Next Article in Journal
A Single-Tree Point Cloud Completion Approach of Feature Fusion for Agricultural Robots
Previous Article in Journal
A Lightweight Anomaly Detection System for Black Hole Attack
 
 
Font Type:
Arial Georgia Verdana
Font Size:
Aa Aa Aa
Line Spacing:
Column Width:
Background:
Article

Analysis on the Variation Laws of Electromagnetic Force Wave and Vibration Response of Squirrel-Cage Induction Motor under Rotor Eccentricity

National Engineering Research Center for Rare Earth Permanent Magnet Machine, Shenyang University of Technology, Shenyang 110870, China
*
Author to whom correspondence should be addressed.
Electronics 2023, 12(6), 1295; https://doi.org/10.3390/electronics12061295
Submission received: 5 February 2023 / Revised: 3 March 2023 / Accepted: 4 March 2023 / Published: 8 March 2023

Abstract

Aiming to address the rotor eccentricity problem caused by various factors, such as manufacturing, operation and the mass imbalance of the induction motor, the variation law of electromagnetic force wave and vibration response under rotor eccentricity during no-load operation is investigated. To begin with, on the basis of the air-gap permeability, the air-gap magnetic density components under static and dynamic eccentricity are analyzed by using the analytical method. The order and amplitude expressions of the radial electromagnetic force generated by the interaction of harmonics are obtained. Subsequently, a finite element model of the electromagnetic field was developed, and the space-time spectrum of the electromagnetic force was obtained by combining the 2D Fourier analysis. Finally, the electromagnetic force wave is used as a load to investigate the electromagnetic vibration response under different rotor eccentric forms. The effect of rotor eccentricity on the vibration response of the motor is quantitatively analyzed by using the spectral analysis method. The method of analyzing electromagnetic force wave and vibration response can also provide a reference for the same type of motor.

1. Introduction

The squirrel-cage induction motor is widely used in various applications, with the advantages of its simple structure, low price and reliable operation. With the attention paid to noise pollution in recent years, the demand for low-noise motors is increasing. The problem of motor vibration and noise has become one of the important indicators to evaluate motor performance [1,2,3].
During the manufacturing and operation of the motor, owing to the deformation of the rotating shaft, the wear of the bearing and the unbalance of the rotor mass, an air-gap eccentricity fault may occur between the stator and the rotor. When the eccentric fault occurs, the air-gap magnetic field will distort and generate additional harmonics. These additional harmonics will generate additional electromagnetic force waves after the interaction, which will increase the vibration and noise of the motor [4,5,6].
Many experts and scholars have conducted ample research on the electromagnetic vibration response of motors, focusing mainly on the analysis of the electromagnetic force wave, the natural frequency of the stator system and vibration characteristics [7,8,9,10].
The causes of the electromagnetic force wave of the induction motor are qualitatively analyzed in theory and quantitatively calculated and analyzed by using the analytical method [11,12]. Although the accuracy of the electromagnetic force wave calculated by analytical method is slightly poor, the finite element method has made great progress in order to improve the calculation accuracy. Regarding the electromagnetic force waves of the induction motor, the switched reluctance motor and the permanent magnet motor are calculated by using the finite element method (FEM) [13,14,15].
When the rotor has an eccentric fault, its electromagnetic force wave will have obvious characteristics in the frequency domain. Understanding this kind of frequency characteristic can be helpful in motor vibration diagnosis [16]. Although some studies have shown that rotor eccentricity has little effect on the average output torque of the motor, rotor eccentricity can have a significant effect on the radial electromagnetic force, which is worth investigating [17]. The air-gap magnetic density, electromagnetic force wave and vibration response of a permanent magnet synchronous servo motor under the conditions of static eccentricity, dynamic eccentricity and mixed eccentricity have already been analyzed in [18]. It was found that static eccentricity changed only the spatial order of radial electromagnetic force, while dynamic eccentricity changed both the spatial order of radial electromagnetic force and the frequency component, but the effect of rotor eccentricity has not been quantitatively analyzed.
This paper is organized as follows: First, the air-gap magnetic density components under static and dynamic eccentricity are analyzed on the basis of air-gap permeability, and the order and amplitude expressions of the electromagnetic force generated by the interaction of harmonics of different orders are obtained. Second, the time-step finite element method is applied, and combined with a 2D Fourier analysis, the space-time spectrum of the electromagnetic force is obtained. Finally, the electromagnetic vibration response under different eccentric forms is analyzed by using the modal superposition method with the electromagnetic force wave as the load. The effect of air-gap eccentricity on the electromagnetic vibration response of the motor is quantitatively analyzed by using the spectral analysis method.

2. Analytical Calculation of Electromagnetic Force Wave

2.1. Introduction of Eccentric Model

The rotor of the motor inevitably suffers from eccentricity because of the processing of, assembly of and imbalance in the rotor quality. This results in an uneven air gap, which in turn causes a distortion in the air-gap magnetic field and consequently to some extent deteriorates the performance indicators of the motor. Air-gap eccentricity is divided mainly into two basic types: static eccentricity (SE) and dynamic eccentricity (DE). Static eccentricity refers to when the rotor rotation center and the geometric center of the rotor (Or) coincide, but with the geometric center of the stator (Os) offset by a certain distance, which is mainly due to bearing wear and poor installation accuracy; dynamic eccentricity refers to when the rotor rotation center and the stator geometry center coincide but also when this is offset from the rotor geometry center, thus causing the minimum air-gap position to rotate with the motor rotation frequency. It can be seen that the main difference between static eccentricity and dynamic eccentricity is whether the center of the rotation of the rotor rotates around the geometric center of the stator or around the geometric center of the rotor. The schematic diagram of two eccentric forms is shown in Figure 1, ese is the static eccentricity distance, ede is the dynamic eccentricity distance, θ is the stator location angle, and ωr is the rotor rotation speed.

2.2. Magnetomotive Force of Stator and Rotor

When the stator winding is connected with three-phase symmetrical AC current, the expression of air-gap synthetic magnetomotive force (MMF) is [19]
f ( θ , t ) = f p ( θ , t ) + ν f ν ( θ , t ) + μ f μ ( θ , t )
where fp(θ,t) is the fundamental MMF; fν(θ,t) is the harmonic MMF generated by stator winding; fμ(θ,t) is the harmonic MMF generated by rotor winding; t is time; p is the number of pole pairs; and ν and μ are the harmonic pole pairs of the stator winding and the rotor winding, respectively.
The expressions for three kinds of MMF are as follows:
{ f p ( θ , t ) = F p cos ( p θ ω 1 t φ 0 ) f ν ( θ , t ) = F ν cos ( ν θ ω 1 t φ ν ) f μ ( θ , t ) = F μ cos ( μ θ ω μ t φ μ )
where Fp is the amplitude of the fundamental wave MMF; Fν is the amplitude of the harmonic wave MMF of the stator winding; Fμ is the amplitude of harmonic wave MMF of rotor winding; ω1 is the angular frequency of the fundamental wave MMF; ωμ is the angular frequency of the rotor μ-th order harmonic relative to the stator core; φ0, φν and φμ are the initial phase angles of each MMF.
The relationship between ω1 and ωμ can be expressed as
ω μ = ω 1 [ 1 + k 2 Z 2 p ( 1 s ) ]
where Z2 is the number of rotor slots; s is the slip ratio; and k2 is the nonzero integer.

2.3. Air-Gap Permeance

In order to analyze the permeance expression under the eccentric condition, the length of the air gap in the eccentric case needs to be analyzed. Without considering the effect of stator and rotor slotting, the length of the air gap with static and dynamic eccentricity can be expressed as [20,21]
{ g s e ( θ , t ) = g 0 ( 1 ε s e cos θ ) g d e ( θ , t ) = g 0 [ 1 ε d e cos ( θ ω r t ) ]
where g0 is the length of the air gap between stator and rotor without eccentricity; εse is the degree of static eccentricity; εde is the degree of dynamic eccentricity; and ωr is the rotor rotation speed.
Further, ωr can be expressed as follows:
ω r = ω 1 p ( 1 s ) = 2 π f 1 p ( 1 s ) = 2 π f r
where fr is the rotor rotation frequency.
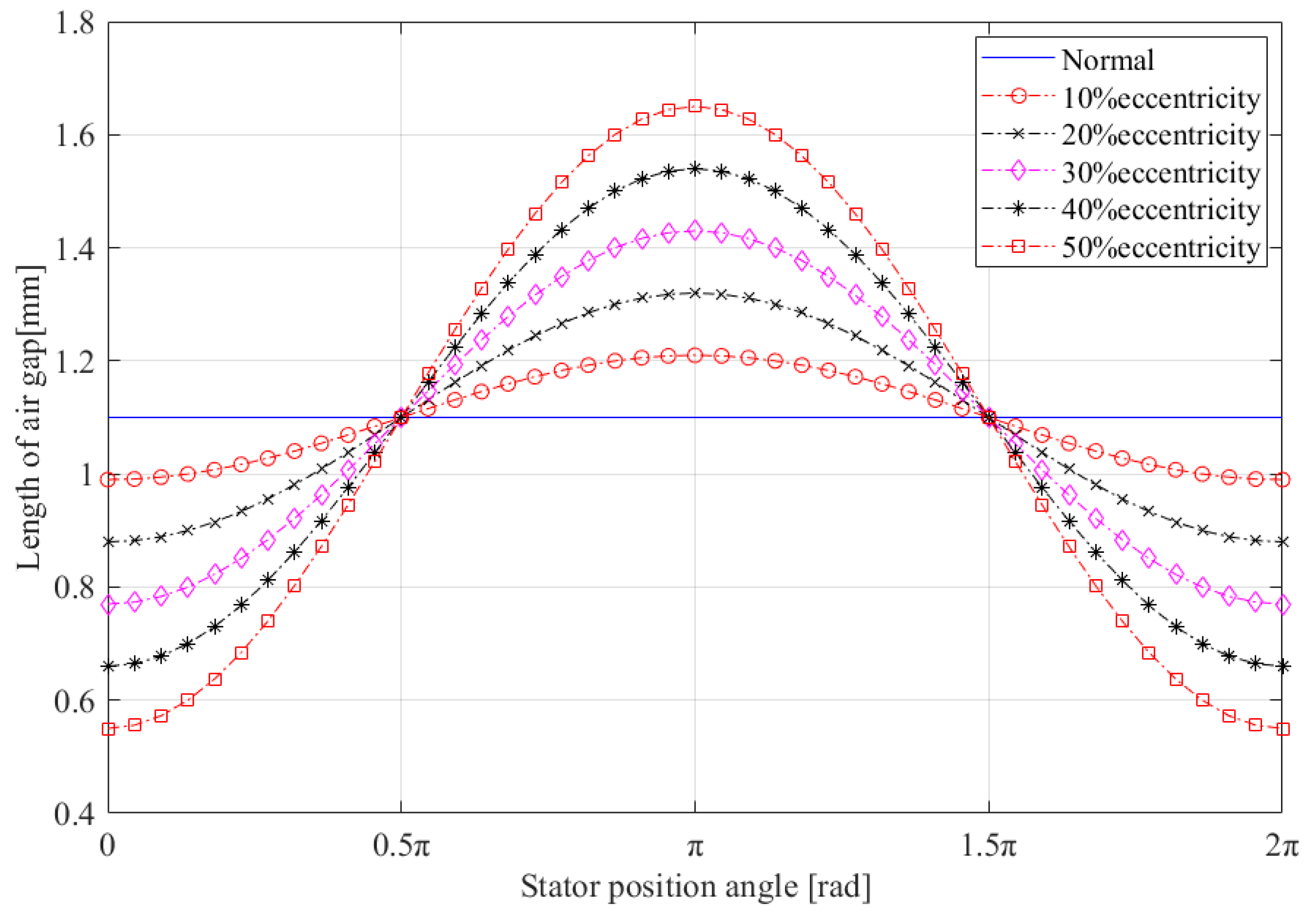
The variation of the air-gap length under static eccentricity is shown in Figure 2.
As can be seen in Figure 2, when the rotor is static eccentricity, in the (0, 0.5π) and (1.5π, 2π) regions, the air-gap length is less than that of the motor in normal operation, which makes the air-gap permeability greater than that of the motor during normal operation at these locations, and the same magnetic potential produces a greater magnetic density. As the eccentricity increases, the range of air-gap length variation also increases with it. When the eccentricity is 50%, the maximum air-gap length can reach 1.65 mm.
The degree of eccentricity is defined as follows:
{ ε s e = e s e g 0 × 100 % ε d e = e d e g 0 × 100 %
If only the influence of eccentricity is factored in, the expression of air-gap permeance is
{ λ s e ( θ , t ) = Λ 0 ( 1 + ε s cos θ ) λ d e ( θ , t ) = Λ 0 [ 1 + ε d cos ( θ ω r t ) ]
where Λ0 is the mean air-gap permeance.
Given the influence of stator and rotor slotting, the air-gap permeance will have a series of permeance harmonic components.
λ ( θ , t ) = Λ 0 + k 1 Λ k 1 cos k 1 Z 1 + k 2 Λ k 2 cos k 2 Z 2 ( θ 1 s p ω 1 t ) + k 3 Λ k 3 cos k 3 [ ( Z 1 Z 2 ) θ Z 2 p ( 1 s ) ω 1 t ]
where the 2nd term is the stator slot permeance; the 3rd term is rotor slot permeance; the 4th term is the permeance caused by the interaction between stator slotting and rotor slotting; and Z1 is the number of stator slots.
By summing Equations (7) and (8), the expression of the total magnetic permeance of the induction motor under static eccentricity and dynamic eccentricity is
{ λ s e ( θ , t ) = Λ 0 + Λ 0 ε s e cos θ + k 1 Λ k 1 cos k 1 Z 1 θ + k 2 Λ k 2 cos k 2 Z 2 ( θ 1 s p ω 1 t ) + k 3 Λ k 3 cos k 3 [ ( Z 1 Z 2 ) θ Z 2 p ( 1 s ) ω 1 t ] λ d e ( θ , t ) = Λ 0 + Λ 0 ε d e cos ( θ ω r t ) + k 1 Λ k 1 cos k 1 Z 1 + k 2 Λ k 2 cos k 2 Z 2 ( θ 1 s p ω 1 t ) + k 3 Λ k 3 cos k 3 [ ( Z 1 Z 2 ) θ Z 2 p ( 1 s ) ω 1 t ]

2.4. Air-Gap Permeance Magnetic Field

The expression of the harmonic magnetic field during the normal operation of the induction motor and the expression of the main additional harmonics caused by static eccentricity and dynamic eccentricity are shown in Equations (10)–(12) [22,23].
{ b 1 ( θ , t ) = B 1 cos ( p θ ω 1 t φ 0 ) b ν ( θ , t ) = ν Z B ν cos ( ν θ ω 1 t φ ν ) b μ ( θ , t ) = μ Z B μ Z cos ( μ θ ω μ t φ μ )
{ b 1 s e ( θ , t ) = B 1 ε s e 2 cos [ ( p ± 1 ) θ ω 1 t φ 0 ] b ν s e ( θ , t ) = ν Z B ν ε s e 2 cos [ ( ν ± 1 ) θ ω 1 t φ ν ] b μ s e ( θ , t ) = μ Z B μ Z ε s e 2 cos [ ( μ ± 1 ) θ ω μ t φ μ ) ]
{ b 1 d e ( θ , t ) = B 1 ε de 2 cos [ ( p ± 1 ) θ ( ω 1 ± ω r ) t φ 0 ] b ν d e ( θ , t ) = ν Z B ν ε de 2 cos [ ( ν ± 1 ) θ ( ω 1 ± ω r ) t φ ν ] b μ d e ( θ , t ) = μ Z B μ Z ε de 2 cos [ ( μ ± 1 ) θ ( ω μ ± ω r ) t φ μ ) ]
where B1 is the amplitude of the fundamental wave magnetic field; Bν is the amplitude of the stator harmonic wave magnetic field; and Bμ is the amplitude of the rotor harmonic wave magnetic field.
It can be seen from Equations (10)–(12) that when the motor is eccentric, in addition to the magnetic field generated during normal operation, additional magnetic fields are generated, and the order of additional magnetic fields are p ± 1, ν ± 1 and μ ± 1. The increased frequency of rotor dynamic eccentricity is ω1 ± ωr and ωμ ± 1ωr. The amplitude of the additional magnetic field increases with an increasing level of eccentricity.

2.5. Electromagnetic Force Wave

There are many stator and rotor magnetic fields in the air gap, which interact to produce a large number of electromagnetic force waves. According to the Maxwell tensor method, the electromagnetic force wave is proportional to the square of the magnetic flux density, which can be expressed as
p ( θ , t ) = b 2 ( θ , t ) 2 μ 0
where μ0 is the permeability of a vacuum.
The force wave generated by the fundamental magnetic field is
p ( θ , t ) = 1 2 μ 0 [ B 1 cos ( p θ ω 1 t φ 0 ) + ν Z B ν cos ( ν θ ω 1 t φ ν ) + μ Z B μ Z cos ( μ θ ω μ t φ μ ) ] 2
Because the force wave with a low vibration order and a large amplitude plays a major role in the vibration and noise of the motor, the force wave component with a high vibration order and a small amplitude can be omitted, and the constant component that will not produce a vibration response can be omitted. Thus, Equation (15) can be rewritten as
p ( θ , t ) = 1 2 μ 0 { B 1 2 2 cos ( 2 p θ 2 ω 1 t φ 0 ) + ν Z μ Z B μ Z B ν Z cos [ ( μ ± ν ) θ ( ω μ ± ω 1 ) t ( φ μ ± φ ν ) ] }
The components of an electromagnetic force wave during normal operation are shown in Table 1.
In Table 1, order number 1 is the double-frequency electromagnetic force generated by the fundamental magnetic field; order numbers 2, 3 and 4 comprise the electromagnetic force generated by the interaction of stator and rotor harmonic magnetic field.
The expression of the electromagnetic force wave under a static eccentric condition is
p s e ( θ , t ) = 1 2 μ 0 { B 1 2 2 cos ( 2 p 2 ω 1 t 2 φ 1 ) + B 1 2 ε s e 2 cos [ ( p ± ( p ± 1 ) ) θ ( ω 1 ± ω 1 ) t ( φ 1 ± φ 1 ) ] + ν μ B μ B ν cos [ ( ν ± ( μ ± 1 ) ) θ ( ω 1 ± ω r ) t ( φ ν ± φ μ ) ] + ν μ B μ B ν cos [ ( μ ± ( ν ± 1 ) ) θ ( ω 1 ± ω r ) t ( φ ν ± φ μ ) ] }
The components of electromagnetic force wave under static eccentricity are shown in Table 2.
As can be seen from Table 2 that when static eccentricity occurs, the variation rule of electromagnetic force wave order increases ±1 time on the basis of normal operating conditions; the variation rule of frequency is that the other frequencies remain unchanged—except for the main wave, which becomes 0 Hz. The expression of the electromagnetic force wave under a dynamic eccentric condition is
p d e ( θ , t ) = 1 2 μ 0 { B 1 2 2 cos ( 2 p 2 ω 1 t 2 φ 1 ) + B 1 2 ε d e 2 cos [ ( p ± ( p ± 1 ) ) θ ( ω 1 ± ( ω 1 ± ω r ) ) t ( φ 1 ± φ 1 ) ] + ν μ B μ B ν cos [ ( ν ± ( μ ± 1 ) ) θ ( ω 1 ± ( ω r ± ω r ) ) t ( φ ν ± φ μ ) ] + ν μ B μ B ν cos [ ( μ ± ( ν ± 1 ) ) θ ( ω r ± ( ω 1 ± ω r ) ) t ( φ ν ± φ μ ) ] }
The components of the electromagnetic force wave under dynamic eccentricity are shown in Table 3.
From Table 3, it can be observed that when the rotor has dynamic eccentricity, the electromagnetic force wave order appears with ±1 order components, in comparison with the original order, which is consistent with the change law of static eccentricity; furthermore, the rotor dynamic eccentricity will cause the frequency of the force wave of that order to increase by ±fr, relative to the original order.

3. Simulation Results and Analysis of Electromagnetic Force Wave

There are two main methods to calculate the electromagnetic force wave: the analytical method and the finite element method. The analytical method can obtain the order and frequency of the electromagnetic force wave, while the FEM considers the saturation effect and nonlinearity of the magnetic circuit. Therefore, the FEM is used more in the calculation process. A squirrel-cage induction motor is taking as an example, and the parameters are shown in Table 4. The time-stepping FEM is used to solve the radial electromagnetic force wave.
The exact dimensions of the stator slots and the rotor slots are shown in Figure 3 and Figure 4, respectively.
In order to facilitate calculation, the following assumptions are made when establishing the finite element simulation calculation model of the induction motor: (1) Owing to the long axial length of the motor, the influence of the end effect is ignored. (2) The plane of the magnetic circuit is orthogonal to the axial direction of the motor. (3) Without including the external magnetic field, the circumference of the outer diameter of the motor stator is a zero-vector magnetic potential line.
The 2D finite element electromagnetic field simulation models established in ANSYS EM for normal and eccentric conditions are shown in Figure 5.

3.1. Torque and Current

Because the air-gap length is 1.1 mm, 30% eccentricity means that the maximum air-gap length is 1.43 mm and the minimum air-gap length is 0.77 mm.
When the motor is running under the no-load condition (s ≈ 0), the speed is approximated to be 3000 r/min. The torque values under normal operation, under 30% static eccentricity and under 30% dynamic eccentricity are shown in Figure 6.
It can be seen from Figure 6 that when the motor is eccentric, the no-load torque will also increase, and the peak no-load torque under dynamic eccentricity is greater than that under static eccentricity.
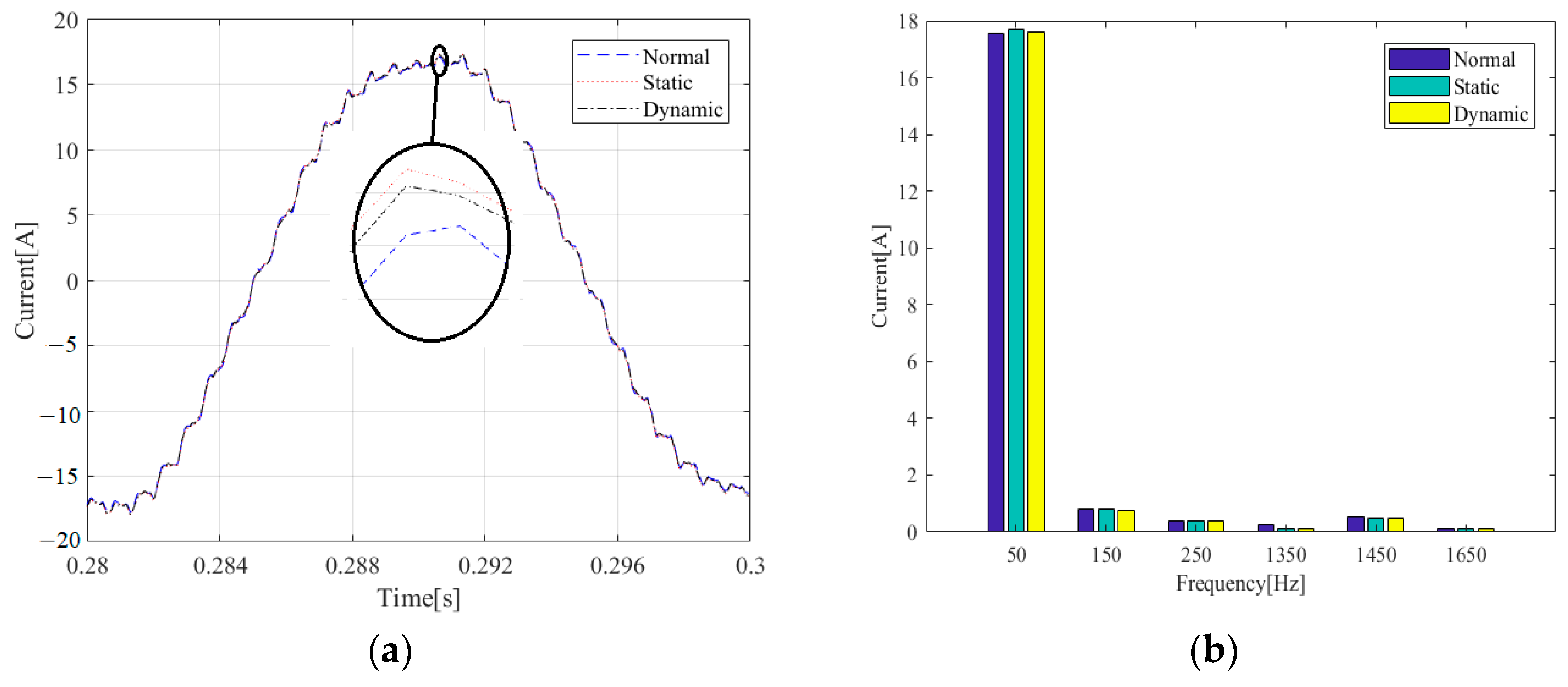
A comparison of the current waveform and the spectrum under three operating conditions is shown in Figure 7.
As can be seen in Figure 7, the no-load current amplitude also changes when an eccentricity fault occurs.

3.2. Air-Gap Magnetic Flux Density and Electromagnetic Force Wave

3.2.1. Air-Gap Magnetic Flux Density

The magnetic field line distribution and the magnetic density diagram of the motor under no-load operation (t = 0.3 s) are shown in Figure 8.
From Figure 8a, it can be seen that the magnetic lines enter the stator teeth mainly in the radial direction and that the circumferential flux exists at the two boundaries of the stator teeth in opposite directions; from Figure 8b, it can be seen that the magnetic flux density in the stator teeth of the motor is the largest, and the stator teeth are the main force parts in the radial direction.
The distribution of the magnetic line and the magnetic density diagram of the motor under static and dynamic eccentric conditions are shown in Figure 9 and Figure 10.
From Figure 9 and Figure 10, it can be seen that when the rotor suffers an eccentricity failure, compared with the normal working condition, the change in the air-gap length to a certain extent shifts the distribution of the magnetic force lines; in addition, the magnetic density of some stator teeth will be elevated, and the change caused by dynamic eccentricity is greater than that of static eccentricity in the state of equal eccentricity.
The air-gap magnetic flux density waveforms and frequency spectrum for the three operating conditions are shown in Figure 11.
As can be seen from Figure 11, under static and dynamic eccentricity, the magnetic flux density amplitude at the larger air gap of the motor is significantly smaller than that at the smaller air gap, which will cause a unilateral magnetic pull on the motor; the direction of the magnetic pull is along the direction that makes the eccentricity increase; and a new order will be added to the spectrum.

3.2.2. Electromagnetic Force Wave

A 2D Fourier analysis is carried out on the number, frequency and amplitude of the force wave.
Generally, the lower the order of the electromagnetic force, the greater the distance between two adjacent nodes when the stator core is bent and deformed and also the greater the vibration and noise caused. In the core vibration, the amplitude of the deformation is inversely proportional to the fourth power of the order [24]:
Δ d 1 r 4
where Δd is the amplitude of the deformation.
The space-time spectrum of the electromagnetic force wave of the motor under the three operating conditions is shown in Figure 10, Figure 11 and Figure 12. The detailed force wave frequency, order and amplitude are shown in the Appendix A.
As can be seen in Figure 12, the order of the electromagnetic force wave is mainly 0, ±2 and ±4 (negative signs have no real meaning here) when the motor is operating under normal working conditions, and the main force wave frequencies are 1300 Hz, 1400 Hz, 1500 Hz, 5500 Hz, 5600 Hz, 5700 Hz, 7000 Hz, 7100 Hz, etc.
For Figure 13, it is shown that when the rotor has a static eccentricity fault, the electromagnetic force wave will appear in the order of ±1 and ±3 force wave components, without generating force waves of new frequencies, such as (1, 1400 Hz), (1, 7100 Hz), (−1, 5500 Hz), (3, 7000 Hz) and (−3, 5600 Hz).
In Figure 14, when the rotor has a dynamic eccentricity fault, the electromagnetic force wave will not only have ±1 and ±3 force wave components but also produce force waves at new frequencies, such as (1, 1450 Hz), (1, 7150 Hz), (−1, 5450 Hz), (3, 1350 Hz), (3, 7050 Hz), (−3, 5550 Hz), etc. Furthermore, the amplitude of the force wave components will significantly increase, indicating that the dynamic eccentricity has a greater effect on the electromagnetic force wave than the static eccentricity has.

4. Calculation and Analysis of Electromagnetic Vibration Response

A 3D structural model that includes the stator, winding, frame, front end cover and rear end cover is shown in Figure 15. An exploded view is shown in Figure 16.
The vibration at any point in the motor is the result of the joint action of multiple excitation sources. The sum of the vibration acceleration levels at this point is not the algebraic sum of the acceleration levels of each excitation source, which can be calculated as
L a t = 10 log 10 i = 1 n 10 0.1 L i
where Li is the vibration acceleration level of each excitation source and n is the number of excitation sources.

4.1. Simulation Results of Vibration Response

The vibration acceleration magnitude of the main frequency under three operation conditions is shown in Figure 17.
From Figure 17, the frequency of the vibration acceleration of the motor during normal operation is consistent with the frequency of the electromagnetic force. Except for the vibration acceleration amplitude of 100 Hz, the frequency with the largest vibration acceleration amplitude is 5600 Hz, followed by 1300 Hz, 1400 Hz, 5500 Hz, 7000 Hz, etc.; when the rotor has a static eccentricity fault, the motor does not produce a new vibration frequency, but the vibration acceleration amplitude increases at almost all frequencies; and when the rotor has a dynamic eccentricity failure, the amplitude of vibration acceleration increases at almost all frequencies. In addition, new vibration frequencies, such as 1350 Hz, 1450 Hz, 5550 Hz, 5650 Hz, 6950 Hz, 7050 Hz, etc., will be generated, and these frequencies will also to a certain extent increase the vibration amplitude of the motor.

4.2. Comparison of Vibration Response under Different Eccentricities

4.2.1. Effect of Different Rotor Static Eccentricities on Motor Vibration Response

A comparison of the electromagnetic vibration magnitude of the motor under different static eccentricity is shown in Figure 18.
As can be seen in Figure 18, the vibration magnitude at the main electromagnetic vibration frequencies all increase with the increase in eccentricity. Among them, the vibration amplitude at 1500 Hz has the largest change in amplitude.
The first-order and third-order radial force waves are formed after adding or subtracting the first-order radial force waves with the corresponding frequencies of 1400 Hz, 5600 Hz and 7100 Hz from the spatial order; the original fourth-order radial force waves, with corresponding frequencies of 1300 Hz and 7000 Hz, form third-order and fifth-order radial force waves after adding or subtracting one order from the spatial order; and the original radial force waves, with corresponding frequencies of 1500 Hz and 6900 Hz of the sixth order in space, form the fifth- and seventh-order radial force waves after adding and subtracting the first order from the spatial order. These increased force wave orders are closer to the modal frequency of the stator core, so the electromagnetic vibration response increases here.

4.2.2. Effect of Different Rotor Dynamic Eccentricities on Motor Vibration Response

A comparison of the electromagnetic vibration magnitude of the motor under different dynamic eccentricities is shown in Figure 19.
As can be seen in Figure 19, when the motor has a dynamic eccentricity fault, the vibration magnitude increases with the increase of eccentricity. In addition to the previous vibration frequencies, the frequencies of 150 Hz, 1350 Hz, 5550 Hz and 7050 Hz are added.
Different from static eccentricity, dynamic eccentricity adds mainly the first-order force wave, with a frequency of 5650 Hz; the third-order force waves, with a frequency of 5550 Hz and 7050 Hz; and the fifth-order force wave, with a frequency of 6950 Hz on the basis of the original spatial force wave. These increased force wave orders are closer to the modal frequency of the stator core, so the electromagnetic vibration response increases here.
Because the air-gap length distribution under static eccentricity has a certain tendency, while the dynamic eccentricity has no tendency because the average air-gap length of each position is the same over a period of time, the total value of the electromagnetic vibration response under static eccentricity is higher than that under dynamic eccentricity.

5. Conclusions

In this paper, the electromagnetic force waves and vibration response under air-gap eccentricity are calculated by using the analytical method and the FEM. The influence of air-gap eccentricity on the electromagnetic force wave and the vibration response of the induction motor is quantitatively analyzed, and the influence of different eccentricity forms on the electromagnetic vibration response is explained. The following conclusions are obtained:
(1)
Both static and dynamic eccentricity will produce new radial electromagnetic force waves. After adding the static eccentricity of the motor, the change law of the order of the newly added electromagnetic force wave is ± 1 according to the order of the force wave under normal operation; when the motor has dynamic eccentricity, it will not only increase the order of electromagnetic force wave but also produce some new frequency. The change law of frequency is that the frequency component of ±fr is added on the basis of normal operation frequency.
(2)
The vibration acceleration magnitude of static and dynamic eccentricity at the main vibration frequency will increase with an increase in eccentricity. From the perspective of the total vibration level, under the same eccentricity, the total vibration level of rotor static eccentricity is greater than that of rotor dynamic eccentricity, which is mainly because the air-gap length distribution under static eccentricity has a certain tendency, while the dynamic eccentricity has no tendency because the average value of the air-gap length at each position is the same over a period of time.
In future work, the problem of rotor eccentricity will continue to be studied, focusing mainly on researching the electromagnetic force wave and the electromagnetic vibration response under the load condition and with a rotor slot. On the basis of the no-load operation condition, the influence of different load conditions on electromagnetic force wave and vibration response is studied, and the 2D multislice method is constructed to carry out the research on the skewed slot rotor structure.

Author Contributions

Conceptualization, J.D. and Y.L.; methodology, J.D.; software, J.D.; validation, J.D.; formal analysis, J.D.; investigation, J.D.; resources, J.D.; data curation, J.D.; writing, J.D.; visualization, J.D.; supervision, J.D.; project administration, J.D. All authors have read and agreed to the published version of the manuscript.

Funding

This research received no external funding.

Data Availability Statement

The data used to support the findings of this study are included in the article.

Conflicts of Interest

The authors declare no potential conflicts of interest concerning the research, authorship or publication of this article.

Appendix A

The frequency, order and amplitude of the electromagnetic force wave under three operating conditions are shown in Table A1, Table A2, Table A3 and Table A4.
Table A1. Frequency, order and amplitude of electromagnetic force wave under normal operating conditions.
Table A1. Frequency, order and amplitude of electromagnetic force wave under normal operating conditions.
1300 Hz1400 Hz1500 Hz2900 Hz4100 Hz5500 Hz5600 Hz5700 Hz6900 Hz7000 Hz7100 Hz
r = −4 14.66 4.8310.01 27.13 3.19
r = −25.296 24.09 8.47
r = 0 17.57 11.316.88
r = 2 20.02 9.25 14.02 20.47
r = 416.33 10.6 24.15
Table A2. Frequency, order and amplitude of electromagnetic force wave under 30% static eccentricity operating conditions.
Table A2. Frequency, order and amplitude of electromagnetic force wave under 30% static eccentricity operating conditions.
1300 Hz1400 Hz1500 Hz2900 Hz4100 Hz5500 Hz5600 Hz5700 Hz6900 Hz7000 Hz7100 Hz
r = −4 15.355.624.8711.0115.227.8714.99 3.43
r = −3 11.223.69 7.3820.8723.858.73 4.17
r = −26.016.118.55 24.8518.15 8.93
r = −1 5.6014.18 20.8711.898.312.944.534.02
r = 0 11.0318.29 15.28.0412.097.44 10.73
r = 1 16.6714.36.86 8.9511.18.14 8.0316.74
r = 27.3820.7510.419.91 4.9214.82 14.6221.07
r = 313.0316.7813.175.71 7.7710.91 5.7520.5416.74
r = 417.0712.7619.23 11.425.31 12.2624.7810.75
Table A3. Frequency, order and amplitude of electromagnetic force wave under 30% dynamic eccentricity operating conditions (1300–4100 Hz).
Table A3. Frequency, order and amplitude of electromagnetic force wave under 30% dynamic eccentricity operating conditions (1300–4100 Hz).
1300 Hz1350 Hz1400 Hz1450 Hz1500 Hz1550 Hz2900 Hz4050 Hz4100 Hz
r = −4 15.79 4.85 12.17
r = −3 11.87 8.03
r = −28.82
r = −1 14.63
r = 0 19.03
r = 1 18.68
r = 2 21.28 10.41
r = 3 18.33
r = 418.04
Table A4. Frequency, order and amplitude of electromagnetic force wave under 30% dynamic eccentricity operating conditions (5450–7150 Hz).
Table A4. Frequency, order and amplitude of electromagnetic force wave under 30% dynamic eccentricity operating conditions (5450–7150 Hz).
5450 Hz5500 Hz5550 Hz5600 Hz5650 Hz5700 Hz5750 Hz6900 Hz6950 Hz7000 Hz7050 Hz7100 Hz7150 Hz
r = −4 28.3 4.41
r = −3 25.7
r = −2 25.7 9.19
r = −121.37 8.62 6.59
r = 0 12.92 7.84
r = 1 12.82 17.28
r = 2 15.26 21.96
r = 3 12.64 22.14
r = 4 12.37 25.17

References

  1. Zhou, G.Y.; Shen, J.X. Rotor notching for electromagnetic noise reduction of induction motors. IEEE Trans. Ind. Appl. 2017, 53, 3361–3370. [Google Scholar] [CrossRef]
  2. Du, J.M.; Li, Y.; Yu, Z.Y.; Wang, Z.Z. Research on radial electromagnetic force and vibration response characteristics of squirrel-cage induction motor fed by PWM inverter. IEEE Trans. Appl. Supercond. 2021, 31, 1–4. [Google Scholar] [CrossRef]
  3. Lee, H.J.; Im, S.H.; Um, D.Y.; Park, G.S. A design of rotor bar for improving starting torque by analyzing rotor resistance and reactance in squirrel cage induction motor. IEEE Trans. Magn. 2018, 54, 1–4. [Google Scholar] [CrossRef]
  4. Wu, Q.S.; Li, W.; Li, J.; Feng, G.H.; Zhang, B.Y. Research on electromagnetic and structural characteristics of canned electric-actuated valve permanent magnet synchronous motor under eccentricity. IEEJ Trans. Electr. Electron. Eng. 2022, 17, 1176–1197. [Google Scholar] [CrossRef]
  5. Li, J.T.; Liu, Z.J.; Nay, L.H.A. Effect of radial magnetic forces in permanent magnet motors with rotor eccentricity. IEEE Trans. Magn. 2007, 43, 2525–2527. [Google Scholar] [CrossRef]
  6. Kim, D.; Noh, M.D.; Park, Y.W. Unbalanced magnetic forces due to rotor eccentricity in a toroidally wound BLDC motor. IEEE Trans. Magn. 2016, 52, 1–4. [Google Scholar] [CrossRef]
  7. Zhang, Q.; Jia, Z.; Cheng, S.; Wang, D. Analysis and calculation of radical electromagnetic force of circular winding brushless DC motor. IEEE Trans. Ind. Electron. 2020, 67, 4338–4349. [Google Scholar]
  8. Hu, S.; Zuo, S.; Wu, H.; Liu, M. An analytical method for calculating the natural frequencies of a motor considering orthotropic material parameters. IEEE Trans. Ind. Electron. 2019, 66, 7250–7528. [Google Scholar] [CrossRef]
  9. Hong, J.; Wang, S.; Sun, Y.; Cao, H. A method of modal parameter estimation of the motor based on electromagnetic vibration exciter. IEEE Trans. Ind. Appl. 2020, 56, 2636–2643. [Google Scholar] [CrossRef]
  10. Cho, S.; Hwang, J.; Kim, C.W. A study on vibration characteristics of brushless DC motor by electromagnetic-structural coupled analysis using entire finite element model. IEEE Trans. Energy Convers. 2018, 33, 1712–1718. [Google Scholar] [CrossRef]
  11. Verma, S.P.; Balan, A. Determination of radial-forces in relation to noise and vibration problems of squirrel-cage induction motors. IEEE Trans. Energy Convers. 1994, 9, 404–412. [Google Scholar] [CrossRef]
  12. Besnerais, J.L.; Lanfranchi, V.; Hecquet, M.; Friedrich, G.; Brochet, P. Characterisation of radial vibration force and vibration behaviour of a pulse-width modulation-fed fractional-slot induction machine. IET Electr. Power Appl. 2009, 3, 197–208. [Google Scholar] [CrossRef]
  13. Haisen, Z.; Yilong, W.; Yuhan, W.; Yang, Z.; Guorui, X. Loss and air-gap force analysis of cage induction motors with non-skewed asymmetrical rotor bars based on FEM. IEEE Trans. Magn. 2017, 53, 1–4. [Google Scholar] [CrossRef]
  14. Wang, Z.; Gao, X.; Deng, Z.; Li, K. Modeling and Characteristic Investigation of Axial Reluctance Force for Bearingless Switched Reluctance Motor. IEEE Trans. Ind. Appl. 2021, 57, 5215–5226. [Google Scholar] [CrossRef]
  15. Chai, F.; Li, Y.; Pei, Y.; Yu, Y. Analysis of radial vibration caused by magnetic force and torque pulsation in interior permanent magnet synchronous motors considering air-gap deformations. IEEE Trans. Ind. Electron. 2019, 66, 6703–6714. [Google Scholar] [CrossRef]
  16. Kim, U.; Lieu, D.K. Effects of Magnetically induced vibration force in brushless permanent-magnet motors. IEEE Trans. Magn. 2017, 41, 2164–2172. [Google Scholar] [CrossRef]
  17. Schlensok, S.; Henneberger, G. Calculation of force excitations in induction machines with centric and excentric positioned rotor using 2D transient FEM. IEEE Trans. Magn. 2004, 40, 782–785. [Google Scholar] [CrossRef]
  18. Jia, S.; Qu, R.; Li, J.; Fu, Z.; Chen, H.; Wu, L. Analysis of FSCW SPM servo motor with static, dynamic and mixed Eccentricity in aspects of radial force and vibration. In Proceedings of the 2014 IEEE Energy Conversion Congress and Exposition (ECCE), Pittsburgh, PA, USA, 14–18 September 2014; pp. 1745–1753. [Google Scholar]
  19. He, Y.L.; Liu, X.A.; Xu, M.X.; Zhang, W.; Zheng, W.J.; Dai, D.R.; Tang, G.J.; Wang, S.T.; David, G. Analysis of the characteristics of stator circulating current inside parallel branches in DFIGs considering static and dynamic air-gap eccentricity. Energies 2022, 15, 6152. [Google Scholar] [CrossRef]
  20. Dorrell, D.G.; Thomson, W.T.; Roach, S. Analysis of air-gap flux, current, and vibration signals as a function of the combination of static and dynamic air-gap eccentricity in 3-phase induction motors. IEEE Trans. Ind. Appl. 1997, 31, 24–34. [Google Scholar] [CrossRef]
  21. Faiz, J.; Ardekanei, I.T.; Toliyat, H.A. An evaluation of inductances of a squirrel-cage induction motor under mixed eccentric conditions. IEEE Trans. Energy Convers. 2003, 18, 252–258. [Google Scholar] [CrossRef]
  22. Mirzaeva, G.; Saad, K.I. Advanced diagnosis of stator turn-to-turn faults and static eccentricity in induction motors based on internal flux measurement. IEEE Trans. Ind. Appl. 2018, 54, 3961–3970. [Google Scholar] [CrossRef]
  23. Mirzaeva, G.; Saad, K.I. Advanced diagnosis of rotor faults and eccentricity in induction motors based on internal flux measurement. IEEE Trans. Ind. Appl. 2018, 54, 2981–2991. [Google Scholar] [CrossRef]
  24. Tsivitse, P.J.; Weihsmann, P.R. Polyphase induction motor noise. IEEE Trans. Ind. Gen. Appl. 1971, 7, 339–358. [Google Scholar] [CrossRef]
Figure 1. Schematic diagram of air-gap eccentricity: (a) static eccentricity; (b) dynamic eccentricity.
Figure 1. Schematic diagram of air-gap eccentricity: (a) static eccentricity; (b) dynamic eccentricity.
Electronics 12 01295 g001
Figure 2. Variation of the air-gap length under static eccentricity.
Figure 2. Variation of the air-gap length under static eccentricity.
Electronics 12 01295 g002
Figure 3. Dimensions of the stator slots.
Figure 3. Dimensions of the stator slots.
Electronics 12 01295 g003
Figure 4. Dimensions of the rotor slots.
Figure 4. Dimensions of the rotor slots.
Electronics 12 01295 g004
Figure 5. 2D finite element electromagnetic field simulation models: (a) normal operation condition; (b) eccentric operation condition.
Figure 5. 2D finite element electromagnetic field simulation models: (a) normal operation condition; (b) eccentric operation condition.
Electronics 12 01295 g005
Figure 6. Comparison of no-load torque under three operating conditions.
Figure 6. Comparison of no-load torque under three operating conditions.
Electronics 12 01295 g006
Figure 7. Comparison of current waveform and spectrum under three operating conditions: (a) current waveform; (b) current spectrum.
Figure 7. Comparison of current waveform and spectrum under three operating conditions: (a) current waveform; (b) current spectrum.
Electronics 12 01295 g007
Figure 8. The magnetic lines distribution and the magnetic density diagram of the motor during normal operation: (a) magnetic lines distribution; (b) magnetic density diagram.
Figure 8. The magnetic lines distribution and the magnetic density diagram of the motor during normal operation: (a) magnetic lines distribution; (b) magnetic density diagram.
Electronics 12 01295 g008
Figure 9. The magnetic lines distribution and magnetic density diagram of the motor under static eccentric conditions: (a) magnetic lines distribution; (b) magnetic density diagram.
Figure 9. The magnetic lines distribution and magnetic density diagram of the motor under static eccentric conditions: (a) magnetic lines distribution; (b) magnetic density diagram.
Electronics 12 01295 g009
Figure 10. The magnetic lines distribution and the magnetic density diagram of the motor under dynamic eccentric conditions: (a) magnetic lines distribution; (b) magnetic density diagram.
Figure 10. The magnetic lines distribution and the magnetic density diagram of the motor under dynamic eccentric conditions: (a) magnetic lines distribution; (b) magnetic density diagram.
Electronics 12 01295 g010
Figure 11. Air-gap magnetic flux density waveforms and frequency spectrum for the three operating conditions: (a) waveforms; (b) frequency spectrum.
Figure 11. Air-gap magnetic flux density waveforms and frequency spectrum for the three operating conditions: (a) waveforms; (b) frequency spectrum.
Electronics 12 01295 g011
Figure 12. Space-time spectrum of electromagnetic force wave of the motor under normal operating conditions.
Figure 12. Space-time spectrum of electromagnetic force wave of the motor under normal operating conditions.
Electronics 12 01295 g012
Figure 13. Space-time spectrum of electromagnetic force wave of the motor under 30% static eccentricity conditions: (a) space-time spectrum; (b) order–magnitude correspondence.
Figure 13. Space-time spectrum of electromagnetic force wave of the motor under 30% static eccentricity conditions: (a) space-time spectrum; (b) order–magnitude correspondence.
Electronics 12 01295 g013
Figure 14. Space-time spectrum of electromagnetic force wave of the motor under 30% dynamic eccentricity conditions: (a) space-time spectrum; (b) frequency–magnitude correspondence.
Figure 14. Space-time spectrum of electromagnetic force wave of the motor under 30% dynamic eccentricity conditions: (a) space-time spectrum; (b) frequency–magnitude correspondence.
Electronics 12 01295 g014
Figure 15. 3D structure model of a motor.
Figure 15. 3D structure model of a motor.
Electronics 12 01295 g015
Figure 16. Exploded view.
Figure 16. Exploded view.
Electronics 12 01295 g016
Figure 17. Vibration acceleration magnitude of the main frequency under three operation conditions.
Figure 17. Vibration acceleration magnitude of the main frequency under three operation conditions.
Electronics 12 01295 g017
Figure 18. Different degree of static eccentricities on motor vibration response.
Figure 18. Different degree of static eccentricities on motor vibration response.
Electronics 12 01295 g018
Figure 19. Different rotor dynamic eccentricities on motor vibration response.
Figure 19. Different rotor dynamic eccentricities on motor vibration response.
Electronics 12 01295 g019
Table 1. Components of electromagnetic wave under normal operation.
Table 1. Components of electromagnetic wave under normal operation.
OrderFrequency
12p2f1
2k1Z1k2Z2k2Z2fr
32p + k1Z1k2Z22f1k2Z2fr
42pk1Z1k2Z22f1 + k2Z2fr
Table 2. Components of electromagnetic wave under static eccentricity.
Table 2. Components of electromagnetic wave under static eccentricity.
OrderFrequency
1±10
2k1Z1k2Z2 ± 1k2Z2fr
32p + k1Z1k2Z2 ± 12f1k2Z2fr
42pk1Z1k2Z2 ± 12f1 + k2Z2fr
Table 3. Electromagnetic wave under dynamic eccentricity.
Table 3. Electromagnetic wave under dynamic eccentricity.
OrderFrequency
1±1±fr
2k1Z1k2Z2 ± 1k2Z2fr ± fr
32p + k1Z1k2Z2 ± 12f1k2Z2fr ± fr
42pk1Z1k2Z2 ± 12f1 + k2Z2fr ± fr
Table 4. Prototype parameters.
Table 4. Prototype parameters.
ParameterValues (Units)
Rate power45 kW
Rate voltage380 V
Number of stator slots36
Number of rotor slots28
Stator diameter368 mm
Air-gap length1.1 mm
Core length220 mm
Rate speed2968 r/min
Disclaimer/Publisher’s Note: The statements, opinions and data contained in all publications are solely those of the individual author(s) and contributor(s) and not of MDPI and/or the editor(s). MDPI and/or the editor(s) disclaim responsibility for any injury to people or property resulting from any ideas, methods, instructions or products referred to in the content.

Share and Cite

MDPI and ACS Style

Du, J.; Li, Y. Analysis on the Variation Laws of Electromagnetic Force Wave and Vibration Response of Squirrel-Cage Induction Motor under Rotor Eccentricity. Electronics 2023, 12, 1295. https://doi.org/10.3390/electronics12061295

AMA Style

Du J, Li Y. Analysis on the Variation Laws of Electromagnetic Force Wave and Vibration Response of Squirrel-Cage Induction Motor under Rotor Eccentricity. Electronics. 2023; 12(6):1295. https://doi.org/10.3390/electronics12061295

Chicago/Turabian Style

Du, Jianmin, and Yan Li. 2023. "Analysis on the Variation Laws of Electromagnetic Force Wave and Vibration Response of Squirrel-Cage Induction Motor under Rotor Eccentricity" Electronics 12, no. 6: 1295. https://doi.org/10.3390/electronics12061295

APA Style

Du, J., & Li, Y. (2023). Analysis on the Variation Laws of Electromagnetic Force Wave and Vibration Response of Squirrel-Cage Induction Motor under Rotor Eccentricity. Electronics, 12(6), 1295. https://doi.org/10.3390/electronics12061295

Note that from the first issue of 2016, this journal uses article numbers instead of page numbers. See further details here.

Article Metrics

Back to TopTop