Efficient GaN-on-Si Power Amplifier Design Using Analytical and Numerical Optimization Methods for 24–30 GHz 5G Applications
Abstract
1. Introduction
2. Determination of the Optimal Impedance Domain and the Equivalent Large-Signal Output Matching Model
3. Design of Broadband Matching Networks
3.1. Discussion of Solutions to Compensate Cout
3.2. Synthesis of Two-Section Low-Pass OMN
3.3. ISMN Developed by Using a Numerical Optimization Method
3.4. Synthesized IMN in Band-Pass Form
4. Simulation Results
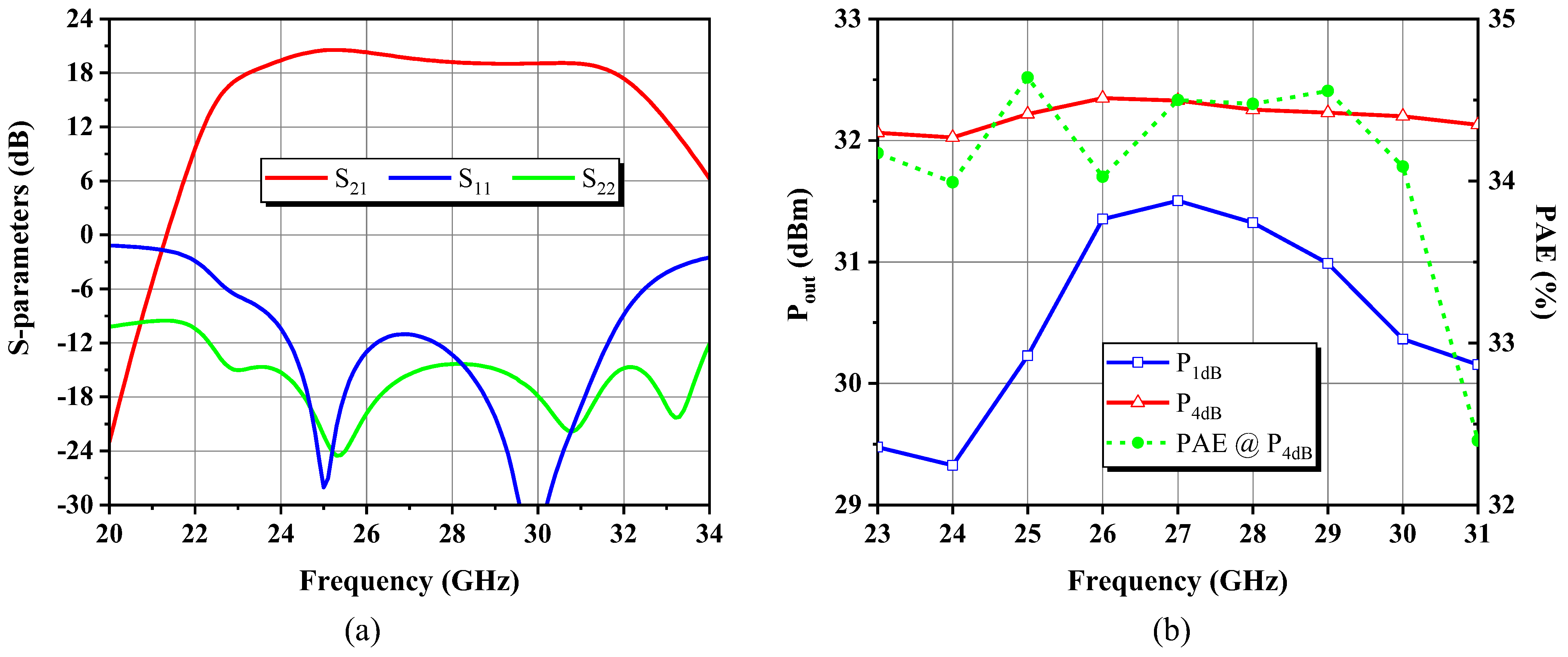
4.1. Small- and Large-Signal Characterization
4.2. Electro-Thermal Behavior
5. Conclusions
Author Contributions
Funding
Institutional Review Board Statement
Informed Consent Statement
Data Availability Statement
Conflicts of Interest
Nomenclature
| 2D | Two-dimensional |
| 3D | Three-dimensional |
| 3GPP | 3rd generation partnership project |
| 5G | Fifth-generation cellular network |
| AC | Alternating current |
| ADS | Advanced design system |
| BP | Band-pass |
| CAD | Computer-aided design |
| CMOS | Complementary metal-oxide semiconductor |
| CW | Continuous-wave |
| DC | Direct current |
| EM | Electromagnetic |
| Eth | Electro-thermal |
| FBW | Fractional bandwidth |
| FEM | Finite-element method |
| FR | Frequency range |
| GaN-on-Si | Gallium nitride-on-silicon |
| GPLC | Generalized parallel LC |
| GSLC | Generalized series LC |
| HEMT | High-electron-mobility transistor |
| IMN | Input matching network |
| ISMN | Interstage matching network |
| IT | Impedance transformation |
| ITR | Impedance transformation ratio |
| LP | Low-pass |
| MIM | Metal-insulator-metal |
| MMIC | Monolithic microwave integrated circuit |
| mmW | Millimeter-wave |
| MN | Matching network |
| NR | New radio |
| OMN | Output matching network |
| PA | Power amplifier |
| PAE | Power-added efficiency |
| PDK | Process design kit |
| RF | Radio frequency |
| SCN | Symmetrical compensation network |
| SRFT | Simplified real-frequency technique |
| STN | Synthesized transformer network |
| TF | Transformer |
| VCCS | Voltage-controlled current source |
| VSWR | Voltage standing wave ratio |
References
- Nakatani, K.; Yamaguchi, Y.; Hangai, M.; Shinjo, S. A Ka-band CW 15.5 W 15.6% fractional bandwidth GaN power amplifier MMIC using wideband BPF inter-stage matching network. In Proceedings of the 2019 IEEE BiCMOS and Compound Semiconductor Integrated Circuits and Technology Symposium (BCICTS), IEEE, Nashville, TN, USA, 3–6 November 2019; pp. 1–4. [Google Scholar]
- Neininger, P.; John, L.; Brückner, P.; Friesicke, C.; Quay, R.; Zwick, T. Design, analysis and evaluation of a broadband high-power amplifier for Ka-band frequencies. In Proceedings of the 2019 IEEE MTT-S International Microwave Symposium (IMS), IEEE, Boston, MA, USA, 2–7 June 2019; pp. 564–567. [Google Scholar]
- Chen, S.; Nayak, S.; Campbell, C.; Reese, E. High efficiency 5W/10W 32–38GHz power amplifier MMICs utilizing advanced 0.15 µm GaN HEMT technology. In Proceedings of the 2016 IEEE Compound Semiconductor Integrated Circuit Symposium (CSICS), IEEE, Austin, TX, USA, 23–26 October 2016; pp. 1–4. [Google Scholar]
- Alizadeh, A.; Frounchi, M.; Medi, A. On design of wideband compact-size Ka/Q-band high-power amplifiers. IEEE Trans. Microw. Theory Tech. 2016, 64, 1831–1842. [Google Scholar] [CrossRef]
- Shin, D.H.; Yom, I.B.; Kim, D.W. 6-GHz-to-18-GHz AlGaN/GaN Cascaded Nonuniform Distributed Power Amplifier MMIC Using Load Modulation of Increased Series Gate Capacitance. ETRI J. 2017, 39, 737–745. [Google Scholar] [CrossRef]
- Kerherve, E.; Demirel, N.; Ghiotto, A.; Larie, A.; Deltimple, N.; Pham, J.-M.; Mancuso, Y.; Garrec, P. A broadband 4.5–15.5-GHz SiGe power amplifier with 25.5-dBm peak saturated output power and 28.7% maximum PAE. IEEE Trans. Microw. Theory Tech. 2015, 63, 1621–1632. [Google Scholar] [CrossRef]
- Lee, H.; Lee, W.; Kim, T.; Helaoui, M.; Ghannouchi, F.M.; Yang, Y. 6–18 GHz GaAs pHEMT broadband power amplifier based on dual-frequency selective impedance matching technique. IEEE Access 2019, 7, 66275–66280. [Google Scholar] [CrossRef]
- Peng, L.; Chen, J.; Zhang, Z.; Huang, Y.; Wang, T.; Zhang, G. Design of broadband high-gain GaN MMIC power amplifier based on reactive/resistive matching and feedback technique. IEICE Electron. Express 2021, 18, 20210313. [Google Scholar] [CrossRef]
- Bahl, I. Fundamentals of RF and Microwave Transistor Amplifiers; John Wiley & Sons: Hoboken, NJ, USA, 2009. [Google Scholar]
- Peng, L.; Chen, J.; Zhang, Z.; Zhang, G. Design of an Efficient 24–30 GHz GaN MMIC Power Amplifier Using Filter-Based Matching Networks. Electronics 2022, 11, 1934. [Google Scholar] [CrossRef]
- Matthaei, G.L. Tables of Chebyshev impedance–transforming networks of low-pass filter form. Proc. IEEE 1964, 52, 939–963. [Google Scholar] [CrossRef]
- Dawson, D.E. Closed-form solutions for the design of optimum matching networks. IEEE Trans. Microw. Theory Tech. 2008, 57, 121–129. [Google Scholar] [CrossRef]
- Meng, X.; Yu, C.; Liu, Y.; Wu, Y. Design approach for implementation of class-J broadband power amplifiers using synthesized band-pass and low-pass matching topology. IEEE Trans. Microw. Theory Tech. 2017, 65, 4984–4996. [Google Scholar] [CrossRef]
- Chen, K.; Peroulis, D. Design of highly efficient broadband class-E power amplifier using synthesized low-pass matching networks. IEEE Trans. Microw. Theory Tech. 2011, 59, 3162–3173. [Google Scholar] [CrossRef]
- Yang, M.; Xia, J.; Guo, Y.; Zhu, A. Highly efficient broadband continuous inverse class-F power amplifier design using modified elliptic low-pass filtering matching network. IEEE Trans. Microw. Theory Tech. 2016, 64, 1515–1525. [Google Scholar] [CrossRef]
- Meghdadi, M.; Medi, A. Design of 6–18-GHz high-power amplifier in GaAs pHEMT technology. IEEE Trans. Microw. Theory Tech. 2017, 65, 2353–2360. [Google Scholar] [CrossRef]
- Yarman, B.S.; Carlin, H.J. A simplified “real frequency” technique applied to broad-band multistage microwave amplifiers. IEEE Trans. Microw. Theory Tech. 1982, 30, 2216–2222. [Google Scholar] [CrossRef]
- Kumar, A.; Moradpour, M.; Losito, M.; Franke, W.T.; Ramasamy, S.; Baccoli, R.; Gatto, G. Wide band gap devices and their application in power electronics. Energies 2022, 15, 9172. [Google Scholar] [CrossRef]
- Prado, E.O.; Bolsi, P.C.; Sartori, H.C.; Pinheiro, J.R. An overview about Si, Superjunction, SiC and GaN power MOSFET technologies in power electronics applications. Energies 2022, 15, 5244. [Google Scholar] [CrossRef]
- Colantonio, P.; Giofrè, R. A GaN-on-Si MMIC power amplifier with 10 W output power and 35% efficiency for Ka-Band satellite downlink. In Proceedings of the 2020 15th European Microwave Integrated Circuits Conference (EuMIC), IEEE, Utrecht, The Netherlands, 10–15 January 2021; pp. 29–32. [Google Scholar]
- Tong, X.; Zhang, S.; Zheng, P.; Xu, J.; Wang, R. 23.5–30 GHz gallium nitride on silicon power amplifier MMIC with 7.6–12.4 W saturation output power. Microw. Opt. Technol. Lett. 2019, 61, 1797–1801. [Google Scholar] [CrossRef]
- Ardekani, M.H.M.; Abiri, H. A new approach to design wide band power amplifiers by compensating parasitic elements of transistors. AEU-Int. J. Electron. Commun. 2018, 92, 1–7. [Google Scholar] [CrossRef]
- Rubio, J.J.M.; Quaglia, R.; Piacibello, A.; Camarchia, V.; Tasker, P.J.; Cripps, S. 3–20-GHz GaN MMIC Power Amplifier Design Through a COUT Compensation Strategy. IEEE Microw. Wirel. Compon. Lett. 2021, 31, 469–472. [Google Scholar] [CrossRef]
- Huang, P.C.; Tsai, Z.M.; Lin, K.Y.; Wang, H. A 17–35 GHz broadband, high efficiency PHEMT power amplifier using synthesized transformer matching technique. IEEE Trans. Microw. Theory Tech. 2011, 60, 112–119. [Google Scholar] [CrossRef]
- Chen, Y.; Wu, Y.; Luo, L.; Wang, Q.; Zhang, Y.; Yan, B.; Xu, R.; Xu, Y. Design of 18–40 GHz GaN reactive matching power amplifiers using one-order and two-order synthesised transformer networks. IET Microw. Antennas Propag. 2022, 16, 78–90. [Google Scholar] [CrossRef]
- Yarman, B.S.; Aksen, A. An integrated design tool to construct lossless matching networks with mixed lumped and distributed elements. IEEE Trans. Circuits Syst. I Fundam. Theory Appl. 1992, 39, 713–723. [Google Scholar] [CrossRef]
- Ramella, C.; Pirola, M.; Reale, A.; Ramundo, M.; Colantonio, P.; Der Maur, M.A.; Camarchia, V.; Piacibello, A.; Giofrè, R. Thermal-aware GaN/Si MMIC design for space applications. In Proceedings of the 2019 IEEE International Conference on Microwaves, Antennas, Communications and Electronic Systems (COMCAS), IEEE, Tel-Aviv, Israel, 4–6 November 2019; pp. 1–6. [Google Scholar]
- Qorvo. High Frequency Amplifiers, TGA2594 Data Sheet. Available online: http://www.qorvo.com (accessed on 11 November 2022).




















| Solution | β1 | α1 | β2 | α2 | β3 |
|---|---|---|---|---|---|
| A | −0.065 | 3 | 0.107 | −2.912 | 1.31 |
| 3.63 pF | 21 pH | 16 pH | 1.02 pF | 226 pH | |
| B | 0.048 | −3.011 | −0.098 | 2.898 | 1.295 |
| 7 pH | 1.8 pF | 2.4 pF | 36 pH | 223 pH |
| Ref. | [2] | [3] | [8] | [10] | [21] | TGA2594 [28] | This Work |
|---|---|---|---|---|---|---|---|
| Process | 0.1 μm GaN/SiC | 0.15 μm GaN/SiC | 0.1 μm GaN/Si | 0.1 μm GaN/Si | 0.1 μm GaN/Si | 0.15 μm GaN/SiC | 0.1 μm GaN/Si |
| VD (V) | 15 | 20 | 12 | 12 | 12 | 20 | 12 |
| Meas. mode | Pulsed | CW | Pulsed | Pulsed | Pulsed | CW | CW |
| Freq. (GHz) (FBW) | 27–34 (23%) | 32–38 (17.1%) | 22–27 (20.4%) | 24–30 (22.2%) | 24–30 (22.2%) | 27–31 (13.8%) | 24–30 (22.2%) |
| Gain (dB) | 20.5 ± 1.5 | 17 ± 0.5 | 24 ± 0.5 | 29 ± 0.4 | 17.9 ± 1.5 | 23.6 ± 1.9 | 19.8 ± 0.7 |
| Pout (dBm) | 38.7 ± 0.4 | 36.7 ± 0.5 | 31 ± 0.7 | 30.7 ± 0.2 | 39.9 ± 1 | 37 ± 0.4 | 32.2 ± 0.2 |
| PAE (%) | 24.5–30.5 a | 25–34 c | 30.5–36.9 b | 30.6–34.7 a | 24–37 b | 26.5–30.3 c | 34–34.6 a |
| Size (mm2) | 4.5 × 3.5 | 2.22 × 1.6 | 1.8 × 0.87 | 1.94 × 0.83 | 3.7 × 3.2 | 3.24 × 1.74 | 1.54 × 0.89 |
Disclaimer/Publisher’s Note: The statements, opinions and data contained in all publications are solely those of the individual author(s) and contributor(s) and not of MDPI and/or the editor(s). MDPI and/or the editor(s) disclaim responsibility for any injury to people or property resulting from any ideas, methods, instructions or products referred to in the content. |
© 2023 by the authors. Licensee MDPI, Basel, Switzerland. This article is an open access article distributed under the terms and conditions of the Creative Commons Attribution (CC BY) license (https://creativecommons.org/licenses/by/4.0/).
Share and Cite
Peng, L.; Zhang, Z.; Zhang, G. Efficient GaN-on-Si Power Amplifier Design Using Analytical and Numerical Optimization Methods for 24–30 GHz 5G Applications. Electronics 2023, 12, 1750. https://doi.org/10.3390/electronics12071750
Peng L, Zhang Z, Zhang G. Efficient GaN-on-Si Power Amplifier Design Using Analytical and Numerical Optimization Methods for 24–30 GHz 5G Applications. Electronics. 2023; 12(7):1750. https://doi.org/10.3390/electronics12071750
Chicago/Turabian StylePeng, Lin, Zhihao Zhang, and Gary Zhang. 2023. "Efficient GaN-on-Si Power Amplifier Design Using Analytical and Numerical Optimization Methods for 24–30 GHz 5G Applications" Electronics 12, no. 7: 1750. https://doi.org/10.3390/electronics12071750
APA StylePeng, L., Zhang, Z., & Zhang, G. (2023). Efficient GaN-on-Si Power Amplifier Design Using Analytical and Numerical Optimization Methods for 24–30 GHz 5G Applications. Electronics, 12(7), 1750. https://doi.org/10.3390/electronics12071750

