Hybrid General Regression NN Model for Efficient Operation of Centralized TEG System under Non-Uniform Thermal Gradients
Abstract
1. Introduction
- A novel orca predator algorithm (OPA) is implemented for Hyperparameter tuning of general regression neural network (GRNN).
- Proposed GRNN-OPA-based technique is implemented as MPPT control for TEG system under dynamic thermal gradients.
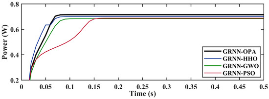
- Proposed GRNN-OPA-based MPPT control technique can track MPP with 99.96% efficiency within 65 ms under dynamic thermal gradients.
- Comparison of GRNN-OPA is made with GRNN-HHO, GRNN-GWO and GRNN-PSO-based state-of-the-art MPPT techniques.
- The proposed technique is also tested using experimental setup and extracted 7% more power as compared to other techniques.
- Statistical analysis is presented to validate the robustness and stability of the proposed technique.
2. Centralized TEG Modeling
2.1. Configuration of TEG Systems
2.2. NUTD-Influenced Centralized TEG Model
3. Orca Predation Algorithm
3.1. Inspiration
3.2. Development of an Orca Colony
3.3. Chasing Phase
3.3.1. Driving of Prey
3.3.2. Encircling of Prey
3.3.3. Adjustments of Positions
3.4. Attacking Phase
3.4.1. Attacking Prey
3.4.2. Adjustment of Positions
4. General Regression Neural Network (GRNN)

4.1. Training of GRNN
| Algorithm 1: Training of GRNN |
| 1: Train GRNN with 10% training data |
| 2: for i ≤ i final |
| 3: find the output of GRNN yi of input ji |
| 4: find MSE |
| 5: if MSE > Threshold then |
| 6: Train GRNN with |
| 7: end if |
| 10: end |
4.2. Smoothing Parameter Adjustment of GRNN
5. Results and Discussion
5.1. Case 1: Start-Up Test
5.2. Case 2: Varying NTD
5.3. Case 3: Stochastic Variation
5.4. Experimental Verification
5.5. Common Results and Discussion
5.5.1. Settling Time and Tracking Time
5.5.2. Power Tracking Efficiency
5.5.3. Oscillations and Fluctuations
5.5.4. Statistical Analysis and Energy Harvest
6. Conclusions
Author Contributions
Funding
Institutional Review Board Statement
Informed Consent Statement
Data Availability Statement
Conflicts of Interest
Abbreviations
| TEG | Thermoelectric Generator |
| MPPT | Maximum Power Point Tracking |
| P and O | Perturb and observe |
| MAE | Mean Absolute Error |
| RMSE | Root Mean Square Error |
| IC | Incremental Conductance |
| MRA | Mud Ring Optimizer |
| GWO | Grey Wolf Optimizer |
| GM | Global Maxima |
| PSO | Particle Swarm Optimization |
| WOA | Whale Optimization Algorithm |
| GMPP | Global Maximum Power Point |
| LMPP | Local Maximum Power Point |
| NUTD | Non-uniform Temperature Distribution |
| OCV | Open Circuit Voltage |
| FSCC | Fractional Short Circuit Current |
| PSC | Partial Shading Condition |
| PWM | Pulse Width Modulation |
| PCA | Principle Component Analysis |
| TT | Tracking Time |
| ST | Settling Time |
| LM | Local Minima |
| SI | Swarm Intelligence |
| CPS | Complex Partial Shading |
| GRNN-HHO | General Regression Network–Harris Hawk Optimization |
| GRNN-PSO | General Regression Network–Particle Swarm Optimization |
| GRNN-GWO | General Regression Network–Grey Wolf Optimization |
| The temperature at STC condition () | |
| Temperature () | |
| Equivalent series resistance cell | |
| Parallel equivalent resistance | |
| Series equivalent resistance | |
| The thermal voltage of the PV module | |
| Output voltage | |
| Duty cycle | |
| Step size of duty cycle |
References
- Anand, M.P.; Rajapakse, A.; Bagen, B. Stochastic Model for Generating Synthetic Hourly Global Horizontal Solar Radiation Data Sets Based on Auto Regression Characterization. Int. Energy J. 2020, 20, 181–200. [Google Scholar]
- Mirhosseini, M.; Rezania, A.; Rosendahl, L. Power optimization and economic evaluation of thermoelectric waste heat recovery system around a rotary cement kiln. J. Clean. Prod. 2019, 232, 1321–1334. [Google Scholar] [CrossRef]
- Wei, X.; Amin, M.A.; Xu, Y.; Jing, T.; Yi, Z.; Wang, X.; Xie, Y.; Li, D.; Wang, S.; Zhai, Y. Two-stage cooperative intelligent home energy management system for optimal scheduling. IEEE Trans. Ind. Appl. 2022, 58, 5423–5437. [Google Scholar] [CrossRef]
- Attivissimo, F.; Di Nisio, A.; Lanzolla, A.M.L.; Paul, M. Feasibility of a photovoltaic–thermoelectric generator: Performance analysis and simulation results. IEEE Trans. Instrum. Meas. 2015, 64, 1158–1169. [Google Scholar] [CrossRef]
- Zafar, M.H.; Al-Shahrani, T.; Khan, N.M.; Mirza, A.F.; Mansoor, M.; Qadir, M.U.; Khan, M.I.; Naqvi, R.A. Group Teaching Optimization Algorithm Based MPPT Control of PV Systems under Partial Shading and Complex Partial Shading. Electronics 2020, 9, 1962. [Google Scholar] [CrossRef]
- Bahrami, A.; Schierning, G.; Nielsch, K. Waste Recycling in Thermoelectric Materials. Adv. Energy Mater. 2020, 10, 1904159. [Google Scholar] [CrossRef]
- Fathabadi, H. Novel solar-powered photovoltaic/thermoelectric hybrid power source. Renew. Energy 2020, 146, 426–434. [Google Scholar] [CrossRef]
- Zafar, M.H.; Khan, N.M.; Mansoor, M.; Khan, U.A. Towards green energy for sustainable development: Machine learning based MPPT approach for thermoelectric generator. J. Clean. Prod. 2022, 351, 131591. [Google Scholar] [CrossRef]
- El-Shahat, A.; Bhuiyan, M.S.R. Thermoelectric Generator Performances and Efficiency Analysis Integrated with MPPT Techniques. In Proceedings of the 2021 International Conference on Sustainable Energy and Future Electric Transportation (SEFET), Hyderabad, India, 21–23 January 2021; IEEE: Piscataway, NJ, USA, 2021. [Google Scholar]
- Hao, J.; Chen, Z.; Ge, Z.; Sun, J.; Du, X.; Chen, Q. Optimal flow layout and current allocation for improving the thermoelectric refrigeration system based on heat current method. Int. J. Energy Res. 2021, 46, 2826–2839. [Google Scholar] [CrossRef]
- Kanimba, E.; Pearson, M.; Sharp, J.; Stokes, D.; Priya, S.; Tian, Z. A comprehensive model of a lead telluride thermoelectric generator. Energy 2018, 142, 813–821. [Google Scholar] [CrossRef]
- Karbaschi, H.; Nouri, N.; Rezaei, M.; Rashedi, G. Thermoelectric power generation efficiency of zigzag monolayer nanoribbon of bismuth. Nanotechnology 2020, 31, 375403. [Google Scholar] [CrossRef] [PubMed]
- Jena, S.; Kar, S.K. Employment of solar photovoltaic-thermoelectric generator-based hybrid system for efficient operation of hybrid nonconventional distribution generator. Int. J. Energy Res. 2020, 44, 109–127. [Google Scholar] [CrossRef]
- Jiang, B.; Liu, X.; Wang, Q.; Cui, J.; Jia, B.; Zhu, Y.; Feng, J.; Qiu, Y.; Gu, M.; Ge, Z.; et al. Realizing high-efficiency power generation in low-cost PbS-based thermoelectric materials. Energy Environ. Sci. 2020, 13, 579–591. [Google Scholar] [CrossRef]
- Kumar, P.M.; Jagadeesh Babu, V.; Subramanian, A.; Bandla, A.; Thakor, N.; Ramakrishna, S.; Wei, H. The design of a thermoelectric generator and its medical applications. Designs 2019, 3, 22. [Google Scholar] [CrossRef]
- Ming, T.; Yang, W.; Huang, X.; Wu, Y.; Li, X.; Liu, J. Analytical and numerical investigation on a new compact thermoelectric generator. Energy Convers. Manag. 2017, 132, 261–271. [Google Scholar] [CrossRef]
- Mansoor, M.; Mirza, A.F.; Duan, S.; Zhu, J.; Yin, B.; Ling, Q. Maximum energy harvesting of centralized thermoelectric power generation systems with non-uniform temperature distribution based on novel equilibrium optimizer. Energy Convers. Manag. 2021, 246, 114694. [Google Scholar] [CrossRef]
- Yang, B.; Zhang, M.; Zhang, X.; Wang, J.; Shu, H.; Li, S.; He, T.; Yang, L.; Yu, T. Fast atom search optimization based MPPT design of centralized thermoelectric generation system under heterogeneous temperature difference. J. Clean. Prod. 2020, 248, 119301. [Google Scholar] [CrossRef]
- Mirza, A.F.; Mansoor, M.; Ling, Q.; Yin, B.; Javed, M.Y. A Salp-Swarm Optimization based MPPT technique for harvesting maximum energy from PV systems under partial shading conditions. Energy Convers. Manag. 2020, 209, 112625. [Google Scholar] [CrossRef]
- Xie, W.; Huang, G.; Zhang, X.; Deng, F. A Maximum Power Point Tracking Controller for Thermoelectric Generators. In Proceedings of the 2017 36th Chinese Control Conference (CCC), Dalian, China, 26–28 July 2017; IEEE: Piscataway, NJ, USA, 2017. [Google Scholar]
- Yang, B.; Wang, J.; Zhang, X.; Zhang, M.; Shu, H.; Li, S.; He, T.; Yang, L.; Yu, T. MPPT design of centralized thermoelectric generation system using adaptive compass search under non-uniform temperature distribution condition. Energy Convers. Manag. 2019, 199, 111991. [Google Scholar] [CrossRef]
- Zhang, X.; Tan, T.; Yang, B.; Wang, J.; Li, S.; He, T.; Yang, L.; Yu, T.; Sun, L. Greedy search based data-driven algorithm of centralized thermoelectric generation system under non-uniform temperature distribution. Appl. Energy 2020, 260, 114232. [Google Scholar] [CrossRef]
- Zhang, X.S.; Yang, B.; Yu, T.; Jiang, L. Dynamic Surrogate Model Based Optimization for MPPT of Centralized Thermoelectric Generation Systems under Heterogeneous Temperature Difference. IEEE Trans. Energy Convers. 2020, 35, 966–976. [Google Scholar] [CrossRef]
- Motiei, P.; Yaghoubi, M.; GoshtasbiRad, E. Transient simulation of a hybrid photovoltaic-thermoelectric system using a phase change material. Sustain. Energy Technol. Assess. 2019, 34, 200–213. [Google Scholar] [CrossRef]
- Omidi, B.; Rahbar, N.; Kargarsharifabad, H.; Rashidi, S. Combination of a solar collector and thermoelectric cooling modules in a humidification–dehumidification desalination system-experimental investigation with energy, exergy, exergoeconomic and environmental analysis. Energy Convers. Manag. 2020, 225, 113440. [Google Scholar] [CrossRef]
- Yedala, N.; Kaisare, N.S. Modeling of Thermal Integration of a Catalytic Microcombustor with a Thermoelectric for Power Generation Applications. Energy Fuels 2021, 35, 5141–5152. [Google Scholar] [CrossRef]
- Dalala, Z.M.; Zahid, Z.U. New MPPT Algorithm Based on Indirect Open Circuit Voltage and Short Circuit Current Detection for Thermoelectric Generators. In Proceedings of the 2015 IEEE Energy Conversion Congress and Exposition (ECCE), Montreal, QC, Canada, 20–24 September 2015; IEEE: Piscataway, NJ, USA, 2015. [Google Scholar]
- Avila, L.; De Paula, M.; Trimboli, M.; Carlucho, I. Deep reinforcement learning approach for MPPT control of partially shaded PV systems in Smart Grids. Appl. Soft Comput. 2020, 97, 106711. [Google Scholar] [CrossRef]
- Yuan, C.; Sadashivaiah, G.; Bechtold, T.; Rudnyi, E.B. Efficient Design Optimization of a Thermoelectric Generator by a Combination of Model Order Reduction and Thermal Submodeling Techniques. In Proceedings of the 33rd International ECMS Conference on Modelling and Simulation, Caserta, Italy, 11–14 June 2019; ECMS: Caserta, Italy, 2019. [Google Scholar]
- Zhang, H.; Yue, H.; Huang, J.; Liang, K.; Chen, H. Experimental studies on a low concentrating photovoltaic/thermal (LCPV/T) collector with a thermoelectric generator (TEG) module. Renew. Energy 2021, 171, 1026–1040. [Google Scholar] [CrossRef]
- Khan, M.K.; Zafar, M.H.; Rashid, S.; Mansoor, M.; Moosavi, S.K.R.; Sanfilippo, F. Improved Reptile Search Optimization Algorithm: Application on Regression and Classification Problems. Appl. Sci. 2023, 13, 945. [Google Scholar] [CrossRef]
- Mujeeb Khan, N.; Mansoor, M.; Moosavi, S.K.R.; Khan, K.; Qadir, Z.; Zafar, M.H. Machine Learning-Based Maximum Power Point Tracking Technique for Concentrated PV/TEG System Under Non-uniform Environmental Conditions. In Artificial Intelligence of Things for Smart Green Energy Management; Springer: Berlin/Heidelberg, Germany, 2022; pp. 81–101. [Google Scholar]
- Yang, B.; Wu, S.; Li, Q.; Yan, Y.; Li, D.; Luo, E.; Zeng, C.; Chen, Y.; Guo, Z.; Shu, H.; et al. Jellyfish search algorithm based optimal thermoelectric generation array reconfiguration under non-uniform temperature distribution condition. Renew. Energy 2023, 204, 197–217. [Google Scholar] [CrossRef]
- Li, J.; Amin, M.A.; Shi, J.; Cheng, L.; Lu, F.; Geng, B.; Liu, A.; Zhou, S. Energy Trading of Multiple Virtual Power Plants Using Deep Reinforcement Learning. In Proceedings of the 2021 International Conference on Power System Technology (POWERCON), Haikou, China, 8–9 December 2021; IEEE: Piscataway, NJ, USA, 2021. [Google Scholar]
- Zhou, W.; Yamamoto, K.; Miura, A.; Iguchi, R.; Miura, Y.; Uchida, K.-I.; Sakuraba, Y. Seebeck-driven transverse thermoelectric generation. Nat. Mater. 2021, 20, 463–467. [Google Scholar] [CrossRef]
- Eldesoukey, A.; Hassan, H. 3D model of thermoelectric generator (TEG) case study: Effect of flow regime on the TEG performance. Energy Convers. Manag. 2019, 180, 231–239. [Google Scholar] [CrossRef]
- Jiang, Y.; Wu, Q.; Zhu, S.; Zhang, L. Orca predation algorithm: A novel bio-inspired algorithm for global optimization problems. Expert Syst. Appl. 2022, 188, 116026. [Google Scholar] [CrossRef]
- Khan, M.K.; Zafar, M.H.; Mansoor, M.; Mirza, A.F.; Khan, U.A.; Khan, N.M. Green energy extraction for sustainable development: A novel MPPT technique for hybrid PV-TEG system. Sustain. Energy Technol. Assess. 2022, 53, 102388. [Google Scholar]
- Li, G.; Liu, Z.; Jiang, G.; Liu, H.; Xiong, H. Numerical simulation of the influence factors for rotary kiln in temperature field and stress field and the structure optimization. Adv. Mech. Eng. 2015, 7, 1687814015589667. [Google Scholar] [CrossRef]
- Zhou, Z.; Holland, P.; Igic, P. MPPT algorithm test on a photovoltaic emulating system constructed by a DC power supply and an indoor solar panel. Energy Convers. Manag. 2014, 85, 460–469. [Google Scholar] [CrossRef]





















| Tech. | GM Tracking Time(s) | GMPP (W) | Achieved Power (W) | Efficiency (%) | Energy (W.s) |
|---|---|---|---|---|---|
| GRNN-OPA | 0.065 | 665.3 | 665.1 | 99.96 | 342 |
| GRNN-HHO | 0.071 | 665.3 | 653.6 | 98.24 | 335 |
| GRNN-GWO | 0.086 | 665.3 | 648.4 | 97.45 | 328 |
| GRNN-PSO | 0.145 | 665.3 | 646.6 | 97.18 | 323 |
| Tech | GM Tracking Time(s) | GMPP (W) | Achieved Power (W) | Efficiency (%) | Energy (W.s) |
|---|---|---|---|---|---|
| GRNN-OPA | 0.069 | 342.4 | 342.1 | 99.91 | 641 |
| GRNN-HHO | 0.075 | 342.4 | 337.4 | 98.53 | 632 |
| GRNN-GWO | 0.089 | 342.4 | 332.9 | 97.22 | 628 |
| GRNN-PSO | 0.121 | 342.4 | 327.3 | 95.58 | 609 |
Disclaimer/Publisher’s Note: The statements, opinions and data contained in all publications are solely those of the individual author(s) and contributor(s) and not of MDPI and/or the editor(s). MDPI and/or the editor(s) disclaim responsibility for any injury to people or property resulting from any ideas, methods, instructions or products referred to in the content. |
© 2023 by the authors. Licensee MDPI, Basel, Switzerland. This article is an open access article distributed under the terms and conditions of the Creative Commons Attribution (CC BY) license (https://creativecommons.org/licenses/by/4.0/).
Share and Cite
Khan, N.M.; Ahmed, A.; Haider, S.K.; Zafar, M.H.; Mansoor, M.; Akhtar, N. Hybrid General Regression NN Model for Efficient Operation of Centralized TEG System under Non-Uniform Thermal Gradients. Electronics 2023, 12, 1688. https://doi.org/10.3390/electronics12071688
Khan NM, Ahmed A, Haider SK, Zafar MH, Mansoor M, Akhtar N. Hybrid General Regression NN Model for Efficient Operation of Centralized TEG System under Non-Uniform Thermal Gradients. Electronics. 2023; 12(7):1688. https://doi.org/10.3390/electronics12071688
Chicago/Turabian StyleKhan, Noman Mujeeb, Abbas Ahmed, Syed Kamran Haider, Muhammad Hamza Zafar, Majad Mansoor, and Naureen Akhtar. 2023. "Hybrid General Regression NN Model for Efficient Operation of Centralized TEG System under Non-Uniform Thermal Gradients" Electronics 12, no. 7: 1688. https://doi.org/10.3390/electronics12071688
APA StyleKhan, N. M., Ahmed, A., Haider, S. K., Zafar, M. H., Mansoor, M., & Akhtar, N. (2023). Hybrid General Regression NN Model for Efficient Operation of Centralized TEG System under Non-Uniform Thermal Gradients. Electronics, 12(7), 1688. https://doi.org/10.3390/electronics12071688
