Fault-Tolerant Cooperative Control of Multiple Uncertain Euler-Lagrange Systems with an Uncertain Leader
Abstract
1. Introduction
2. Problem Formulation
3. A Self-Adjusting Observer Design for the Uncertain Leader System
4. Adaptive Fault-Tolerant Cooperative Controller Design
5. Simulation Studies
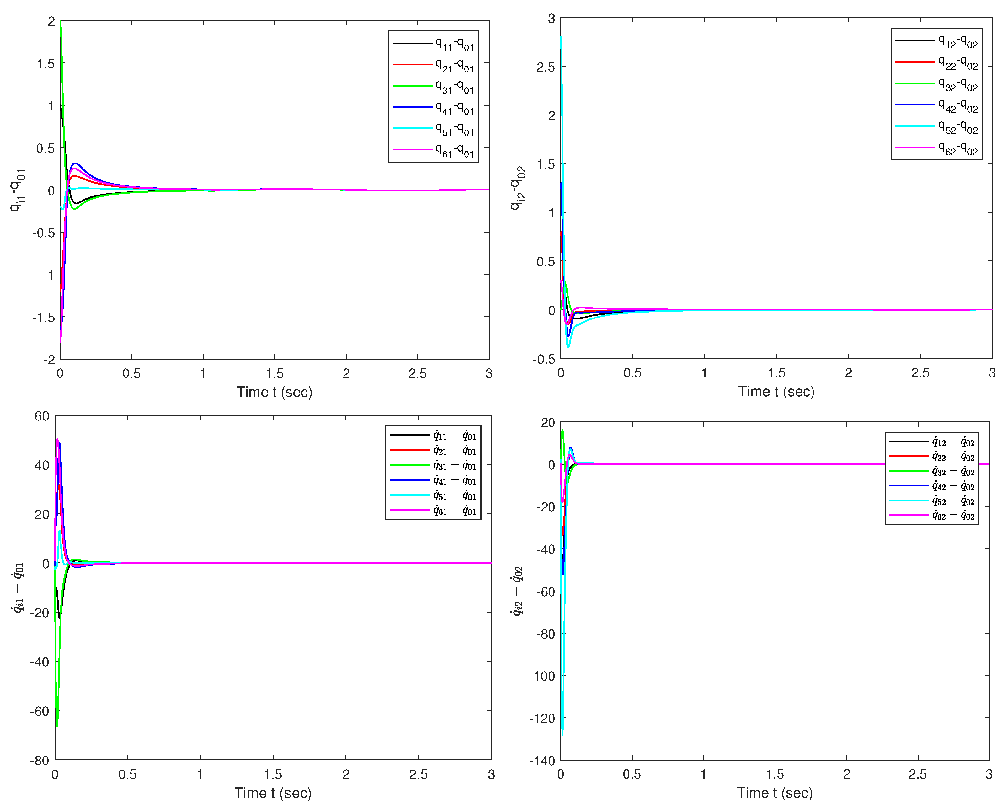
5.1. Simulation for Observer
5.2. Simulation for Adaptive Fault-Tolerant Controller with Healthy Actuator
5.3. Simulation for Adaptive Fault-Tolerant Controller with Actuator Fault
6. Conclusions
Author Contributions
Funding
Data Availability Statement
Conflicts of Interest
References
- Zhao, X.; Zheng, X.; Ma, C.; Li, R. Distributed consensus of multiple Euler–Lagrange systems networked by sampled-data information with transmission delays and data packet dropouts. IEEE Trans. Autom. Sci. Eng. 2015, 14, 1440–1450. [Google Scholar] [CrossRef]
- Chen, Q.; Jin, Y.; Song, Y. Fault-tolerant adaptive tracking control of Euler–Lagrange systems–An echo state network approach driven by reinforcement learning. Neurocomputing 2022, 484, 109–116. [Google Scholar] [CrossRef]
- Hu, Y.; Geng, Y.; Wu, B.; Wang, D. Model-free prescribed performance control for spacecraft attitude tracking. IEEE Trans. Control Syst. Technol. 2020, 29, 165–179. [Google Scholar] [CrossRef]
- Xiao, B.; Hu, Q.; Zhang, Y. Adaptive sliding mode fault tolerant attitude tracking control for flexible spacecraft under actuator saturation. IEEE Trans. Control Syst. Technol. 2011, 20, 1605–1612. [Google Scholar] [CrossRef]
- Han, Q.; Liu, Z.; Su, H.; Liu, X. Filter-Based Disturbance Observer and Adaptive Control for Euler–Lagrange Systems With Application to a Quadrotor UAV. IEEE Trans. Ind. Electron. 2022, 70, 8437–8445. [Google Scholar] [CrossRef]
- Bernardes, E.; Boyer, F.; Viollet, S. Modelling, control and simulation of a single rotor UAV with swashplateless torque modulation. Aerosp. Sci. Technol. 2023, 140, 108433. [Google Scholar] [CrossRef]
- Wang, S.; Huang, J. Adaptive leader-following consensus for multiple Euler–Lagrange systems with an uncertain leader system. IEEE Trans. Neural Netw. Learn. Syst. 2018, 30, 2188–2196. [Google Scholar] [CrossRef] [PubMed]
- Dong, Y.; Chen, Z. Fixed-time synchronization of networked uncertain Euler–Lagrange systems. Automatica 2022, 146, 110571. [Google Scholar] [CrossRef]
- Naderolasli, A.; Shojaei, K.; Chatraei, A. Finite-time velocity-free adaptive neural constrained cooperative control of Euler–Lagrange systems. Trans. Inst. Meas. Control 2023. [Google Scholar] [CrossRef]
- Cai, H.; Su, Y.; Huang, J. Cooperative Control of Multi-Agent Systems: Distributed-Observer and Distributed-Internal-Model Approaches; Springer Nature: Cham, Switzerland, 2022. [Google Scholar]
- Chen, T.; Shan, J.; Wen, H. Distributed adaptive attitude control for networked underactuated flexible spacecraft. IEEE Trans. Aerosp. Electron. Syst. 2018, 55, 215–225. [Google Scholar] [CrossRef]
- Chen, L.; Li, C.; Sun, Y.; Ma, G. Distributed finite-time tracking control for multiple uncertain Euler–Lagrange systems with error constraints. Int. J. Control 2021, 94, 698–710. [Google Scholar] [CrossRef]
- Chen, G. Cooperative controller design for synchronization of networked uncertain Euler–Lagrange systems. Int. J. Robust Nonlinear Control 2015, 25, 1721–1738. [Google Scholar] [CrossRef]
- Li, D.; Ge, S.S.; He, W.; Li, C.; Ma, G. Distributed formation control of multiple Euler–Lagrange systems: A multilayer framework. IEEE Trans. Cybern. 2020, 52, 3325–3332. [Google Scholar] [CrossRef]
- Amin, A.A.; Hasan, K.M. A review of Fault Tolerant Control Systems: Advancements and applications. Measurement 2019, 143, 58–68. [Google Scholar] [CrossRef]
- Van, M.; Ceglarek, D. Robust fault tolerant control of robot manipulators with global fixed-time convergence. J. Frankl. Inst. 2021, 358, 699–722. [Google Scholar] [CrossRef]
- Van, M.; Mavrovouniotis, M.; Ge, S.S. An adaptive backstepping nonsingular fast terminal sliding mode control for robust fault tolerant control of robot manipulators. IEEE Trans. Syst. Man Cybern. Syst. 2018, 49, 1448–1458. [Google Scholar] [CrossRef]
- Chen, G.; Song, Y.; Lewis, F.L. Distributed fault-tolerant control of networked uncertain Euler–Lagrange systems under actuator faults. IEEE Trans. Cybern. 2016, 47, 1706–1718. [Google Scholar] [CrossRef]
- Li, X.; Qin, H.; Li, L.; Sun, Y. Adaptive fault-tolerant control for multiple Euler–Lagrange systems considering time delays and output constraints. Asian J. Control 2023, 25, 2822–2837. [Google Scholar] [CrossRef]
- Meng, Q.; Zhang, T.; Gao, X.; Song, J. Adaptive sliding mode fault-tolerant control of the uncertain stewart platform based on offline multibody dynamics. IEEE/Asme Trans. Mechatron. 2013, 19, 882–894. [Google Scholar] [CrossRef]
- Lu, Z.; Li, Y.; Fan, X.; Li, Y. Decentralized fault tolerant control for modular robot manipulators via integral terminal sliding mode and disturbance observer. Int. J. Control Autom. Syst. 2022, 20, 3274–3284. [Google Scholar] [CrossRef]
- Chen, Z.; Wang, X.s.; Cheng, Y. Model free based finite time fault-tolerant control of robot manipulators subject to disturbances and input saturation. Int. J. Robust Nonlinear Control 2022, 32, 5281–5303. [Google Scholar] [CrossRef]
- Li, H.; Liu, C.L.; Zhang, Y.; Chen, Y.Y. Adaptive neural networks-based fixed-time fault-tolerant consensus tracking for uncertain multiple Euler–Lagrange systems. ISA Trans. 2022, 129, 102–113. [Google Scholar] [CrossRef] [PubMed]
- Huang, J. Nonlinear Output Regulation: Theory and Applications; SIAM—Society for Industrial and Applied Mathematics: Philadelphia, PA, USA, 2004. [Google Scholar]
- Dong, Y.; Gu, R. Adaptive coordinated control of networked non-affine nonlinear systems with a non-autonomous nonlinear leader. Nonlinear Dyn. 2023, 111, 13111–13124. [Google Scholar] [CrossRef]
- Liu, T.; Huang, J. A distributed observer for a class of nonlinear systems and its application to a leader-following consensus problem. IEEE Trans. Autom. Control 2018, 64, 1221–1227. [Google Scholar] [CrossRef]
- Su, Y.; Huang, J. Cooperative output regulation of linear multi-agent systems. IEEE Trans. Autom. Control 2011, 57, 1062–1066. [Google Scholar]
- Cai, H.; Huang, J. Leader-following consensus of multiple uncertain Euler–Lagrange systems under switching network topology. Int. J. Gen. Syst. 2014, 43, 294–304. [Google Scholar] [CrossRef]
- Cai, H.; Lewis, F.L.; Hu, G.; Huang, J. The adaptive distributed observer approach to the cooperative output regulation of linear multi-agent systems. Automatica 2017, 75, 299–305. [Google Scholar] [CrossRef]
- Dong, Y.; Chen, J.; Huang, J. A self-tuning adaptive distributed observer approach to the cooperative output regulation problem for networked multi-agent systems. Int. J. Control 2019, 92, 1796–1804. [Google Scholar] [CrossRef]
- Gao, M.; Jin, X.; Ding, L. A Novel Nonsingular Fixed-Time Sliding Mode Control of Uncertain Euler–Lagrange Systems. IEEE Syst. J. 2022, 17, 467–478. [Google Scholar] [CrossRef]
- Chen, G.; Song, Y.D. Robust fault-tolerant cooperative control of multi-agent systems: A constructive design method. J. Frankl. Inst. 2015, 352, 4045–4066. [Google Scholar] [CrossRef]
- Wang, C.; Wen, C.; Guo, L. Adaptive Consensus Control for Nonlinear Multi-Agent Systems With Unknown Control Directions and Time-Varying Actuator Faults. IEEE Trans. Autom. Control 2020, 66, 4222–4229. [Google Scholar] [CrossRef]
- Dong, Y.; Huang, J. The leader-following rendezvous with connectivity preservation via a self-tuning adaptive distributed observer. Int. J. Control 2017, 90, 1518–1527. [Google Scholar] [CrossRef]
- Hu, J.; Hong, Y. Leader-following coordination of multi-agent systems with coupling time delays. Phys. A Stat. Mech. Appl. 2007, 374, 853–863. [Google Scholar] [CrossRef]
- Khalil, H.K. Nonlinear Systems, 3rd ed.; Patience Hall: Hoboken, NJ, USA, 2002. [Google Scholar]
- Roy, S.; Roy, S.B.; Kar, I.N. Adaptive–robust control of Euler–Lagrange systems with linearly parametrizable uncertainty bound. IEEE Trans. Control Syst. Technol. 2017, 26, 1842–1850. [Google Scholar] [CrossRef]
- Yang, L.; Yang, J. Nonsingular fast terminal sliding-mode control for nonlinear dynamical systems. Int. J. Robust Nonlinear Control 2011, 21, 1865–1879. [Google Scholar] [CrossRef]
- Van, M. An enhanced robust fault tolerant control based on an adaptive fuzzy PID-nonsingular fast terminal sliding mode control for uncertain nonlinear systems. IEEE/ASME Trans. Mechatron. 2018, 23, 1362–1371. [Google Scholar] [CrossRef]
- Zhang, S.; Yang, P.; Kong, L.; Chen, W.; Fu, Q.; Peng, K. Neural networks-based fault tolerant control of a robot via fast terminal sliding mode. IEEE Trans. Syst. Man Cybern. Syst. 2019, 51, 4091–4101. [Google Scholar] [CrossRef]








Disclaimer/Publisher’s Note: The statements, opinions and data contained in all publications are solely those of the individual author(s) and contributor(s) and not of MDPI and/or the editor(s). MDPI and/or the editor(s) disclaim responsibility for any injury to people or property resulting from any ideas, methods, instructions or products referred to in the content. |
© 2024 by the authors. Licensee MDPI, Basel, Switzerland. This article is an open access article distributed under the terms and conditions of the Creative Commons Attribution (CC BY) license (https://creativecommons.org/licenses/by/4.0/).
Share and Cite
Gu, R.; Sun, X. Fault-Tolerant Cooperative Control of Multiple Uncertain Euler-Lagrange Systems with an Uncertain Leader. Electronics 2024, 13, 2068. https://doi.org/10.3390/electronics13112068
Gu R, Sun X. Fault-Tolerant Cooperative Control of Multiple Uncertain Euler-Lagrange Systems with an Uncertain Leader. Electronics. 2024; 13(11):2068. https://doi.org/10.3390/electronics13112068
Chicago/Turabian StyleGu, Rongrong, and Xudong Sun. 2024. "Fault-Tolerant Cooperative Control of Multiple Uncertain Euler-Lagrange Systems with an Uncertain Leader" Electronics 13, no. 11: 2068. https://doi.org/10.3390/electronics13112068
APA StyleGu, R., & Sun, X. (2024). Fault-Tolerant Cooperative Control of Multiple Uncertain Euler-Lagrange Systems with an Uncertain Leader. Electronics, 13(11), 2068. https://doi.org/10.3390/electronics13112068

