Study of the Radiation Pattern and Frequency Response of a Short Linear Antenna Surrounded by Discharge Tubes for the Development of Rapidly Adjustable Wideband Antenna Systems
Abstract
1. Introduction
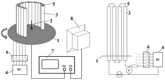
2. Description of the Experimental Setup
3. Experimental Results for Different Lamp Configurations and Current Values
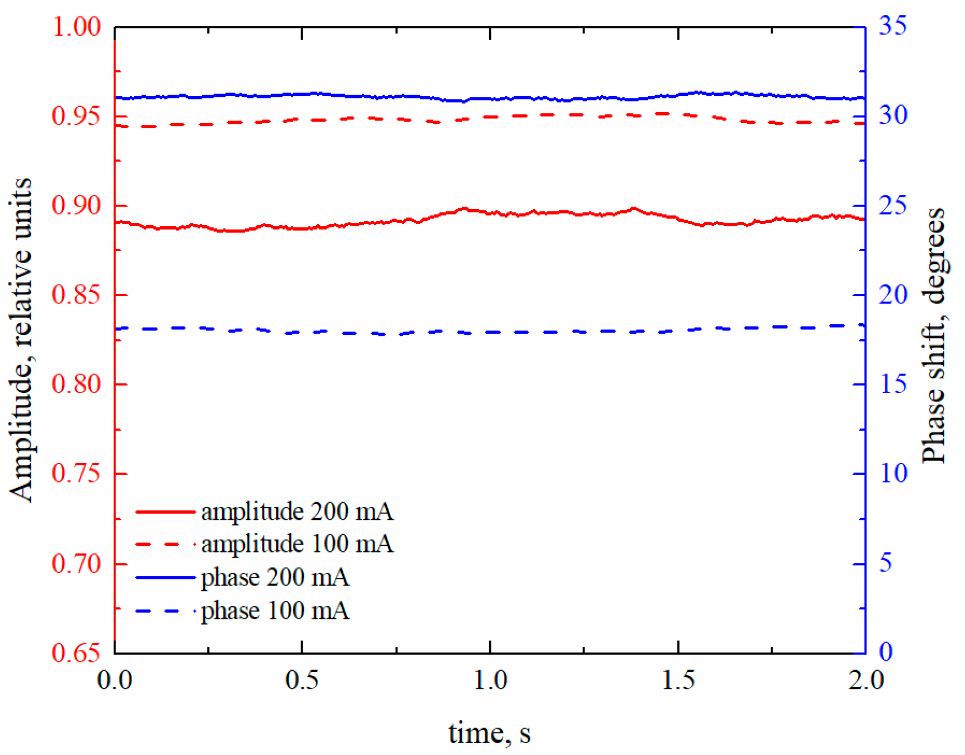
3.1. Combination 1
3.2. Combination 2
3.3. Combination 3
3.4. Combination 4
4. Plasma Parameter Estimation
4.1. Drift Approximation
4.2. Microwave Measurement
5. Conclusions
Author Contributions
Funding
Data Availability Statement
Acknowledgments
Conflicts of Interest
References
- Althuwayb, A.A. MTM- and SIW-Inspired Bowtie Antenna Loaded with AMC for 5G mm-Wave Applications. Int. J. Antennas Propag. 2021, 2021, 6658819. [Google Scholar] [CrossRef]
- Althuwayb, A.A. Low-Interacted Multiple Antenna Systems Based on Metasurface-Inspired Isolation Approach for MIMO Applications. Arab. J. Sci. Eng. 2022, 47, 2629–2638. [Google Scholar] [CrossRef]
- Alibakhshikenari, M.; Virdee, B.S.; See, C.H.; Abd-Alhameed, R.A.; Falcone, F.; Limiti, E. Super-Wide Impedance Bandwidth Planar Antenna for Microwave and Millimeter-Wave Applications. Sensors 2019, 19, 2306. [Google Scholar] [CrossRef] [PubMed]
- Anderson, T. Plasma Antenna; Artech House: Norwood, MA, USA, 2011. [Google Scholar]
- Alexeff, I.; Anderson, T.; Parameswaran, S.; Pradeep, E.; Hulloli, J. Experimental and theoretical results with plasma antennas. IEEE Trans. Plasma Sci. 2006, 34, 166–172. [Google Scholar] [CrossRef]
- Alexeff, I.; Anderson, T.; Farshi, E.; Karnam, N.; Pulasani, N.R. Recent results for plasma antennas. Phys. Plasmas 2008, 15, 057104. [Google Scholar] [CrossRef]
- Bogachev, N.N.; Bogdankevich, I.L.; Gusein-Zade, N.G.; Rukhadze, A.A. Surface wave and linear operating mode of a plasma antenna. Plasma Phys. Rep. 2015, 41, 792–798. [Google Scholar] [CrossRef]
- Naito, T.; Yamaura, S.; Yamamoto, K.; Tanaka, T.; Chiba, H.; Ogino, H.; Takahagi, K.; Kitagawa, S.; Taniguchi, D. Theoretical and experimental investigation of plasma antenna characteristics on the basis of gaseous collisionality and electron density. Jpn. J. Appl. Phys. 2015, 54, 016001. [Google Scholar] [CrossRef]
- Russo, P.; Primiani, V.M.; Cerri, G.; De Leo, R.; Vecchioni, E. Experimental Characterization of a Surfaguide Fed Plasma Antenna. IEEE Trans. Antennas Propag. 2011, 59, 425–433. [Google Scholar] [CrossRef]
- Kumar, R.; Bora, D. Wireless communication capability of a reconfigurable plasma antenna. J. Appl. Phys. 2011, 109, 063303. [Google Scholar] [CrossRef]
- Zali, H.M.; Ali, M.T.; Pasya, I.; Ya’acob, N.; Halili, N.A.; Ja’afar, H.; Azlan, A.A. A monopole fluorescent tube antenna with Wi-Fi Router. In Proceedings of the 21st International Conference on Telecommunications (ICT), Lisbon, Portugal, 4–7 May 2014; pp. 358–362. [Google Scholar]
- Kumar, V.; Mishra, M.; Joshi, N.K. Study of a fluorescent tube as plasma antenna. Prog. Electromagn. Res. Lett. 2011, 24, 17–26. [Google Scholar] [CrossRef]
- Ye, H.Q.; Gao, M.; Tang, C.J. Radiation Theory of the Plasma Antenna. IEEE Trans. Antennas Propag. 2011, 59, 1497–1502. [Google Scholar] [CrossRef]
- Sadeghikia, F.; Hodjat-Kashani, F. A two element plasma antenna array. Eng. Technol. Appl. Sci. Res. 2013, 3, 516–521. [Google Scholar] [CrossRef]
- Kumar, R.; Kumar, P. Study of array plasma antenna parameters. AIP Adv. 2018, 8, 045306. [Google Scholar] [CrossRef]
- Jusoh, M.T.; Lafond, O.; Colombel, F.; Himdi, M. Performance and radiation patterns of a reconfigurable plasma corner-reflector antenna. IEEE Antennas Wireless Propag. Lett. 2013, 12, 1137–1140. [Google Scholar] [CrossRef]
- Nasr, N.; Mehdian, H.; Hajisharifi, K.; Hasanbeigi, A. Analysis of nested design of plasma antenna based on the azimuthally symmetric surface waves: UHF and SHF bands. Phys. Plasmas 2017, 24, 103304. [Google Scholar] [CrossRef]
- Sadeghikia, F.; Hodjat-Kashani, F.; Rashed-Mohassel, J.; Lotfi, A.A.; Ghayoomeh-Bozorgi, J. A Yagi-Uda Plasma Monopole Array. J. Electromagn. Waves Appl. 2012, 26, 885–894. [Google Scholar] [CrossRef]
- Armaki, F.S.M.; Armaki, S.A.M. Design and Fabrication of Plasma Yagi–Uda Array Antenna with Beamforming. IEEE Trans. Plasma Sci. 2019, 47, 2567–2570. [Google Scholar] [CrossRef]
- Jusoh, M.T.; Lafond, O.; Colombel, F.; Himdi, M. Performance of a reconfigurable reflector antenna with scanning capability using low cost plasma medium. Micro Opt. Tech. Lett. 2013, 55, 2869–2874. [Google Scholar] [CrossRef]
- Ja’afar, H.; Ali, M.T.B.; Dagang, A.N.B.; Zali, H.M.; Halili, N.A. A Reconfigurable Monopole Antenna with Fluorescent Tubes Using Plasma Windowing Concepts for 4.9-GHz Application. IEEE Trans. Plasma Sci. 2015, 43, 815–820. [Google Scholar] [CrossRef]
- Ja’afar, H.; Ali, M.T.B.; Dagang, A.N.B.; Ibrahim, I.P.; Halili, N.A.; Zali, H.M. Reconfigurable Plasma Antenna Array by Using Fluorescent Tube for Wi-Fi Application. Radioengineering 2016, 25, 275–282. [Google Scholar] [CrossRef]
- Melazzi, D.; De Carlo, P.; Trezzolani, F.; Manente, M.; Capobianco, A.; Boscolo, S. Beam-forming capabilities of a plasma circular reflector antenna. IET Microw. Antennas Propag. 2018, 12, 2301–2306. [Google Scholar] [CrossRef]
- Li, J.; Astafiev, A.M.; Kudryavtsev, A.A.; Yuan, C.; Yao, J.; Zhou, Z.; Wang, X. Monopole Antenna with Reconfigurable Quarter Wavelength Plasma Reflector. IEEE Trans. Plasma Sci. 2020, 48, 364–368. [Google Scholar] [CrossRef]
- Astafiev, A.M.; Kudryavtsev, A.A.; Chtrtsov, A.S.; Yuan, C.; Yao, J.; Zhou, Z. Characteristics of a short linear antenna with a cylindrical plasma reflector. In Proceedings of the 2021 13th International Symposium on Antennas, Propagation and EM Theory (ISAPE), Zhuhai, China, 1–4 December 2021; pp. 1–3. [Google Scholar]
- Raizer, Y.P. Gas Discharge Physics; Springer: Berlin/Heidelberg, Germany, 1991. [Google Scholar]
- Balanis, C.A. Antenna Theory Analysis and Design, 2nd ed.; John Wiley & Sons, Inc.: New York, NY, USA, 1997. [Google Scholar]
- Golyatina, R.I.; Maiorov, S.A. Characteristics of Electron Drift in an Ar–Hg Mixture. Plasma Phys. Rep. 2018, 44, 453–457. [Google Scholar] [CrossRef]
- Ginzburg, V.L. The Propagation of Electromagnetic Waves in Plasmas; Pergamon Press: Oxford, UK, 1970. [Google Scholar]
- Howlader, M.; Yang, Y.; Roth, J.R. Time-resolved measurements of electron number density and collision frequency for a fluorescent lamp plasma using microwave diagnostics. IEEE Trans. Plasma Sci. 2005, 33, 1093–1099. [Google Scholar] [CrossRef]
- Liu, Y.; Hou, Z. Diagnostics of plasma electron density and collision frequency of fluorescent lamp using microwave transmission diagnostics. J. Phys. Conf. Ser. 2019, 1324, 012073. [Google Scholar] [CrossRef]










| 0.5 GHz | 0.85 GHz | 1 GHz | 1.5 GHz | |
|---|---|---|---|---|
| 200 mA | 1.9 | 2.4 | 2.6 | 3.6 |
| 100 mA | 1.5 | 1.9 | 2.1 | 2.9 |
| 50 mA | 1.2 | 1.3 | 1.5 | 2.3 |
| 35 mA | 0.6 | 1.1 | 1.2 | 1.8 |
| 0.5 GHz | 0.75 GHz | 1 GHz | 1.5 GHz | |
|---|---|---|---|---|
| 200 mA | 2.8 | 4.1 | 5.1 | 3.4 |
| 100 mA | 2.3 | 3.4 | 4.5 | 2.9 |
| 50 mA | 1.5 | 3.1 | 3.7 | 1.8 |
| 35 mA | 0.9 | 2.7 | 3.1 | 1.2 |
| 0.5 GHz | 1 GHz | 1.25 GHz | 1.5 GHz | |
|---|---|---|---|---|
| 200 mA | 2.5 | 5.7 | 5.1 | 6.4 |
| 100 mA | 1.9 | 5.1 | 4.5 | 5.5 |
| 50 mA | 1.2 | 4.2 | 3.7 | 4.1 |
| 35 mA | 0.9 | 3.8 | 3.1 | 3.3 |
| 0.5 GHz | 1 GHz | 1.35 GHz | 1.5 GHz | |
|---|---|---|---|---|
| 200 mA | 1.7 | 5.5 | 5.9 | 5.7 |
| 100 mA | 1.5 | 4.8 | 4.9 | 3.1 |
| 50 mA | 0.9 | 3.5 | 3.1 | 1.2 |
| 35 mA | 0.6 | 2.8 | 2.5 | 0.3 |
Disclaimer/Publisher’s Note: The statements, opinions and data contained in all publications are solely those of the individual author(s) and contributor(s) and not of MDPI and/or the editor(s). MDPI and/or the editor(s) disclaim responsibility for any injury to people or property resulting from any ideas, methods, instructions or products referred to in the content. |
© 2023 by the authors. Licensee MDPI, Basel, Switzerland. This article is an open access article distributed under the terms and conditions of the Creative Commons Attribution (CC BY) license (https://creativecommons.org/licenses/by/4.0/).
Share and Cite
Wang, H.; Lyu, X.; Yao, J.; Astafiev, A.M.; Li, H.-P. Study of the Radiation Pattern and Frequency Response of a Short Linear Antenna Surrounded by Discharge Tubes for the Development of Rapidly Adjustable Wideband Antenna Systems. Electronics 2023, 12, 1277. https://doi.org/10.3390/electronics12061277
Wang H, Lyu X, Yao J, Astafiev AM, Li H-P. Study of the Radiation Pattern and Frequency Response of a Short Linear Antenna Surrounded by Discharge Tubes for the Development of Rapidly Adjustable Wideband Antenna Systems. Electronics. 2023; 12(6):1277. https://doi.org/10.3390/electronics12061277
Chicago/Turabian StyleWang, Hailu, Xingbao Lyu, Jingfeng Yao, Aleksandr M. Astafiev, and He-Ping Li. 2023. "Study of the Radiation Pattern and Frequency Response of a Short Linear Antenna Surrounded by Discharge Tubes for the Development of Rapidly Adjustable Wideband Antenna Systems" Electronics 12, no. 6: 1277. https://doi.org/10.3390/electronics12061277
APA StyleWang, H., Lyu, X., Yao, J., Astafiev, A. M., & Li, H.-P. (2023). Study of the Radiation Pattern and Frequency Response of a Short Linear Antenna Surrounded by Discharge Tubes for the Development of Rapidly Adjustable Wideband Antenna Systems. Electronics, 12(6), 1277. https://doi.org/10.3390/electronics12061277

