleWu, C., Fu, W., Shan, Y., & Shao, M. (2024). A Compound Framework for Forecasting the Remaining Useful Life of PEMFC. Electronics, 13(12), 2335. https://doi.org/10.3390/electronics13122335

