To (US)Be or Not to (US)Be: Discovering Malicious USB Peripherals through Neural Network-Driven Power Analysis
Abstract
1. Introduction
- We provide a novel framework for identifying potentially malicious USB peripherals through the automated analysis of power consumption patterns.
- We experimentally prove that even power signals captured with an inexpensive setup comprising solely off-the-shelf components can lead to the construction of a highly robust detection engine.
- We prove that Autoencoders can effectively extract high-value features out of raw power traces much faster than conventional approaches. These can later be capitalized to train shallow or deep neural network (DNN) models.
- We demonstrate that contrary to popular belief [11], the discriminative CNN-LSTM model can be trained fast with only a handful of signals and still provide perfect scores (F1 score, precision, and recall).
2. Related Work
2.1. USB Attacks
2.2. USB Defenses
3. Technical Background
3.1. The USB Protocol
- Attached State The attached state corresponds to a device that is connected to the host/hub and does not give power to the VBUS.
- Powered State A device is in the powered state when it is attached to the bus, powered, and does not receive a reset signal from the host.
- Default State The default state corresponds to a device that is in the powered state and has been reset by the host.
- Addressed State An addressed device is in the default state and was assigned a unique address by the host.
- Configured State While a configured device is in the addressed state (was given a unique address) and was configured by the host.
- Suspended State Finally, a suspended device is in the configured state, but no activity has been observed on the bus for 3 ms.
3.2. Side Channel Analysis
3.3. Deep Learning
4. Proposed Framework
4.1. Assumptions and Threat Model
4.2. Proposed Framework
| Algorithm 1 Detection algorithm |
|
4.3. Model Architectures
4.4. Training Procedure
| Algorithm 2 Autoencoder training with weighted reconstruction and classification loss with linear attention. |
|
4.5. Limitations and Future Work
5. Experimental Setup
5.1. Testbed
5.2. Target USB Peripherals
5.3. Datasets Used for the Detection Tasks
5.4. Experimental Models
6. Experimental Evaluation
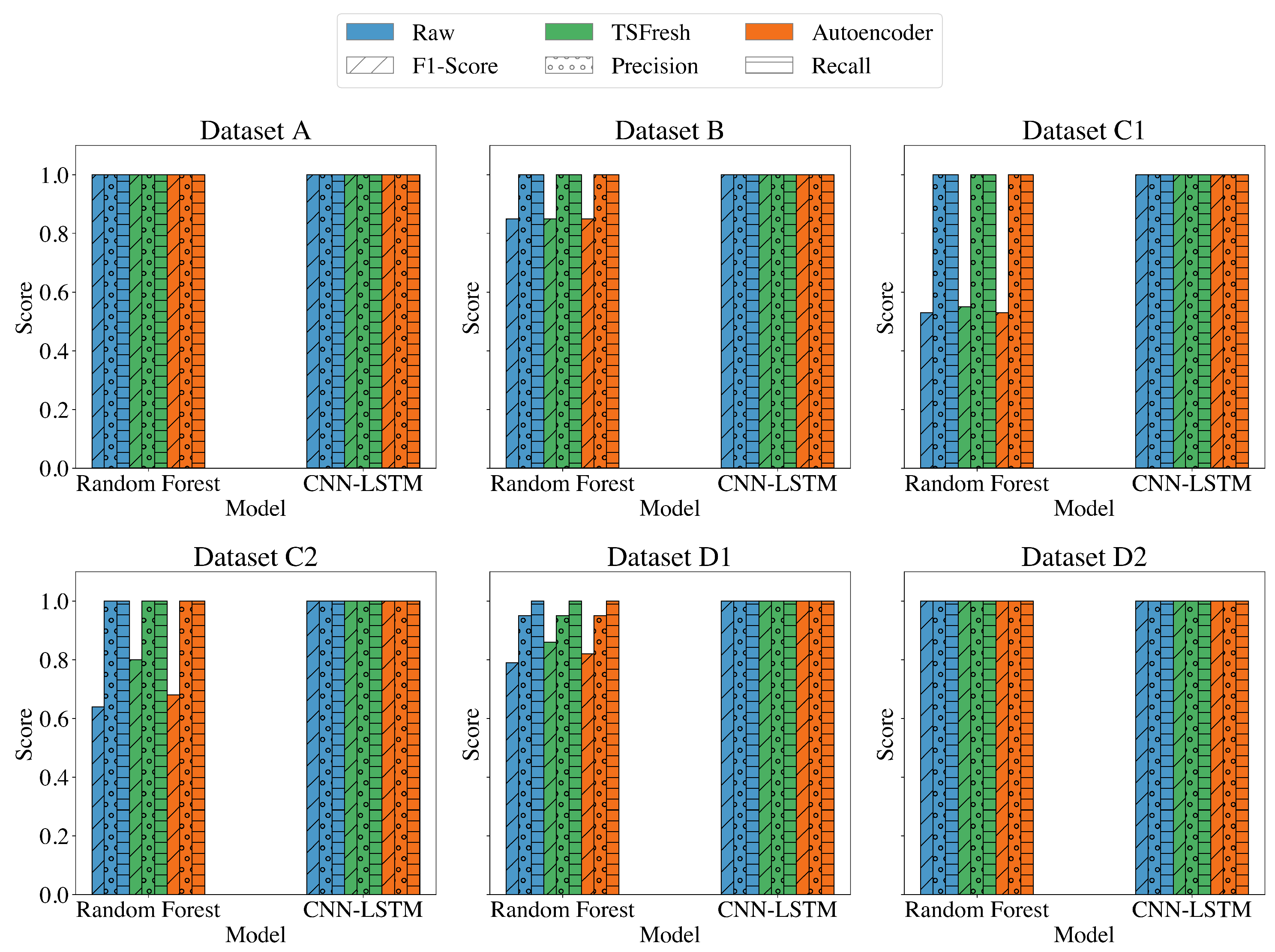
6.1. Experiment 1: Evaluation of the Raw Power Consumption Signals
6.2. Experiment 2: Evaluation on the TsFresh Time Series Features
6.3. Experiment 3: Evaluation of the Autoencoder Features
6.4. Discussion
7. Conclusions
Author Contributions
Funding
Data Availability Statement
Conflicts of Interest
Abbreviations
| USB | Universal Serial Bus |
| CNN | Convolutional Neural Network |
| LSTM | Long Short-Term Memory |
| DNN | Deep Neural Network |
| ML | Machine Learning |
| KNN | K-Nearest Neighbors |
| SVC | Support Vector Classifier |
| SVM | Support Vector Machine |
| ROC | Receiver Operating Characteristic |
| AUC | Area Under the Curve |
| VBUS | Voltage Bus |
| GND | Ground |
| D+ | Data Plus |
| D− | Data Minus |
| CRC | Cyclic Redundancy Check |
| SOF | Start of Frame |
| SOP | Start of Packet |
| EOP | End of Packet |
| PID | Packet Identifier |
| ADDR | Address |
| SYNC | Synchronization |
| ENDP | End Point |
| ACK | Acknowledgment |
| OHCI | Open Host Controller Interface |
| UHCI | Universal Host Controller Interface |
| EHCI | Enhanced Host Controller Interface |
| XHCI | eXtensible Host Controller Interface |
| WHCI | Wireless Host Controller Interface |
| PCI | Peripheral Component Interconnect |
Appendix A. Random Forest and CNN-LSTM Confusion Matrices






References
- Global USB 3.0 Market to Reach $6.3 Billion by 2027—ResearchAndMarkets.Com. 2020. Available online: https://www.businesswire.com/news/home/20201208005699/en/Global-USB-3.0-Market-to-Reach-6.3-Billion-by-2027—ResearchAndMarkets.com (accessed on 28 March 2024).
- Cybersecurity USB Threat Report 2021. Available online: https://www.honeywellforge.ai/us/en/campaigns/cybersecurity-threat-report-2021 (accessed on 28 March 2024).
- Karnouskos, S. Stuxnet worm impact on industrial cyber-physical system security. In Proceedings of the IECON 2011—37th Annual Conference of the IEEE Industrial Electronics Society, Melbourne, Australia, 7–10 November 2011; pp. 4490–4494. [Google Scholar]
- Tischer, M.; Durumeric, Z.; Foster, S.; Duan, S.; Mori, A.; Bursztein, E.; Bailey, M. Users Really Do Plug in USB Drives They Find. In Proceedings of the 2016 IEEE Symposium on Security and Privacy (SP), San Jose, CA, USA, 22–26 May 2016; pp. 306–319, ISSN 2375-1207. [Google Scholar] [CrossRef]
- Javed Butt, U.; Abbod, M.; Lors, A.; Jahankhani, H.; Jamal, A.; Kumar, A. Ransomware Threat and its Impact on SCADA. In Proceedings of the 2019 IEEE 12th International Conference on Global Security, Safety and Sustainability (ICGS3), London, UK, 16–18 January 2019; pp. 205–212. [Google Scholar] [CrossRef]
- Faife, C. The O.MG Elite Cable Is a Scarily Stealthy Hacker Tool. 2022. Available online: https://www.theverge.com/23321517/omg-elite-cable-hacker-tool-review-defcon (accessed on 2 April 2024).
- Lu, H.; Wu, Y.; Li, S.; Lin, Y.; Zhang, C.; Zhang, F. BADUSB-C: Revisiting BadUSB with Type-C. In Proceedings of the 2021 IEEE Security and Privacy Workshops (SPW), San Francisco, CA, USA, 27 May 2021; pp. 327–338. [Google Scholar] [CrossRef]
- Guri, M.; Monitz, M.; Elovici, Y. USBee: Air-gap covert-channel via electromagnetic emission from USB. In Proceedings of the 2016 14th Annual Conference on Privacy, Security and Trust (PST), Auckland, New Zealand, 12–14 December 2016; pp. 264–268. [Google Scholar] [CrossRef]
- Randolph, M.; Diehl, W. Power Side-Channel Attack Analysis: A Review of 20 Years of Study for the Layman. Cryptography 2020, 4, 15. [Google Scholar] [CrossRef]
- Yang, Q.; Gasti, P.; Zhou, G.; Farajidavar, A.; Balagani, K.S. On Inferring Browsing Activity on Smartphones via USB Power Analysis Side-Channel. IEEE Trans. Inf. Forensics Secur. 2017, 12, 1056–1066. [Google Scholar] [CrossRef]
- Spolaor, R.; Liu, H.; Turrin, F.; Conti, M.; Cheng, X. Plug and Power: Fingerprinting USB Powered Peripherals via Power Side-channel. In Proceedings of the IEEE INFOCOM 2023—IEEE Conference on Computer Communications, New York, NY, USA, 17–20 May 2023; pp. 1–10, ISSN 2641-9874. [Google Scholar] [CrossRef]
- Nissim, N.; Yahalom, R.; Elovici, Y. USB-based attacks. Comput. Secur. 2017, 70, 675–688. [Google Scholar] [CrossRef]
- Mills, M. How a Rubber Ducky Works and Why It Is So Dangerous | ITIGIC. 2021. Available online: https://itigic.com/how-a-rubber-ducky-works-and-why-it-is-so-dangerous/ (accessed on 28 March 2024).
- EvilDuino | PPT. Available online: https://www.slideshare.net/Rashidferoz1/evilduino (accessed on 28 March 2024).
- Samy Kamkar—USBdriveby: Exploiting USB in Style. Available online: https://samy.pl/usbdriveby/ (accessed on 28 March 2024).
- Karystinos, E.; Andreatos, A.; Douligeris, C. Spyduino: Arduino as a HID Exploiting the BadUSB Vulnerability. In Proceedings of the 2019 15th International Conference on Distributed Computing in Sensor Systems (DCOSS), Santorini Island, Greece, 29–31 May 2019; pp. 279–283. [Google Scholar] [CrossRef]
- Lamont, J. This Normal-Looking Cable Actually Helps Steal Data off Your Phone. 2021. Available online: https://mobilesyrup.com/2021/09/03/normal-looking-cable-steal-data-phone-omg-cable/ (accessed on 1 May 2024).
- Introducing the ’O.MG Cable’ That Sends Everything You Type in with the Keyboard to the Outside via Wi-Fi Even Though It Looks like a Normal USB Cable. 2021. Available online: http://gigazine.net/gsc_news/en/20210903-o-mg-cable-leak-key-type/ (accessed on 1 May 2024).
- Caudill, A. Making BadUSB Work for You—DerbyCon. 2014. Available online: https://adamcaudill.com/2014/10/02/making-badusb-work-for-you-derbycon/ (accessed on 30 April 2024).
- Maskiewicz, J.; Ellis, B.; Mouradian, J.; Shacham, H. Mouse trap: Exploiting firmware updates in USB peripherals. In Proceedings of the 8th USENIX Conference on Offensive Technologies, San Diego, CA, USA, 19 August 2014; p. 12. [Google Scholar]
- Kali NetHunter | Kali Linux Documentation. Available online: https://www.kali.org/docs/nethunter/ (accessed on 28 March 2024).
- USB Kill Devices for Pentesting & Law-Enforcement. Available online: https://usbkill.com/ (accessed on 28 March 2024).
- Cyber Security Kiosk—MetaDefender Kiosk. Available online: https://www.opswat.com/products/metadefender/kiosk (accessed on 28 March 2024).
- Frank. Cybersecurity & Kiosks: Olea’s Protective Approach. 2019. Available online: https://www.olea.com/news/kiosks-help-ward-off-cybersecurity-threats/ (accessed on 28 March 2024).
- IoT in the Age of Everything Connected. Available online: https://symantec-enterprise-blogs.security.com/blogs/product-insights/iot-age-everything-connected (accessed on 28 March 2024).
- Yang, B.; Qin, Y.; Zhang, Y.; Wang, W.; Feng, D. TMSUI: A Trust Management Scheme of USB Storage Devices for Industrial Control Systems. In Information and Communications Security; Qing, S., Okamoto, E., Kim, K., Liu, D., Eds.; Springer: Cham, Switzerland, 2016; pp. 152–168. [Google Scholar] [CrossRef]
- Lee, C.C.; Chen, C.T.; Wu, P.H.; Chen, T.Y. Three-factor control protocol based on elliptic curve cryptosystem for universal serial bus mass storage devices. IET Comput. Digit. Tech. 2013, 7, 48–55. [Google Scholar] [CrossRef]
- Loe, E.L.; Hsiao, H.C.; Kim, T.H.J.; Lee, S.C.; Cheng, S.M. SandUSB: An installation-free sandbox for USB peripherals. In Proceedings of the 2016 IEEE 3rd World Forum on Internet of Things (WF-IoT), Reston, VA, USA, 12–14 December 2016; pp. 621–626. [Google Scholar] [CrossRef]
- Home | USBGuard. Available online: https://usbguard.github.io/ (accessed on 28 March 2024).
- Denney, K.; Babun, L.; Uluagac, A.S. USB-Watch: A Generalized Hardware-Assisted Insider Threat Detection Framework. J. Hardw. Syst. Secur. 2020, 4, 136–149. [Google Scholar] [CrossRef]
- Tian, D.J.; Bates, A.; Butler, K. Defending Against Malicious USB Firmware with GoodUSB. In Proceedings of the 31st Annual Computer Security Applications Conference, New York, NY, USA, 7–11 December 2015; pp. 261–270. [Google Scholar] [CrossRef]
- Tian, D.J.; Scaife, N.; Bates, A.; Butler, K.; Traynor, P. Making {USB} Great Again with {USBFILTER}. In Proceedings of the 25th USENIX Security Symposium (USENIX Security 16), Austin, TX, USA, 10–12 August 2016; pp. 415–430. [Google Scholar]
- Ebad, S.A. Lessons Learned from Offline Assessment of Security-Critical Systems: The Case of Microsoft’s Active Directory. Int. J. Syst. Assur. Eng. Manag. 2022, 13, 535–545. [Google Scholar] [CrossRef]
- Murphy, R.; Family, A.P. USB 101: An introduction to universal serial bus 2.0. 2014, 1, 25–34. Available online: http://kofa.mmto.arizona.edu/stm32/blue_pill/usb/an57294.pdf (accessed on 14 May 2024).
- USB 2.0 Specification | USB-IF. Available online: https://www.usb.org/document-library/usb-20-specification (accessed on 13 March 2024).
- USB 3.2 Revision 1.1—June 2022 | USB-IF. Available online: https://www.usb.org/document-library/usb-32-revision-11-june-2022 (accessed on 16 March 2024).
- Tian, J.; Scaife, N.; Kumar, D.; Bailey, M.; Bates, A.; Butler, K. SoK: “Plug & Pray” Today – Understanding USB Insecurity in Versions 1 Through C. In Proceedings of the 2018 IEEE Symposium on Security and Privacy (SP), San Francisco, CA, USA, 21–23 May 2018; pp. 1032–1047, ISSN 2375-1207. [Google Scholar] [CrossRef]
- Verma, A.; Dahiya, P.K. Pcie bus: A state-of-the-art-review. IOSR J. VLSI Signal Process. (IOSR-JVSP) 2017, 7, 24–28. [Google Scholar] [CrossRef]
- Ibrahim, O.A.; Sciancalepore, S.; Oligeri, G.; Pietro, R.D. MAGNETO: Fingerprinting USB Flash Drives via Unintentional Magnetic Emissions. ACM Trans. Embed. Comput. Syst. 2020, 20, 8:1–8:26. [Google Scholar] [CrossRef]
- Sayakkara, A.; Le-Khac, N.A.; Scanlon, M. Leveraging Electromagnetic Side-Channel Analysis for the Investigation of IoT Devices. Digit. Investig. 2019, 29, S94–S103. [Google Scholar] [CrossRef]
- Zhang, J.; Chen, C.; Cui, J.; Li, K. Timing Side-Channel Attacks and Countermeasures in CPU Microarchitectures. ACM Comput. Surv. 2024; Just Accepted. 2024. [Google Scholar] [CrossRef]
- Taheritajar, A.; Harris, Z.M.; Rahaeimehr, R. A Survey on Acoustic Side Channel Attacks on Keyboards. arXiv 2023, arXiv:2309.11012 [cs]. [Google Scholar]
- Hutter, M.; Schmidt, J.M. The Temperature Side Channel and Heating Fault Attacks. In Smart Card Research and Advanced Applications; Francillon, A., Rohatgi, P., Eds.; Springer: Cham, Switzerland, 2014; pp. 219–235. [Google Scholar] [CrossRef]
- Karimi, E.; Jiang, Z.H.; Fei, Y.; Kaeli, D. A Timing Side-Channel Attack on a Mobile GPU. In Proceedings of the 2018 IEEE 36th International Conference on Computer Design (ICCD), Orlando, FL, USA, 7–10 October 2018; pp. 67–74, ISSN 2576-6996. [Google Scholar] [CrossRef]
- Wang, C.; Yan, M.; Cai, Y.; Zhou, Q.; Yang, J. Power Profile Equalizer: A Lightweight Countermeasure against Side-Channel Attack. In Proceedings of the 2017 IEEE International Conference on Computer Design (ICCD), Boston, MA, USA, 5–8 November 2017; pp. 305–312, ISSN 1063-6404. [Google Scholar] [CrossRef]
- Song, R.; Song, Y.; Gao, S.; Xiao, B.; Hu, A. I Know What You Type: Leaking User Privacy via Novel Frequency-Based Side-Channel Attacks. In Proceedings of the 2018 IEEE Global Communications Conference (GLOBECOM), Abu Dhabi, United Arab Emirates, 9–13 December 2018; pp. 1–6, ISSN 2576-6813. [Google Scholar] [CrossRef]
- Fei, Y.; Ding, A.A.; Lao, J.; Zhang, L. A Statistics-based Fundamental Model for Side-channel Attack Analysis, 2014. Cryptology ePrint Archive Paper 2014/152. 1 March 2014. Available online: https://eprint.iacr.org/2014/152 (accessed on 14 May 2024).
- Picek, S.; Heuser, A.; Jovic, A.; Ludwig, S.A.; Guilley, S.; Jakobovic, D.; Mentens, N. Side-channel analysis and machine learning: A practical perspective. In Proceedings of the 2017 International Joint Conference on Neural Networks (IJCNN), Anchorage, AK, USA, 14–19 May 2017; pp. 4095–4102, ISSN 2161-4407. [Google Scholar] [CrossRef]
- Alom, M.Z.; Taha, T.M.; Yakopcic, C.; Westberg, S.; Sidike, P.; Nasrin, M.S.; Hasan, M.; Van Essen, B.C.; Awwal, A.A.S.; Asari, V.K. A State-of-the-Art Survey on Deep Learning Theory and Architectures. Electronics 2019, 8, 292. [Google Scholar] [CrossRef]
- Bank, D.; Koenigstein, N.; Giryes, R. Autoencoders. In Machine Learning for Data Science Handbook: Data Mining and Knowledge Discovery Handbook; Rokach, L., Maimon, O., Shmueli, E., Eds.; Springer International Publishing: Cham, Switzerland, 2023; pp. 353–374. [Google Scholar] [CrossRef]
- Wang, W.; Huang, Y.; Wang, Y.; Wang, L. Generalized Autoencoder: A Neural Network Framework for Dimensionality Reduction. In Proceedings of the IEEE Conference on Computer Vision and Pattern Recognition Workshops, Columbus, OH, USA, 23–28 June 2014; pp. 490–497. [Google Scholar]
- Li, Z.; Liu, F.; Yang, W.; Peng, S.; Zhou, J. A Survey of Convolutional Neural Networks: Analysis, Applications, and Prospects. IEEE Trans. Neural Netw. Learn. Syst. 2022, 33, 6999–7019. [Google Scholar] [CrossRef] [PubMed]
- Goodfellow, I.; Bengio, Y.; Courville, A. Deep Learning; MIT Press: Cambridge, MA, USA, 2016. [Google Scholar]
- Essien, A.; Giannetti, C. A Deep Learning Model for Smart Manufacturing Using Convolutional LSTM Neural Network Autoencoders. IEEE Trans. Ind. Inform. 2020, 16, 6069–6078. [Google Scholar] [CrossRef]
- Bahdanau, D.; Cho, K.; Bengio, Y. Neural Machine Translation by Jointly Learning to Align and Translate. arXiv 2016. [Google Scholar] [CrossRef]
- Pouyanfar, S.; Sadiq, S.; Yan, Y.; Tian, H.; Tao, Y.; Reyes, M.P.; Shyu, M.L.; Chen, S.C.; Iyengar, S.S. A Survey on Deep Learning: Algorithms, Techniques, and Applications. ACM Comput. Surv. 2019, 51, 1–36. [Google Scholar] [CrossRef]
- Li, J.; Wang, J.; Tian, Q.; Gao, W.; Zhang, S. Global-Local Temporal Representations for Video Person Re-Identification. In Proceedings of the IEEE/CVF International Conference on Computer Vision (ICCV), Seoul, Republic of Korea, 27 October–2 November 2019. [Google Scholar]
- He, K.; Zhang, X.; Ren, S.; Sun, J. Delving deep into rectifiers: Surpassing human-level performance on imagenet classification. In Proceedings of the IEEE International Conference on Computer Vision, Santiago, Chile, 7–13 December 2015; pp. 1026–1034. [Google Scholar]
- Dong, S.; Wang, P.; Abbas, K. A survey on deep learning and its applications. Comput. Sci. Rev. 2021, 40, 100379. [Google Scholar] [CrossRef]
- PC Oscilloscope, Data Logger & RF Products | Pico Technology. 2024. Available online: https://www.picotech.com/ (accessed on 28 March 2024).
- Wardhani, N.W.S.; Rochayani, M.Y.; Iriany, A.; Sulistyono, A.D.; Lestantyo, P. Cross-Validation Metrics for Evaluating Classification Performance on Imbalanced Data. In Proceedings of the 2019 International Conference on Computer, Control, Informatics and Its Applications (IC3INA), Tangerang, Indonesia, 23–24 October 2019; pp. 14–18. [Google Scholar] [CrossRef]
- Ding, J.; Tarokh, V.; Yang, Y. Model Selection Techniques: An Overview. IEEE Signal Process. Mag. 2018, 35, 16–34. [Google Scholar] [CrossRef]













| Defense Mechanism | Tool/Paper | Target USB Attacks | Intrusive to Host | Limitations | Gaps Addressed by the Our Approach |
|---|---|---|---|---|---|
| Antimalware Methods | Antivirus software | Malware in USB storage | Yes | - Limited to known malware signatures - Fails to detect reprogrammed or repurposed USB devices | - Authenticates devices at the hardware level - Detects anomalies in USB device behavior |
| USB scanning kiosks (OPSWAT, OLEA, Symantec ICSP Neural) | Malware in USB storage | No | - Centralized solution, not host-specific - Fails to detect reprogrammed or repurposed USB devices | - Detects anomalies in USB device behavior | |
| Cryptographic Methods | TMSUI [26] | Most USB attacks | Yes (requires security chip) | - Designed specifically for ICS environments - Requires external solutions to identify benign USB devices | - Applicable to various environments - Offers an integrated solution for device authentication |
| Three-factor control strategy [27] | Unauthorized access | Yes (requires smart card) | - Relies on biometric, password and smart card to authenticate the device authentication | - Requires only the power consumption trace for device authentication | |
| Sandboxing Techniques | SandUSB [28] | Most USB attacks | No | - Relies on user to verify USB device authenticity - Does not protect against altered/repurposed USB hardware | - Provides automated device authentication - Detects anomalies in USB device behavior |
| USBGuard [29] | Unauthorized USB devices | Yes | - Requires manual intervention to block unauthorized devices - Does not detect altered/repurposed USB hardware | - Provides automated device authentication - Detects anomalies in USB device behavior | |
| Packet Scanning Tools | USB-Watch [30] | Rogue USB devices | No | - Relies on Decision Tree anomaly detection classifier - Can fail to prevent intrusions due to system complexities | - Uses deep learning for anomaly detection - Detects anomalies in USB device behavior |
| USB Filter [32] | Unauthorized USB devices | Yes | - Requires complex setup and rules on the host - Does not detect altered/repurposed USB hardware | - Provides automated device authentication - Detects anomalies in USB device behavior | |
| GoodUSB [31] | Unauthorized USB devices | Yes | - Requires setting up a policy block unauthorized devices - Does not detect altered/repurposed USB hardware | - Provides automated device authentication - Detects anomalies in USB device behavior |
| Category | Devices | Brands |
|---|---|---|
| Flash Drive | 11 | 4 |
| Keyboard | 6 | 3 |
| Mouse | 7 | 4 |
| Cable | 4 | 4 |
| Microcontroller | 1 | 1 |
| Total | 29 | 16 |
| Dataset | Task | Classes | Signals | Signals/Class |
|---|---|---|---|---|
| Dataset A | USB Device Category Identification (Flash drive, Mouse, Keyboard, Cable) | Cable, Flash Drive, Keyboard, Mouse | 400 | 100 |
| Dataset B | USB Device Brand Identification (Mouse) | Dell, Lenovo, Logitech 1, Perixx | 400 | 100 |
| Dataset C1 | USB Individual Device Identification (Mouse) | Logitech 1, Logitech 2, Logitech 3, Logitech 4 | 400 | 100 |
| Dataset C2 | USB Individual Device Identification (Keyboard) | Dell 1, Dell 2, Dell 3, Dell 4 | 400 | 100 |
| Dataset D1 | BadUSB Anomaly Detection (Keyboard) | Normal, Anomaly | 400 | 300 (normal), 100 (anomaly) |
| Dataset D2 | BadUSB Anomaly Detection (Cable) | Normal, Anomaly | 400 | 300 (normal), 100 (anomaly) |
| Total | 2400 |
| Model | Precision | Recall | F1 Score | Accuracy | ROC AUC | Training Time (s) | Inference Time (ms) |
|---|---|---|---|---|---|---|---|
| Dataset A | |||||||
| Decision Tree | 0.88 | 0.88 | 0.88 | 0.88 | 0.92 | 0.121 | 0.21 |
| Gradient Boosting | 0.98 | 0.97 | 0.97 | 0.97 | 1.00 | 35.590 | 1.35 |
| KNN | 0.59 | 0.55 | 0.46 | 0.55 | 0.78 | 0.003 | 182.03 |
| Random Forest | 1.00 | 1.00 | 1.00 | 1.00 | 1.00 | 0.282 | 33.16 |
| SVC | 0.93 | 0.90 | 0.90 | 0.90 | 0.83 | 2.271 | 4.77 |
| Parallel CNN-LSTM | 1.00 | 1.00 | 1.00 | 1.00 | 1.00 | 27.989 | 31.08 |
| Dataset B | |||||||
| Decision Tree | 0.82 | 0.82 | 0.82 | 0.82 | 0.88 | 0.225 | 0.17 |
| Gradient Boosting | 0.80 | 0.80 | 0.80 | 0.80 | 0.94 | 83.639 | 1.39 |
| KNN | 0.83 | 0.75 | 0.73 | 0.75 | 0.97 | 0.003 | 69.06 |
| Random Forest | 0.85 | 0.85 | 0.85 | 0.85 | 0.97 | 0.305 | 27.86 |
| SVC | 0.93 | 0.90 | 0.90 | 0.90 | 0.85 | 2.416 | 6.01 |
| Parallel CNN-LSTM | 1.00 | 1.00 | 1.00 | 1.00 | 1.00 | 46.093 | 30.11 |
| Dataset C1 | |||||||
| Decision Tree | 0.39 | 0.40 | 0.38 | 0.40 | 0.60 | 0.352 | 0.18 |
| Gradient Boosting | 0.52 | 0.53 | 0.52 | 0.53 | 0.74 | 53.956 | 1.39 |
| KNN | 0.33 | 0.45 | 0.38 | 0.45 | 0.78 | 0.003 | 226.60 |
| Random Forest | 0.55 | 0.53 | 0.53 | 0.53 | 0.78 | 0.275 | 30.91 |
| SVC | 0.69 | 0.62 | 0.64 | 0.62 | 0.62 | 5.004 | 7.13 |
| Series CNN-LSTM | 1.00 | 1.00 | 1.00 | 1.00 | 1.00 | 58.704 | 19.60 |
| Dataset C2 | |||||||
| Decision Tree | 0.53 | 0.60 | 0.50 | 0.60 | 0.73 | 0.146 | 0.22 |
| Gradient Boosting | 0.52 | 0.57 | 0.47 | 0.57 | 0.98 | 51.034 | 1.38 |
| KNN | 0.51 | 0.53 | 0.38 | 0.53 | 0.68 | 0.003 | 233.60 |
| Random Forest | 0.80 | 0.68 | 0.64 | 0.68 | 1.00 | 0.305 | 31.52 |
| SVC | 0.98 | 0.97 | 0.97 | 0.97 | 1.00 | 2.301 | 6.03 |
| Parallel CNN-LSTM | 1.00 | 1.00 | 1.00 | 1.00 | 1.00 | 63.579 | 31.15 |
| Dataset D1 | |||||||
| Decision Tree | 0.65 | 0.72 | 0.67 | 0.72 | 0.52 | 0.438 | 0.18 |
| Gradient Boosting | 0.65 | 0.72 | 0.67 | 0.72 | 0.46 | 19.133 | 0.47 |
| KNN | 0.86 | 0.82 | 0.79 | 0.82 | 0.64 | 0.003 | 54.88 |
| Random Forest | 0.86 | 0.82 | 0.79 | 0.82 | 0.57 | 0.297 | 30.42 |
| SVC | 0.56 | 0.75 | 0.64 | 0.75 | 0.71 | 3.706 | 6.08 |
| Parallel CNN-LSTM | 1.00 | 1.00 | 1.00 | 1.00 | 1.00 | 12.22 | 24.00 |
| Dataset D2 | |||||||
| Decision Tree | 1.00 | 1.00 | 1.00 | 1.00 | 1.00 | 0.118 | 0.18 |
| Gradient Boosting | 1.00 | 1.00 | 1.00 | 1.00 | 1.00 | 11.482 | 0.45 |
| KNN | 1.00 | 1.00 | 1.00 | 1.00 | 1.00 | 0.003 | 85.00 |
| Random Forest | 1.00 | 1.00 | 1.00 | 1.00 | 1.00 | 0.248 | 31.24 |
| SVC | 1.00 | 1.00 | 1.00 | 1.00 | 1.00 | 0.506 | 1.05 |
| Parallel CNN-LSTM | 1.00 | 1.00 | 1.00 | 1.00 | 1.00 | 48.321 | 36.10 |
| Model | Precision | Recall | F1 Score | Accuracy | ROC AUC | Training Time (s) | Inference Time (ms) |
|---|---|---|---|---|---|---|---|
| Dataset A | Extraction Time: 365.90 s. | |||||||
| Decision Tree | 1.00 | 1.00 | 1.00 | 1.00 | 1.00 | 0.055 | 0.21 |
| Gradient Boosting | 1.00 | 1.00 | 1.00 | 1.00 | 1.00 | 11.797 | 1.32 |
| KNN | 0.98 | 0.97 | 0.97 | 0.97 | 1.00 | 0.002 | 2.09 |
| Random Forest | 1.00 | 1.00 | 1.00 | 1.00 | 1.00 | 0.258 | 32.81 |
| SVC | 0.94 | 0.93 | 0.92 | 0.93 | 0.86 | 0.129 | 0.38 |
| Parallel CNN-LSTM | 1.00 | 1.00 | 1.00 | 1.00 | 1.00 | 69.907 | 6.49 |
| Dataset B | Extraction Time: 359.70 s. | |||||||
| Decision Tree | 0.98 | 0.97 | 0.97 | 0.97 | 0.98 | 0.056 | 0.17 |
| Gradient Boosting | 1.00 | 1.00 | 1.00 | 1.00 | 1.00 | 14.563 | 1.32 |
| KNN | 1.00 | 1.00 | 1.00 | 1.00 | 1.00 | 0.002 | 2.05 |
| Random Forest | 1.00 | 1.00 | 1.00 | 1.00 | 1.00 | 0.307 | 28.84 |
| SVC | 0.93 | 0.90 | 0.90 | 0.90 | 0.92 | 0.131 | 0.44 |
| Parallel CNN-LSTM | 1.00 | 1.00 | 1.00 | 1.00 | 1.00 | 180.055 | 12.92 |
| Dataset C1 | Extraction Time: 359.82 s. | |||||||
| Decision Tree | 0.83 | 0.82 | 0.83 | 0.82 | 0.88 | 0.072 | 0.17 |
| Gradient Boosting | 0.93 | 0.93 | 0.92 | 0.93 | 1.00 | 32.410 | 1.33 |
| KNN | 0.86 | 0.85 | 0.85 | 0.85 | 0.96 | 0.002 | 2.08 |
| Random Forest | 1.00 | 1.00 | 1.00 | 1.00 | 1.00 | 0.272 | 30.49 |
| SVC | 0.82 | 0.70 | 0.65 | 0.70 | 0.19 | 0.347 | 0.56 |
| Parallel CNN-LSTM | 1.00 | 1.00 | 1.00 | 1.00 | 1.00 | 28.326 | 12.20 |
| Dataset C2 | Extraction Time: 360.22 s. | |||||||
| Decision Tree | 0.98 | 0.97 | 0.97 | 0.97 | 0.98 | 0.056 | 0.17 |
| Gradient Boosting | 1.00 | 1.00 | 1.00 | 1.00 | 1.00 | 11.889 | 1.33 |
| KNN | 0.92 | 0.90 | 0.90 | 0.90 | 0.97 | 0.002 | 2.25 |
| Random Forest | 1.00 | 1.00 | 1.00 | 1.00 | 1.00 | 0.286 | 31.08 |
| SVC | 0.79 | 0.75 | 0.75 | 0.75 | 0.15 | 0.345 | 0.56 |
| Parallel CNN-LSTM | 1.00 | 1.00 | 1.00 | 1.00 | 1.00 | 33.164 | 14.20 |
| Dataset D1 | Extraction Time: 358.14 s. | |||||||
| Decision Tree | 0.93 | 0.93 | 0.93 | 0.93 | 0.92 | 0.051 | 0.18 |
| Gradient Boosting | 0.98 | 0.97 | 0.97 | 0.97 | 1.00 | 5.703 | 0.45 |
| KNN | 0.84 | 0.80 | 0.75 | 0.80 | 0.64 | 0.003 | 2.61 |
| Random Forest | 0.95 | 0.95 | 0.95 | 0.95 | 1.00 | 0.287 | 32.68 |
| SVC | 0.56 | 0.75 | 0.64 | 0.75 | 0.71 | 0.155 | 0.43 |
| Parallel CNN-LSTM | 1.00 | 1.00 | 1.00 | 1.00 | 1.00 | 58.533 | 7.70 |
| Dataset D2 | Extraction Time: 381.79 s. | |||||||
| Decision Tree | 1.00 | 1.00 | 1.00 | 1.00 | 1.00 | 0.030 | 0.17 |
| Gradient Boosting | 1.00 | 1.00 | 1.00 | 1.00 | 1.00 | 3.007 | 0.47 |
| KNN | 0.98 | 0.97 | 0.98 | 0.97 | 1.00 | 0.003 | 2.90 |
| Random Forest | 1.00 | 1.00 | 1.00 | 1.00 | 1.00 | 0.245 | 28.80 |
| SVC | 0.56 | 0.75 | 0.64 | 0.75 | 0.99 | 0.177 | 0.42 |
| Parallel CNN-LSTM | 1.00 | 1.00 | 1.00 | 1.00 | 1.00 | 42.268 | 10.60 |
| Model | Precision | Recall | F1 Score | Accuracy | ROC AUC | Training Time (s) | Inference Time (ms) |
|---|---|---|---|---|---|---|---|
| Dataset A | Extraction Time: 1.35 s. | |||||||
| Decision Tree | 1.00 | 1.00 | 1.00 | 1.00 | 1.00 | 0.011 | 0.16 |
| Gradient Boosting | 1.00 | 1.00 | 1.00 | 1.00 | 1.00 | 2.412 | 1.32 |
| KNN | 1.00 | 1.00 | 1.00 | 1.00 | 1.00 | 0.001 | 1.83 |
| Random Forest | 1.00 | 1.00 | 1.00 | 1.00 | 1.00 | 0.260 | 33.12 |
| SVC | 1.00 | 1.00 | 1.00 | 1.00 | 1.00 | 0.011 | 0.24 |
| Parallel CNN-LSTM | 1.00 | 1.00 | 1.00 | 1.00 | 1.00 | 28.154 | 13.30 |
| Dataset B | Extraction Time: 1.33 s. | |||||||
| Decision Tree | 0.95 | 0.95 | 0.95 | 0.95 | 0.97 | 0.013 | 0.17 |
| Gradient Boosting | 1.00 | 1.00 | 1.00 | 1.00 | 1.00 | 3.472 | 1.28 |
| KNN | 1.00 | 1.00 | 1.00 | 1.00 | 1.00 | 0.001 | 1.20 |
| Random Forest | 1.00 | 1.00 | 1.00 | 1.00 | 1.00 | 0.307 | 31.18 |
| SVC | 1.00 | 1.00 | 1.00 | 1.00 | 1.00 | 0.018 | 0.25 |
| Parallel CNN-LSTM | 1.00 | 1.00 | 1.00 | 1.00 | 1.00 | 29.867 | 15.90 |
| Dataset C1 | Extraction Time: 1.41 s. | |||||||
| Decision Tree | 1.00 | 1.00 | 1.00 | 1.00 | 1.00 | 0.011 | 0.16 |
| Gradient Boosting | 1.00 | 1.00 | 1.00 | 1.00 | 1.00 | 5.615 | 1.29 |
| KNN | 1.00 | 1.00 | 1.00 | 1.00 | 1.00 | 0.001 | 1.20 |
| Random Forest | 1.00 | 1.00 | 1.00 | 1.00 | 1.00 | 0.257 | 31.81 |
| SVC | 1.00 | 1.00 | 1.00 | 1.00 | 1.00 | 0.015 | 0.24 |
| Parallel CNN-LSTM | 1.00 | 1.00 | 1.00 | 1.00 | 1.00 | 32.926 | 14.90 |
| Dataset C2 | Extraction Time: 1.44 s. | |||||||
| Decision Tree | 1.00 | 1.00 | 1.00 | 1.00 | 1.00 | 0.011 | 0.16 |
| Gradient Boosting | 1.00 | 1.00 | 1.00 | 1.00 | 1.00 | 2.413 | 1.32 |
| KNN | 1.00 | 1.00 | 1.00 | 1.00 | 1.00 | 0.001 | 1.20 |
| Random Forest | 1.00 | 1.00 | 1.00 | 1.00 | 1.00 | 0.245 | 29.62 |
| SVC | 1.00 | 1.00 | 1.00 | 1.00 | 1.00 | 0.014 | 0.22 |
| Parallel CNN-LSTM | 1.00 | 1.00 | 1.00 | 1.00 | 1.00 | 42.025 | 15.50 |
| Dataset D1 | Extraction Time: 1.33 s. | |||||||
| Decision Tree | 0.95 | 0.95 | 0.95 | 0.95 | 0.90 | 0.007 | 0.17 |
| Gradient Boosting | 1.00 | 1.00 | 1.00 | 1.00 | 1.00 | 0.644 | 0.45 |
| KNN | 1.00 | 1.00 | 1.00 | 1.00 | 1.00 | 0.001 | 1.86 |
| Random Forest | 1.00 | 1.00 | 1.00 | 1.00 | 1.00 | 0.276 | 30.89 |
| SVC | 0.98 | 0.97 | 0.97 | 0.97 | 1.00 | 0.010 | 0.23 |
| Parallel CNN-LSTM | 1.00 | 1.00 | 1.00 | 1.00 | 1.00 | 9.465 | 9.60 |
| Dataset D2 | Extraction Time: 1.33 s. | |||||||
| Decision Tree | 1.00 | 1.00 | 1.00 | 1.00 | 1.00 | 0.007 | 0.23 |
| Gradient Boosting | 1.00 | 1.00 | 1.00 | 1.00 | 1.00 | 0.631 | 0.45 |
| KNN | 1.00 | 1.00 | 1.00 | 1.00 | 1.00 | 0.001 | 1.32 |
| Random Forest | 1.00 | 1.00 | 1.00 | 1.00 | 1.00 | 0.279 | 28.80 |
| SVC | 1.00 | 1.00 | 1.00 | 1.00 | 1.00 | ||
| Parallel CNN-LSTM | 1.00 | 1.00 | 1.00 | 1.00 | 1.00 | 13.621 | 8.50 |
Disclaimer/Publisher’s Note: The statements, opinions and data contained in all publications are solely those of the individual author(s) and contributor(s) and not of MDPI and/or the editor(s). MDPI and/or the editor(s) disclaim responsibility for any injury to people or property resulting from any ideas, methods, instructions or products referred to in the content. |
© 2024 by the authors. Licensee MDPI, Basel, Switzerland. This article is an open access article distributed under the terms and conditions of the Creative Commons Attribution (CC BY) license (https://creativecommons.org/licenses/by/4.0/).
Share and Cite
Koffi, K.A.; Smiliotopoulos, C.; Kolias, C.; Kambourakis, G. To (US)Be or Not to (US)Be: Discovering Malicious USB Peripherals through Neural Network-Driven Power Analysis. Electronics 2024, 13, 2117. https://doi.org/10.3390/electronics13112117
Koffi KA, Smiliotopoulos C, Kolias C, Kambourakis G. To (US)Be or Not to (US)Be: Discovering Malicious USB Peripherals through Neural Network-Driven Power Analysis. Electronics. 2024; 13(11):2117. https://doi.org/10.3390/electronics13112117
Chicago/Turabian StyleKoffi, Koffi Anderson, Christos Smiliotopoulos, Constantinos Kolias, and Georgios Kambourakis. 2024. "To (US)Be or Not to (US)Be: Discovering Malicious USB Peripherals through Neural Network-Driven Power Analysis" Electronics 13, no. 11: 2117. https://doi.org/10.3390/electronics13112117
APA StyleKoffi, K. A., Smiliotopoulos, C., Kolias, C., & Kambourakis, G. (2024). To (US)Be or Not to (US)Be: Discovering Malicious USB Peripherals through Neural Network-Driven Power Analysis. Electronics, 13(11), 2117. https://doi.org/10.3390/electronics13112117

