Design and Analysis of a Multi−Carrier Orthogonal Double Bit Rate Differential Chaotic Shift Keying Communication System
Abstract
1. Introduction
2. System Model of MC−ODBR−DCSK
2.1. Chaotic Signal Generator
2.1.1. Sine Map
2.1.2. Improved Logistic Map
2.1.3. Circle Map
2.1.4. Two-Dimensional Logistic (2D-Logistic) Map
2.2. Transmitter Structure of MC−ODBR−DCSK
2.3. Receiver Structure of MC−ODBR−DCSK
3. Energy Efficiency of the MC−ODBR−DCSK System
4. Experimental Simulation Analysis
4.1. Influence of IFFT Points on System Performance
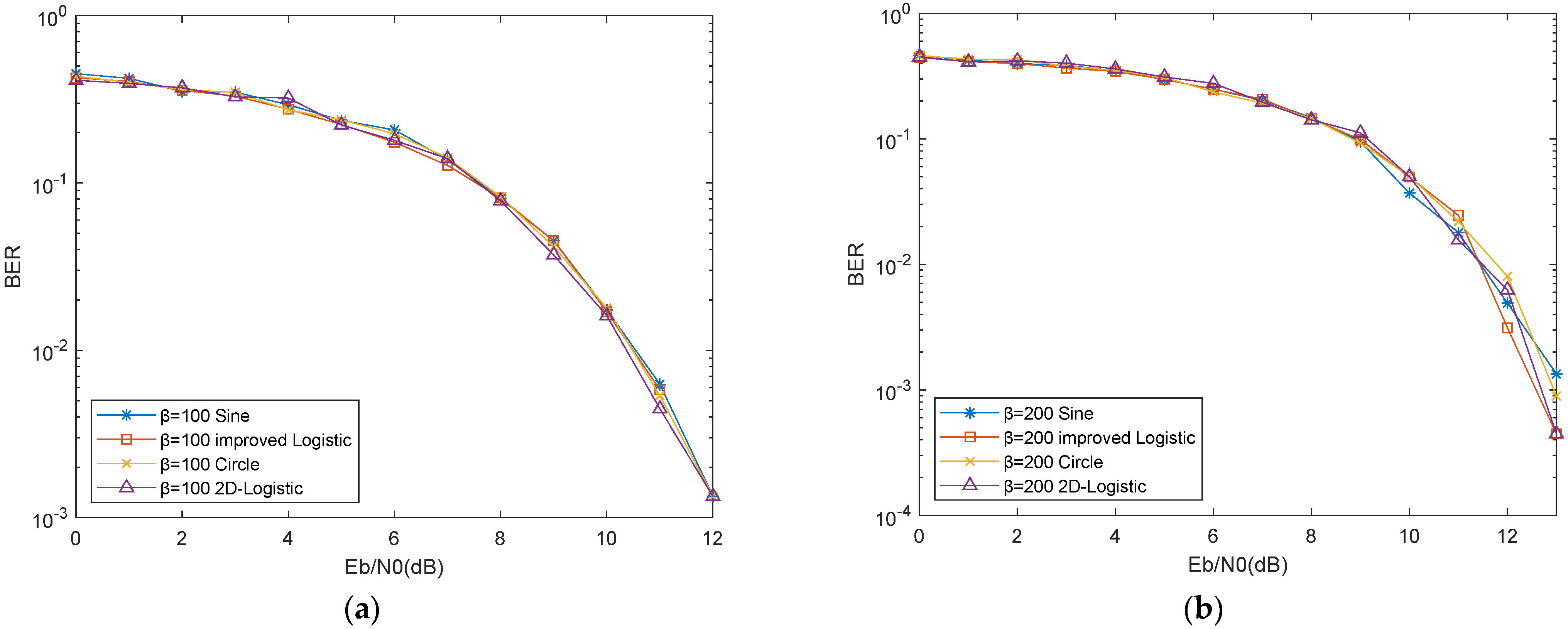
4.2. Influence of Different Chaotic Maps on Performance
4.3. Influence of Semi−Spread Spectrum Factor on Performance
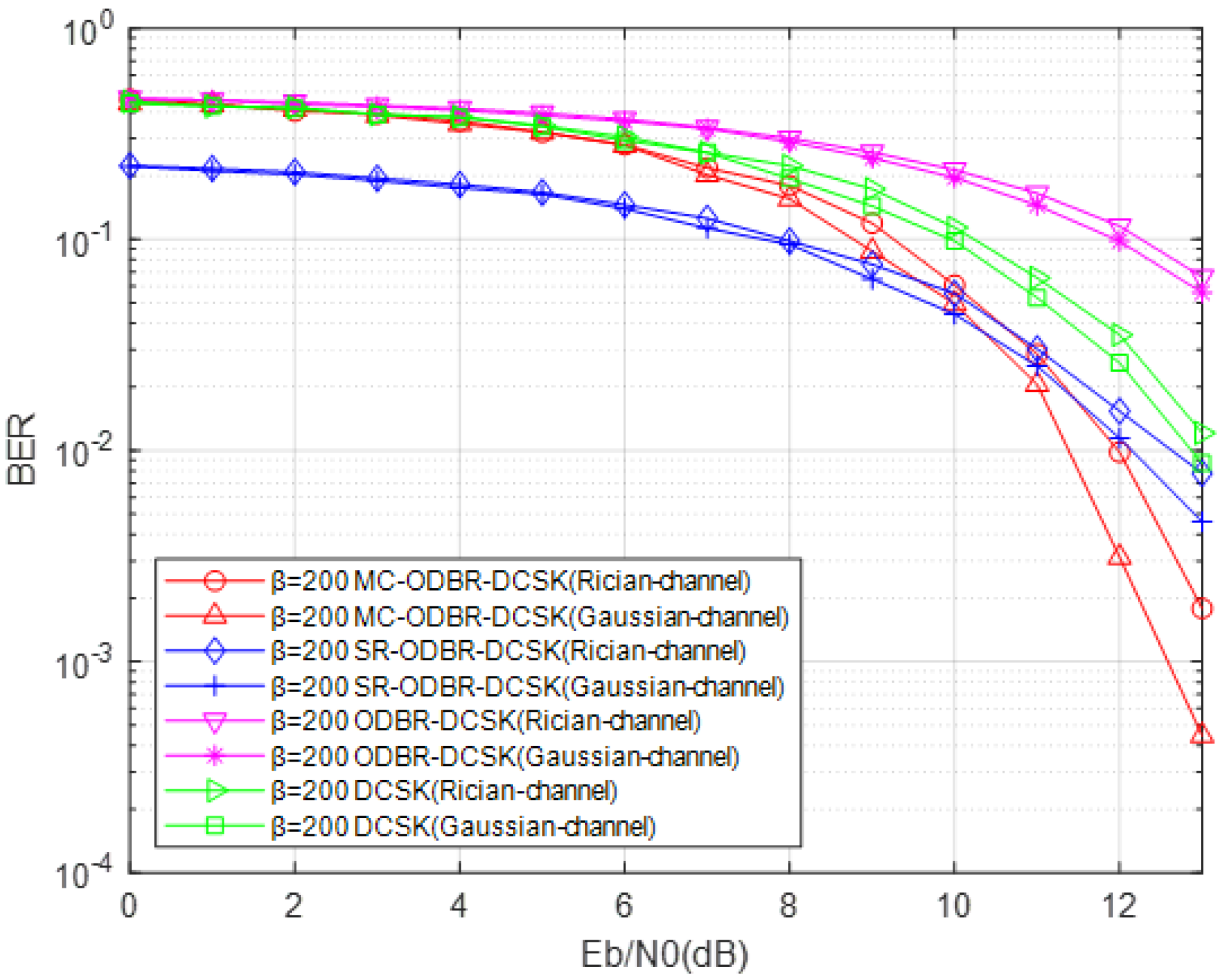
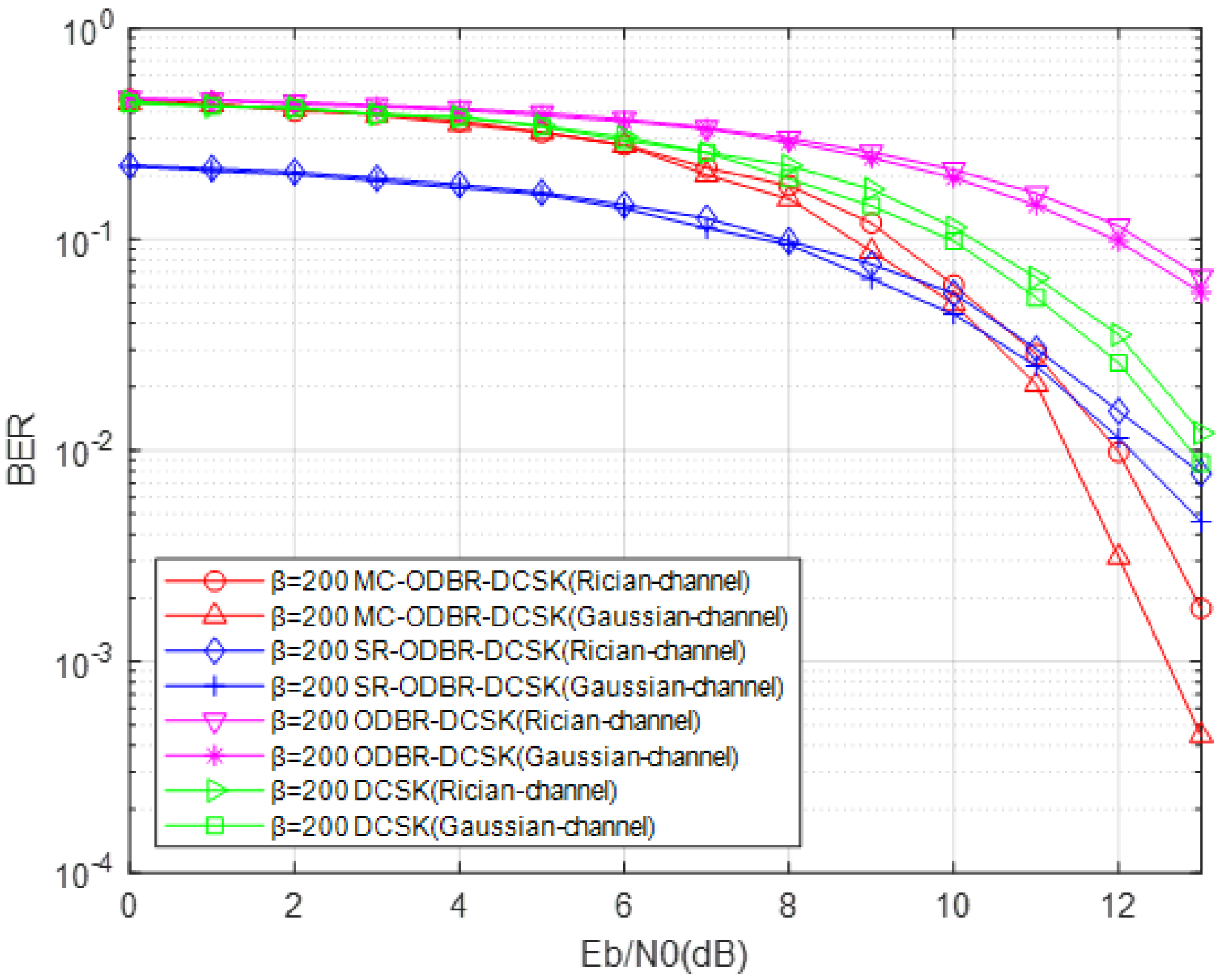
4.4. Bit Error Rate Comparison of Different Systems
5. Conclusions
Author Contributions
Funding
Conflicts of Interest
References
- Kaddom, G.; Tadayon, N. Differential chaos shift keying: A robust Modulation Scheme for Power-Line Communications. IEEE Trans. Circuits Syst. II Express Briefs 2017, 64, 31–35. [Google Scholar] [CrossRef]
- Xu, W.-K.; Wang, L.; Kolumbán, G. A novel differential chaos shift keying modulation scheme. Int. J. Bifurc. Chaos 2011, 21, 799–814. [Google Scholar] [CrossRef]
- Kaddom, G.; Soujeri, E. NR-DCSK: A Noise Reduction Differential Chaos Shift Keying System. IEEE Trans. Circuits Syst. II Express Briefs 2016, 63, 648–652. [Google Scholar] [CrossRef]
- Hu, W.; Wang, L.; Kaddom, G. Design and performance analysis of a differentially spatial modulated chaos shift keying modulation system. IEEE Trans. Circuits Syst. Ⅱ Express Briefs 2017, 64, 1302–1306. [Google Scholar] [CrossRef]
- Liu, F.; Feng, Y.-X. Dynamic Multimapping Composite Chaotic Sequence Generator Algorithm. Int. J. Electron. Commun. 2019, 107, 231–238. [Google Scholar] [CrossRef]
- Zhang, M.; Cheng, G.; Yang, B.; Yang, C. Generalized Carrier Index Differential Chaos Shift Keying Based SWIPT with Conversion Noise and Path Loss-Effect. Electronics 2022, 11, 2406. [Google Scholar] [CrossRef]
- Jia, Y.-Q.; Jiang, G.-P.; Yang, H.; Yu, B.; Du, M.-D. Design and Performance Analysis of a Multi-Carrier M−Ary DCSK System with Multilevel Code-Shifted Modulation Based on Fractional−Order Chaos. Electronics 2021, 10, 2343. [Google Scholar] [CrossRef]
- Yang, H.; Jiang, G.-P. High-efficiency differential−chaos−shift−keying scheme for chaos−based noncoherent communication. IEEE Trans. Circuits Syst. II Express Briefs 2012, 59, 312–316. [Google Scholar] [CrossRef]
- Kaddoum, G.; Soujeri, E.; Arcila, C.; Eshteiwi, K. I−DCSK: An improved non-coherent communication system architecture. IEEE Trans. Circuits Syst. II Express Briefs 2015, 62, 901–905. [Google Scholar]
- Zhang, L.; Zhang, H.; Jiang, Y.; Wu, Z. Intelligent and reliable deep learning LSTM neural networks-based OFDM−DCSK demodulation design. IEEE Trans. Veh. Technol. 2020, 69, 16163–16167. [Google Scholar] [CrossRef]
- Qiu, W.; Yang, Y.; Feng, Y.; Zhang, L.; Wu, Z. Secure MIMO Communication System with Frequency Hopping Aided OFDM-DCSK Modulation. Electronics 2022, 11, 3029. [Google Scholar] [CrossRef]
- Kaddoum, G. Design and performance analysis of a multi-user OFDM based differential chaos shift keying communication system. IEEE Trans. Commun. 2016, 64, 249–260. [Google Scholar] [CrossRef]
- Kaddoum, G.; Soujeri, E.; Nijsure, Y. Design of a Short Reference Noncoherent Chaos−Based Communication Systems. IEEE Trans. Commun. 2016, 64, 680–689. [Google Scholar] [CrossRef]
- Kaddoum, G.; Tran, H.-V.; Kong, L.; Atallah, M. Design of Simultaneous Wireless Information and Power Transfer Scheme for Short Reference DCSK Communication Systems. IEEE Trans. Commun. 2017, 65, 431–443. [Google Scholar] [CrossRef]
- Sui, T.; Feng, Y.-X.; Jiang, Q.; Liu, F.; Zhang, T. Design and Analysis of a Short Reference Orthogonal Double Bit Rate Differential Chaotic Shift Keying Communication Scheme. Electronics 2022, 11, 2020. [Google Scholar] [CrossRef]
- Kaddoum, G.; Gagnon, F.; Richardson, F.-D. Design of a secure Multi-Carrier DCSK system. In Proceedings of the 2012 International Symposium on Wireless Communication Systems (ISWCS), Paris, France, 28–31 August 2012; pp. 964–968. [Google Scholar]
- Liu, Z.-F.; Zhang, L.; Wu, Z.-Q.; Bian, J. A secure and robust frequency and time diversity aided OFDM-DCSK modulation system not requiring channel state information. IEEE Trans. Commun. 2020, 68, 1684–1697. [Google Scholar] [CrossRef]
- Kaddoum, G.; Richardson, F.-D.; Gagnon, F. Design and analysis of a Multi−Carrier differential chaos shift keying communication system. IEEE Trans. Commun. 2013, 61, 3281–3291. [Google Scholar] [CrossRef]
- Yang, H.; Tang, W.-K.-S.; Chen, G.-R.; Jiang, G.-P. Multi−Carrier Chaos Shift Keying: System Design and Performance Analysis. IEEE Trans. Circuits Syst. I Regul. Pap. 2017, 64, 2182–2194. [Google Scholar] [CrossRef]
- Huang, T.-T.; Wang, L.; Xu, W.-K.; Chen, G. A multi−carrier M−ary differential chaos shift keying system with low PAPR. IEEE Access 2017, 5, 18793–18803. [Google Scholar] [CrossRef]
- Kaddoum, G.; Shokraneh, F. Analog network coding for multi−user multi−carrier differential chaos shift keying communication system. IEEE Trans. Wirel. Commun. 2015, 14, 1492–1505. [Google Scholar] [CrossRef]
- Chen, Z.-W.; Zhang, L.; Wu, Z.-Q.; Wang, L.; Xu, W. Reliable and efficient sparse code spreading aided MC−DCSK transceiver design for multiuser transmissions. IEEE Trans. Commun. 2021, 69, 1480–1495. [Google Scholar] [CrossRef]
- Chen, M.-L.; Xu, W.-K.; Wang, D.-Q.; Wang, L. Multi−carrier chaotic communication scheme for underwater acoustic communications. IET Commun. 2019, 13, 2097–2105. [Google Scholar] [CrossRef]
- Zhang, G.; Zhao, C.; Zhang, T. Performance Analysis of MISO−MU−OHE−DCSK System over Rayleigh Fading Channels. AEU Int. J. Electron. Commun. 2019, 115, 153048. [Google Scholar] [CrossRef]













| Bandwidth (MHz) | IFFT Points | |||
|---|---|---|---|---|
| 10 | 1024 | 595 | 560 | 35 |
| 15 | 1536 | 901 | 848 | 53 |
| 20 | 2048 | 1190 | 1120 | 70 |
Disclaimer/Publisher’s Note: The statements, opinions and data contained in all publications are solely those of the individual author(s) and contributor(s) and not of MDPI and/or the editor(s). MDPI and/or the editor(s) disclaim responsibility for any injury to people or property resulting from any ideas, methods, instructions or products referred to in the content. |
© 2023 by the authors. Licensee MDPI, Basel, Switzerland. This article is an open access article distributed under the terms and conditions of the Creative Commons Attribution (CC BY) license (https://creativecommons.org/licenses/by/4.0/).
Share and Cite
Sui, T.; Feng, Y.; Qian, B.; Liu, F.; Jiang, Q.; Li, X. Design and Analysis of a Multi−Carrier Orthogonal Double Bit Rate Differential Chaotic Shift Keying Communication System. Electronics 2023, 12, 1785. https://doi.org/10.3390/electronics12081785
Sui T, Feng Y, Qian B, Liu F, Jiang Q, Li X. Design and Analysis of a Multi−Carrier Orthogonal Double Bit Rate Differential Chaotic Shift Keying Communication System. Electronics. 2023; 12(8):1785. https://doi.org/10.3390/electronics12081785
Chicago/Turabian StyleSui, Tao, Yongxin Feng, Bo Qian, Fang Liu, Qiang Jiang, and Xiao Li. 2023. "Design and Analysis of a Multi−Carrier Orthogonal Double Bit Rate Differential Chaotic Shift Keying Communication System" Electronics 12, no. 8: 1785. https://doi.org/10.3390/electronics12081785
APA StyleSui, T., Feng, Y., Qian, B., Liu, F., Jiang, Q., & Li, X. (2023). Design and Analysis of a Multi−Carrier Orthogonal Double Bit Rate Differential Chaotic Shift Keying Communication System. Electronics, 12(8), 1785. https://doi.org/10.3390/electronics12081785

