Textile Antenna with Dual Bands and SAR Measurements for Wearable Communication
Abstract
1. Introduction
2. Antenna Geometry
3. Results and Discussion
3.1. Under Normal Conditions
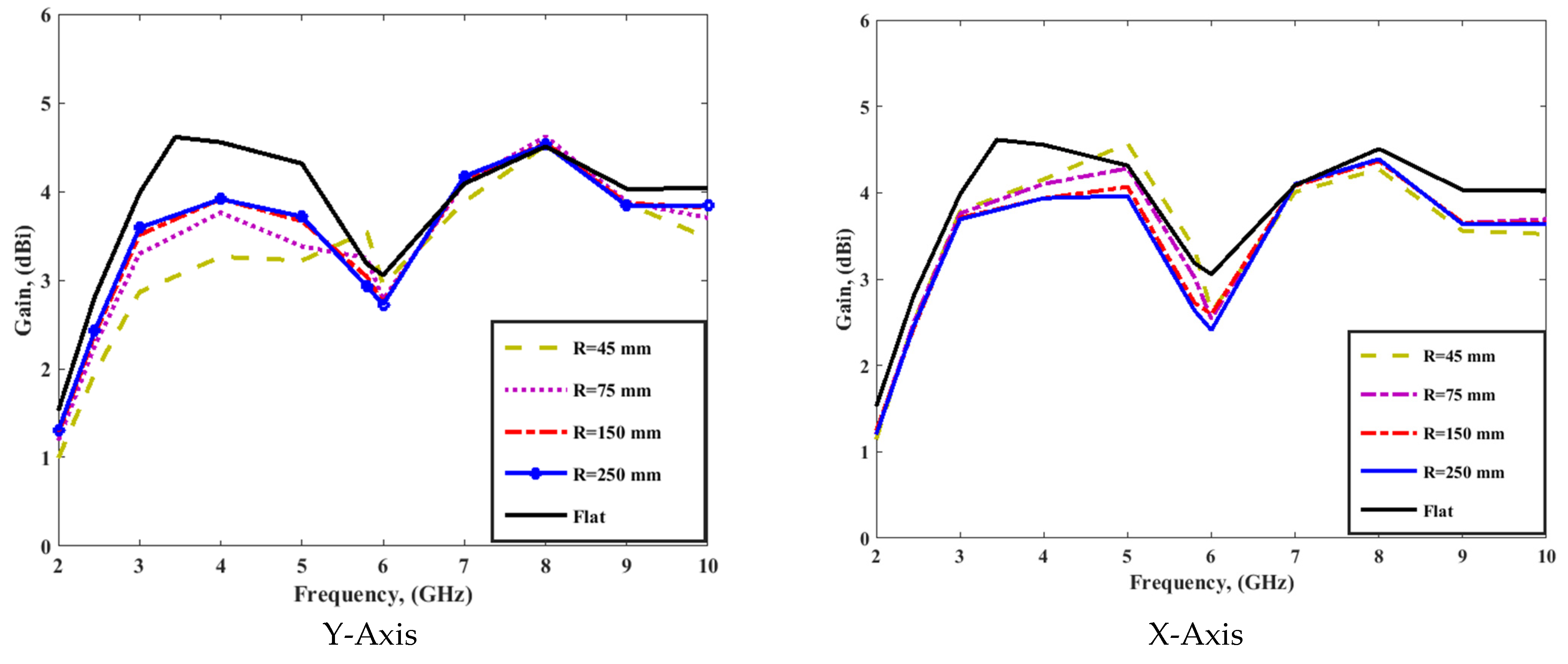
3.2. Bending Condition
4. Sar Calculation and Measurements
- The antenna attained the broadest impedance bandwidth when compared to other dual-band wearable antennas.
- Denim, chosen as the substrate, surpasses other materials like rubber, cellulose laurate, and polyimide in wearable applications due to its exceptional combination of lightweight construction, flexibility, and cost-effectiveness for printing.
- Despite its flexible nature, the antenna achieved commendable gain and maintained a comparable size to other antennas.
5. Conclusions
Author Contributions
Funding
Data Availability Statement
Conflicts of Interest
References
- Verena, M.; Radouchová, M.; Soukup, R.; Hipp, S.; Blecha, T. Wearable textile antennas: Investigation on material variants, fabrication methods, design and application. Fash. Text. 2024, 11, 9. [Google Scholar]
- Ahmed, M.I.; Ahmed, M.F. Study of Bending, Crumpling, and SAR for a Multi-band Wearable Fractal Antenna for Telemedicine Applications. Int. J. Microw. Opt. Technol. 2019, 14, 240–246. [Google Scholar]
- Ayd RSaad, A.; Hassan, W.M.; Ibrahim, A.A. A monopole antenna with cotton fabric material for wearable applications. Sci. Rep. 2023, 3, 7315. [Google Scholar] [CrossRef]
- Pendli, P.; Basha, M.M.; Gundala, S.; Syed, J. Development of Wearable Textile MIMO Antenna for Sub-6 GHz Band New Radio 5G Applications. Micromachines 2024, 15, 651. [Google Scholar]
- Ibrahim, A.A.; Ahmed, M.I.; Ahmed, M.F. A systematic investigation of four ports MIMO antenna depending on flexible material for UWB networks. Sci. Rep. 2022, 12, 14351. [Google Scholar] [CrossRef] [PubMed]
- Arpan, D.; Hsu, H.-T.; Yousef, B.M.; Ameen, A.M.; Tsao, Y.-F.; Ibrahim, A.A. UWB Connected Ground Transparent 4-Port Flexible MIMO Antenna for IoT Applications. IEEE Internet Things J. 2023, 11, 12475–12484. [Google Scholar]
- Arpan, D.; Palandoken, M.; Kulkarni, J.; Byun, G.; Nguyen, T.K. Wideband flexible/transparent connected-ground MIMO antennas for sub-6 GHz 5G and WLAN applications. IEEE Access 2021, 9, 147003–147015. [Google Scholar]
- Gohar, V.; Keshtkar, A.; Daryasafar, N.; Naser-Moghadasi, M. Microstrip Sierpinski fractal carpet for slot antenna with metamaterial loads for dual-band wireless application. AEU Int. J. Electron. Commun. 2018, 84, 93–99. [Google Scholar]
- Walaa, M.H.; Saad, A.A.R.; Ibrahim, A.A. Ultra-wideband flexible antenna applicable for dual-band on-body communications. Int. J. Microw. Wirel. Technol. 2023, 15, 609–622. [Google Scholar]
- Shailesh, J.; Srivastava, G.; Purwar, R. Bending and SAR analysis on UWB wearable MIMO antenna for on-arm WBAN applications. Frequenz 2021, 75, 177–189. [Google Scholar]
- Gao, G.-P.; Yang, C.; Hu, B.; Zhang, R.-F.; Wang, S.-F. A Wearable PIFA With an All-Textile Metasurface for 5 GHz WBAN Applications. IEEE Antennas Wirel. Propag. Lett. 2018, 18, 288–292. [Google Scholar] [CrossRef]
- Zheng, Y.; Zhang, K.; Chen, J.; Yan, S. Compact monopole antenna for wireless body area network, wireless local area network, and ultrawideband applications. Int. J. RF Microw. Comput. Aided Eng. 2021, 31, e22546. [Google Scholar] [CrossRef]
- Kanagasabai, M.; Sambandam, P.; Alsath, M.G.N.; Palaniswamy, S.; Ravichandran, A.; Girinathan, C. Miniaturized Circularly Polarized UWB Antenna for Body Centric Communication. IEEE Trans. Antennas Propag. 2021, 70, 189–196. [Google Scholar] [CrossRef]
- Chen, P.; Wang, D.; Liu, L.; Wang, L.; Lin, Y. Design of UWB Wearable Conformal Antenna Based on Jean Material. Int. J. Antennas Propag. 2022, 2022, 4886844. [Google Scholar] [CrossRef]
- Simorangkir, R.B.; Kiourti, A.; Esselle, K.P. UWB Wearable Antenna With a Full Ground Plane Based on PDMS-Embedded Conductive Fabric. IEEE Antennas Wirel. Propag. Lett. 2018, 17, 493–496. [Google Scholar] [CrossRef]
- Abdullah, A.-S.; Al-Ghamdi, A.; Dishovsky, N.; Atanasov, N.; Atanasova, G. Design and performance analysis of dual-band wearable compact low-profile antenna for body-centric wireless communications. Int. J. Microw. Wirel. Technol. 2018, 10, 1175–1185. [Google Scholar]
- Zhang, K.; Soh, P.J.; Yan, S. Design of a compact dual-band textile antenna based on metasurface. IEEE Trans. Biomed. Circuits Syst. 2022, 16, 211–221. [Google Scholar] [CrossRef] [PubMed]
- Umar, M.; Shah, S.M.; Majid, H.A.; Mahadi, I.A.; Rahim, M.K.A.; Yahya, M.S.; Abidin, Z.Z. Design and Analysis of a Compact Dual-Band Wearable Antenna for WBAN Applications. IEEE Access 2023, 11, 30996–31009. [Google Scholar]
- Le, T.T.; Yun, T.-Y. Miniaturization of a dual-band wearable antenna for WBAN applications. IEEE Antennas Wirel. Propag. Lett. 2023, 19, 1452–1456. [Google Scholar] [CrossRef]
- Shirvani, P.; Khajeh-Khalili, F.; Neshati, M.H. Design investigation of a dual-band wearable antenna for tele-monitoring applications. AEU Int. J. Electron. Commun. 2021, 138, 153840. [Google Scholar] [CrossRef]
- Sid, A.; Cresson, P.-Y.; Joly, N.; Braud, F.; Lasri, T. A flexible and wearable dual band bio-based antenna for WBAN applications. AEU Int. J. Electron. Commun. 2022, 157, 154412. [Google Scholar] [CrossRef]
- Zheng, H.; Cui, W.; Liu, R.; Li, Z.; Fan, C.; Wang, M.; Li, E. Design of flexible dual-band antenna and metamaterial structure for wearable body area network. Int. J. RF Microw. Comput. Eng. 2022, 32, e23083. [Google Scholar] [CrossRef]
- Ismail, A.M.; Ahmed, M.F. A Dual-Band Flexible Wearable Antenna Integrated on a Smart Watch for 5G Applications. In Fundamental and Supportive Technologies for 5G Mobile Networks; IGI Global: Hershey, PA, USA, 2020; pp. 77–101. [Google Scholar]
- Ahmed, M.I.; Ahmed, M.F.; Shaalan, A.-E.A. Novel electro-textile patch antenna on jeans substrate for wearable applications. Prog. Electromagn. Res. C 2018, 83, 255–265. [Google Scholar] [CrossRef]
- Veeramuthu, L.; Cho, C.-J.; Liang, F.-C.; Venkatesan, M.; Kumar G, R.; Hsu, H.-Y.; Chung, R.-J.; Lee, C.-H.; Lee, W.-Y.; Kuo, C.-C. Human skin-inspired electrospun patterned robust strain-insensitive pressure sensors and wearable flexible light-emitting diodes. ACS Appl. Mater. Interfaces 2022, 14, 30160–30173. [Google Scholar] [CrossRef]
- Xu, S.; Momin, M.; Ahmed, S.; Hossain, A.; Veeramuthu, L.; Pandiyan, A.; Kuo, C.; Zhou, T. Illuminating the Brain: Advances and Perspectives in Optoelectronics for Neural Activity Monitoring and Modulation. Adv. Mater. 2023, 35, 2303267. [Google Scholar] [CrossRef]






















| LS | WS | WP | LP | WF | LF |
| 77 | 40 | 20 | 57 | 2.12 | 10 |
| LG | L1 | L2 | L3 | W1 | W2 |
| 9 | 4 | 20.2 | 14.4 | 2 | 2 |
| Freq. | SAR Value (w/kg) | |||||||||||
|---|---|---|---|---|---|---|---|---|---|---|---|---|
| Stomach | Left Head | Right Head | ||||||||||
| 10 g | 1 g | 10 g | 1 g | 10 g | 1 g | |||||||
| S * | M * | S | M | S | M | S | M | S | M | S | M | |
| 2.45 | 0.53 | 0.69 | 1.25 | 1.56 | 1.09 | 1.21 | 1.26 | 1.49 | 0.74 | 0.92 | 0.95 | 1.02 |
| 3.5 | 0.73 | 0.88 | 1.04 | 1.17 | 0.92 | 1.08 | 1.03 | 1.19 | 0.97 | 1.04 | 1.15 | 1.23 |
| 5.8 | 0.44 | 0.63 | 0.98 | 1.21 | 1.08 | 1.13 | 1.12 | 1.23 | 1.13 | 1.18 | 1.23 | 1.31 |
| Ref | % Bandwidth | Substrate | Size (mm3) | Gain (dBi) | Bending Analysis | SAR Analysis | Application |
|---|---|---|---|---|---|---|---|
| [16] | 20.40 (2.2–2.7 GHz), 21.15 (4.65–5.75 GHz) | nitrile butadiene rubber fabric (Multilayer Structure) | 40 × 50 × 4.6 | 1.5, 1.7 | No | Simulation study | Body-centric wireless communications |
| [17] | 10.52 (2.25–2.5 GHz), 21.26 (5.21–6.45 GHz) | Felt | 44.1 × 44.1 × 5 | −0.67, 7.4 | Yes | Simulation study | WBAN |
| [18] | 3.7 (2.35–2.44 GHz), 5.15 (5.67–5.97 GHz) | Rogers Duroid RO3003 (Semi Flexible) | 41 × 44 × 1.52 | 3.74, 5.13 | Yes | Simulation study | WBAN |
| [19] | 5.7% (2.4–2.54 GHz), 3.78% (5.72–5.94 GHz) | Rogers RT/Duroid 5880 (Semi Flexible) | 19 × 12 × 0.508 | 2.1, 3.5 | Yes | Simulation study | WBAN |
| [20] | 7.56 (890–960 MHz), 9.73 (171–188 MHz) | Rubber | 70 × 85 × 1.64 | 7.46, 8.13 | No | Simulation study | Telemonitoring |
| [21] | 2.86 (2.41–2.48 GHz), 3.10 (5.70–5.88 GHz) | cellulose laurate | 58 × 54 × 0.4 | 3, 5.3 | Yes | Simulation study | WBAN |
| [22] | 37.22 (2.23–3.25 GHz), 38.43 (4.54–6.70 GHz) | polyimide | 17 × 29 × 0.15 | 1.7, 8.1 | Yes | Simulation study | WBAN |
| Proposed | 58.06 (2.2–4 GHz), 61.43 (5.3–10 GHz) | Denim | 40 × 77 × 0.6 | 3, 4 | Yes | Simulation and measured | WBAN |
Disclaimer/Publisher’s Note: The statements, opinions and data contained in all publications are solely those of the individual author(s) and contributor(s) and not of MDPI and/or the editor(s). MDPI and/or the editor(s) disclaim responsibility for any injury to people or property resulting from any ideas, methods, instructions or products referred to in the content. |
© 2024 by the authors. Licensee MDPI, Basel, Switzerland. This article is an open access article distributed under the terms and conditions of the Creative Commons Attribution (CC BY) license (https://creativecommons.org/licenses/by/4.0/).
Share and Cite
Abdelghany, M.A.; Ahmed, M.I.; Ibrahim, A.A.; Desai, A.; Ahmed, M.F. Textile Antenna with Dual Bands and SAR Measurements for Wearable Communication. Electronics 2024, 13, 2251. https://doi.org/10.3390/electronics13122251
Abdelghany MA, Ahmed MI, Ibrahim AA, Desai A, Ahmed MF. Textile Antenna with Dual Bands and SAR Measurements for Wearable Communication. Electronics. 2024; 13(12):2251. https://doi.org/10.3390/electronics13122251
Chicago/Turabian StyleAbdelghany, Mahmoud A., Mohamed I. Ahmed, Ahmed A. Ibrahim, Arpan Desai, and Mai. F. Ahmed. 2024. "Textile Antenna with Dual Bands and SAR Measurements for Wearable Communication" Electronics 13, no. 12: 2251. https://doi.org/10.3390/electronics13122251
APA StyleAbdelghany, M. A., Ahmed, M. I., Ibrahim, A. A., Desai, A., & Ahmed, M. F. (2024). Textile Antenna with Dual Bands and SAR Measurements for Wearable Communication. Electronics, 13(12), 2251. https://doi.org/10.3390/electronics13122251
