Dynamic Difficulty Adaptation Based on Stress Detection for a Virtual Reality Video Game: A Pilot Study
Abstract
1. Introduction
2. Related Work
- RQ1. Is it possible to maintain users at a specific stress level by employing DDA algorithms that rely on online affective data?
- RQ2. Will there be statistically significant differences between users’ workloads for the two DDA strategies?
3. Methodology
3.1. Virtual Reality Video Game
3.2. Stress Classification
3.3. Physiological Signal Acquisition and Processing
3.4. Dynamic Difficulty Adaptation Strategies
- Spawning rate adaptation. In the first modality, the game starts with an initial variable , defining the initial difficulty, and the rate at which the enemies spawn is . If the player’s stress level is predicted as a level 0, then the value increases by 0.05; if the level is 1, the value remains the same; and if the level is 2, then the value decreases by 0.05. This value is limited to decreasing until 0.5 (the easiest level) and increasing up to 1.5 (the most difficult level). The whole process for spawning rate adaptation is described in Algorithm 1.
- Variable damage adaptation. For the second modality, the game considers the starting damage of 10 points while the total health of each enemy is set at 100 points. Every time a bullet reaches each enemy, its health diminishes. If the stress level of the player is predicted as a level 0, then the damage decreases by 2; if the level is 1, then the damage remains the same; and if the level is 2, then the damage increases by 2. This value is limited to increasing until 50 (the easiest level) and decreasing until 10 (the most difficult level). The process is described in Algorithm 2.
| Algorithm 1: Algorithm for spawning rate adaptation |
![]() |
3.5. NASA-TLX Questionnaire
| Algorithm 2: Algorithm for variable damage adaptation |
![]() |
3.6. Experimental Procedure
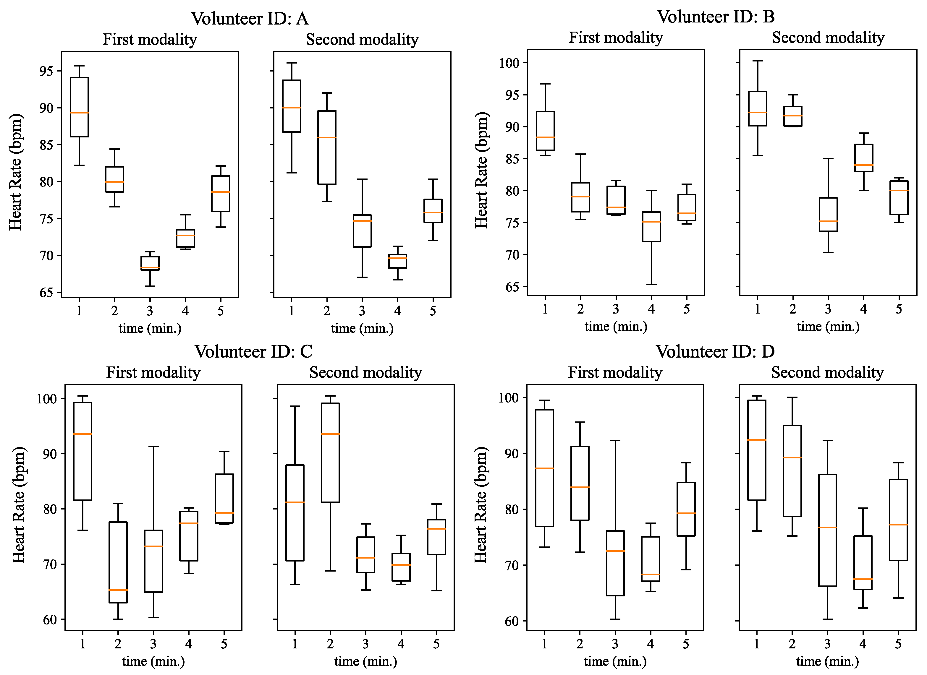
4. Results
5. Discussion
6. Conclusions
7. Limitations and Future Work
Author Contributions
Funding
Institutional Review Board Statement
Informed Consent Statement
Data Availability Statement
Acknowledgments
Conflicts of Interest
References
- Statista. AR & VR—Worldwide. 2023. Available online: https://www.statista.com/outlook/amo/ar-vr/worldwide#revenue (accessed on 12 June 2024).
- Dincelli, E.; Yayla, A. Immersive virtual reality in the age of the Metaverse: A hybrid-narrative review based on the technology affordance perspective. J. Strateg. Inf. Syst. 2022, 31, 101717. [Google Scholar] [CrossRef]
- Muñoz-Saavedra, L.; Miró-Amarante, L.; Domínguez-Morales, M. Augmented and Virtual Reality Evolution and Future Tendency. Appl. Sci. 2020, 10, 322. [Google Scholar] [CrossRef]
- Statista. Virtual Reality (VR) Gaming Revenue Worldwide from 2019 to 2024. 2024. Available online: https://www.statista.com/statistics/1360511/global-virtual-reality-gaming-revenue/ (accessed on 12 June 2024).
- Pallavicini, F.; Pepe, A.; Minissi, M.E. Gaming in Virtual Reality: What Changes in Terms of Usability, Emotional Response and Sense of Presence Compared to Non-Immersive Video Games? Simul. Gaming 2019, 50, 136–159. [Google Scholar] [CrossRef]
- Jang, Y.; Park, E. An adoption model for virtual reality games: The roles of presence and enjoyment. Telemat. Inform. 2019, 42, 101239. [Google Scholar] [CrossRef]
- Lora-Ariza, D.S.; Sánchez-Ruiz, A.A.; González-Calero, P.A.; Camps-Ortueta, I. Measuring Control to Dynamically Induce Flow in Tetris. IEEE Trans. Games 2022, 14, 579–588. [Google Scholar] [CrossRef]
- Shi, P.; Chen, K. Learning Constructive Primitives for Real-Time Dynamic Difficulty Adjustment in Super Mario Bros. IEEE Trans. Games 2018, 10, 155–169. [Google Scholar] [CrossRef]
- Paraschos, P.D.; Koulouriotis, D.E. Game Difficulty Adaptation and Experience Personalization: A Literature Review. Int. J. Hum.-Comput. Interact. 2023, 39, 1–22. [Google Scholar] [CrossRef]
- Changchun, L.; Pramila, A.; Nilanjan, S.; Shuo, C. Dynamic Difficulty Adjustment in Computer Games Through Real-Time Anxiety-Based Affective Feedback. Int. J. Hum.-Comput. Interact. 2009, 25, 506–529. [Google Scholar] [CrossRef]
- Chanel, G.; Rebetez, C.; Bétrancourt, M.; Pun, T. Emotion Assessment From Physiological Signals for Adaptation of Game Difficulty. IEEE Trans. Syst. Man, Cybern.-Part Syst. Humans 2011, 41, 1052–1063. [Google Scholar] [CrossRef]
- Csikszentmihalyi, M. Flow: The Psychology of Optimal Experience by Mihaly Csikszentmihalyi; CreateSpace Independent Publishing Platform: Scotts Valley, CA, USA, 2018. [Google Scholar]
- Stein, A.; Yotam, Y.; Puzis, R.; Shani, G.; Taieb-Maimon, M. EEG-triggered dynamic difficulty adjustment for multiplayer games. Entertain. Comput. 2018, 25, 14–25. [Google Scholar] [CrossRef]
- Silva, M.P.; do Nascimento Silva, V.; Chaimowicz, L. Dynamic difficulty adjustment on MOBA games. Entertain. Comput. 2017, 18, 103–123. [Google Scholar] [CrossRef]
- Lara-Álvarez, C.; Mitre-Hernandez, H.; Flores, J.J.; Pérez-Espinosa, H. Induction of Emotional States in Educational Video Games Through a Fuzzy Control System. IEEE Trans. Affect. Comput. 2021, 12, 66–77. [Google Scholar] [CrossRef]
- Moschovitis, P.; Denisova, A. Keep Calm and Aim for the Head: Biofeedback-Controlled Dynamic Difficulty Adjustment in a Horror Game. IEEE Trans. Games 2022, 15, 368–377. [Google Scholar] [CrossRef]
- Reidy, L.; Chan, D.; Nduka, C.; Gunes, H. Facial Electromyography-Based Adaptive Virtual Reality Gaming for Cognitive Training. In Proceedings of the 2020 International Conference on Multimodal Interaction, ICMI ’20, Virtual Event, 25–29 October 2020; pp. 174–183. [Google Scholar] [CrossRef]
- Nacke, L.E.; Grimshaw, M.N.; Lindley, C.A. More than a feeling: Measurement of sonic user experience and psychophysiology in a first-person shooter game. Interact. Comput. 2010, 22, 336–343. [Google Scholar] [CrossRef]
- Muñoz, J.E.; Quintero, L.; Stephens, C.L.; Pope, A.T. A Psychophysiological Model of Firearms Training in Police Officers: A Virtual Reality Experiment for Biocybernetic Adaptation. Front. Psychol. 2020, 11, 516170. [Google Scholar] [CrossRef] [PubMed]
- Montoya, M.F.; Muñoz, J.; Henao, O.A. Fatigue-aware videogame using biocybernetic adaptation: A pilot study for upper-limb rehabilitation with sEMG. Virtual Real. 2023, 27, 277–290. [Google Scholar] [CrossRef]
- Montoya, M.F.; Muñoz, J.E.; Henao, O.A. Enhancing Virtual Rehabilitation in Upper Limbs with Biocybernetic Adaptation: The Effects of Virtual Reality on Perceived Muscle Fatigue, Game Performance and User Experience. IEEE Trans. Neural Syst. Rehabil. Eng. 2020, 28, 740–747. [Google Scholar] [CrossRef] [PubMed]
- Orozco-Mora, C.E.; Oceguera-Cuevas, D.; Fuentes-Aguilar, R.Q.; Hernández-Melgarejo, G. Stress Level Estimation Based on Physiological Signals for Virtual Reality Applications. IEEE Access 2022, 10, 68755–68767. [Google Scholar] [CrossRef]
- Kenney.nl. Animated Characters and Graveyard Kit. 2020. Available online: https://kenney.nl/assets/animated-characters-1andhttps://kenney.nl/assets/graveyard-kit (accessed on 20 October 2020).
- Valembois, Q. Making a VR Game in ONE HOUR, Youtube. 2020. Available online: https://www.youtube.com/watch?v=ICyrJVddNxU (accessed on 20 October 2020).
- Allison, B.; Polich, J. Workload Assessment of Computer Gaming Using a Single-Stimulus Event-Related Potential Paradigm. Biol. Psychol. 2008, 77, 277–283. [Google Scholar] [CrossRef] [PubMed]
- Jonghwa, K.; Elisabeth, A. Emotion Recognition Based on Physiological Changes in Music Listening. IEEE Trans. Pattern Anal. Mach. Intell. 2008, 30, 2067–2083. [Google Scholar] [CrossRef]
- Parnandi, A.R.; Gutierrez-Osuna, R. A Comparative Study of Game Mechanics and Control Laws for an Adaptive Physiological Game. J. Multimodal User Interfaces 2014, 9, 31–42. [Google Scholar] [CrossRef]
- Felnhofer, A.; Kothgassner, O.D.; Schmidt, M.; Heinzle, A.K.; Beutl, L.; Hlavacs, H.; Kryspin-Exner, I. Is Virtual Reality Emotionally Arousing? Investigating Five Emotion Inducing Virtual Park Scenarios. Int. J. Hum.-Comput. Stud. 2015, 82, 48–56. [Google Scholar] [CrossRef]
- Pedregosa, F.; Varoquaux, G.; Gramfort, A.; Michel, V.; Thirion, B.; Grisel, O.; Blondel, M.; Prettenhofer, P.; Weiss, R.; Dubourg, V.; et al. Scikit-learn: Machine Learning in Python. J. Mach. Learn. Res. 2011, 12, 2825–2830. [Google Scholar] [CrossRef]
- Hart, S.G.; Staveland, L.E. Development of NASA-TLX (Task Load Index): Results of Empirical and Theoretical Research. Adv. Psychol. 1988, 52, 139–183. [Google Scholar] [CrossRef]
- Hernández-Melgarejo, G.; Luviano-Juárez, A.; Fuentes-Aguilar, R.Q. A Framework to Model and Control the State of Presence in Virtual Reality Systems. IEEE Trans. Affect. Comput. 2022, 13, 1854–1867. [Google Scholar] [CrossRef]










| Study | Affective Data | DDA Strategy | Number of Variables | Application |
|---|---|---|---|---|
| [10] | 3 levels of anxiety using ECG, EMG, EDA, PPG | Performance and affective based | 3 levels that depend on several elements | Pong Game |
| [13] | Short-term excitement from EEG | Threshold based to evoke excitement | 4 modes | Third-person shooter |
| [16] | Arousal via HR | Linear increments/decrements to evoke motivation | 3 parameters | Horror seek and find game |
| [17] | Arousal and valence using facial EMG | 10 difficulty levels to generate cognitive load | 1 (each application) | Multi-room museum and supermarket |
| [18] | Arousal using skin conductance and facial EMG | 4 combinations of sounds | 2 boolean, music and sound effects | FPS video game |
| [19] | Stress using EEG and HRV | 3 levels to adapt static vs. mobile targets | 1 | VR police training |
| [21] | Muscular fatigue (EMG) | Continuous control of exercise intensity | 1 | Force defense rehabilitation video game |
| This Study | Stress using HR and EMG | Modify number of spawning enemies/modify the amount of damage | 1 for each game modality | FPS video game |
| Label | Feature Name | Equation |
|---|---|---|
| Root Mean Square (EMG) | ||
| Mean Absolute Value (EMG) | ||
| Variance (EMG) | ||
| Standard Deviation (EMG) | ||
| Maximum Peak in a Timespan (EMG) | ||
| Heart Rate (ECG) | = beats per minute |
| Model | Accuracy Score | AUC | Average Precision | Macro F1 Score |
|---|---|---|---|---|
| SVM (RBF) | 90% | 0.96 | 0.91 | 0.94 |
| kNN | 88% | 0.90 | 0.96 | 0.92 |
| RFC | 89% | 0.94 | 0.96 | 0.92 |
| MLP | 88% | 0.92 | 0.96 | 0.90 |
Disclaimer/Publisher’s Note: The statements, opinions and data contained in all publications are solely those of the individual author(s) and contributor(s) and not of MDPI and/or the editor(s). MDPI and/or the editor(s) disclaim responsibility for any injury to people or property resulting from any ideas, methods, instructions or products referred to in the content. |
© 2024 by the authors. Licensee MDPI, Basel, Switzerland. This article is an open access article distributed under the terms and conditions of the Creative Commons Attribution (CC BY) license (https://creativecommons.org/licenses/by/4.0/).
Share and Cite
Orozco-Mora, C.E.; Fuentes-Aguilar, R.Q.; Hernández-Melgarejo, G. Dynamic Difficulty Adaptation Based on Stress Detection for a Virtual Reality Video Game: A Pilot Study. Electronics 2024, 13, 2324. https://doi.org/10.3390/electronics13122324
Orozco-Mora CE, Fuentes-Aguilar RQ, Hernández-Melgarejo G. Dynamic Difficulty Adaptation Based on Stress Detection for a Virtual Reality Video Game: A Pilot Study. Electronics. 2024; 13(12):2324. https://doi.org/10.3390/electronics13122324
Chicago/Turabian StyleOrozco-Mora, Carmen Elisa, Rita Q. Fuentes-Aguilar, and Gustavo Hernández-Melgarejo. 2024. "Dynamic Difficulty Adaptation Based on Stress Detection for a Virtual Reality Video Game: A Pilot Study" Electronics 13, no. 12: 2324. https://doi.org/10.3390/electronics13122324
APA StyleOrozco-Mora, C. E., Fuentes-Aguilar, R. Q., & Hernández-Melgarejo, G. (2024). Dynamic Difficulty Adaptation Based on Stress Detection for a Virtual Reality Video Game: A Pilot Study. Electronics, 13(12), 2324. https://doi.org/10.3390/electronics13122324



