Distributed Stochastic Model Predictive Control for a Microscopic Interactive Traffic Model
Abstract
1. Introduction
- Investigating the effects of SMPC risk parameters on non-interactive and interactive vehicle-control systems on highways.
- Providing guidelines on how to set risk parameters for vehicles in interactive systems.
2. Model of the Multi-Vehicle System
2.1. Communication Topology
2.2. Vehicle Controllers
3. Elements of the SMPC Problem
3.1. Vehicle Models
3.1.1. Linear Discrete-Time Model
3.1.2. Model of EVs
3.1.3. Model of TVs
3.1.4. Reformulation of the TV Model
3.2. Constraints
3.2.1. Hard Constraints
3.2.2. Collision-Avoidance Constraints
3.2.3. Constraint Tightening
3.3. Cost Function
3.4. Control Algorithm for One Vehicle
| Algorithm 1 The SMPC problem for each EV i |
|
4. Simulation Results
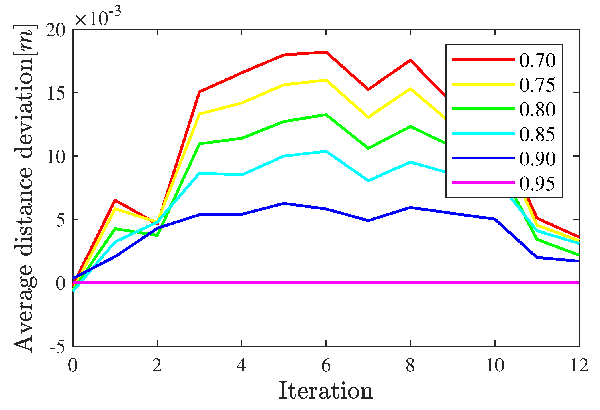
4.1. The Effects of Risk Parameters on an Individual Vehicle
4.2. The Effects of Risk Parameters on Interactive Systems
4.2.1. The Same vs. Different Risk Parameters
- When two vehicles have the same risk parameters:
- Driving more aggressively can help both to reach the target lane slightly earlier.
- Changing the risk parameters for all vehicles in the same way does not affect the resulting trajectories significantly and only introduces slightly more or less distance between vehicles.
- When two vehicles have different risk parameters:
- The more aggressive that an EV drives, the fewer collision avoidance adjustments to its behavior are required before reaching the target lane.
- An EV’s more-aggressive driving style can contribute to reaching its target lane earlier.
- A TV’s more-conservative driving style can help the EV to reach the target lane earlier with fewer collision avoidance adjustments.
4.2.2. Resolving Conflicts
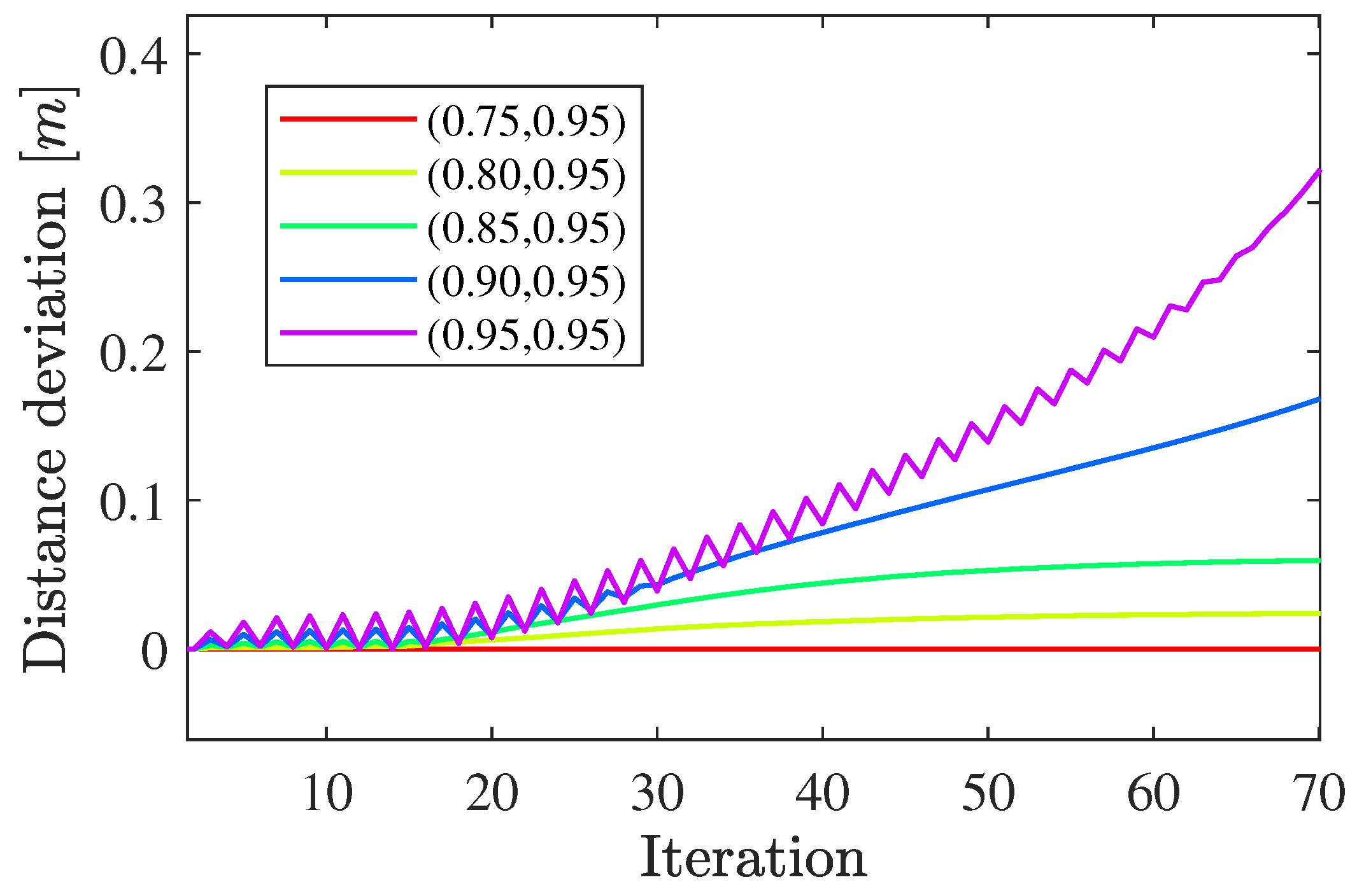
4.2.3. Risk Differences
- DD: We consider the Euclidean distance between the centers of the two vehicles (different from the distance definition in Section 4.1). The DD is defined as the deviation between the Euclidean distances for any risk parameter pair and the Euclidean distance for the risk parameter pair .
- SD: The deviation between states and reference states, as defined below:where () represents the deviation between the real states and the corresponding reference states during all iterations.
- The vehicles benefit from the conservative driving style in terms of safety.
- An aggressive driving style can help the two-vehicle interactive system escape conflict situations.
- A vehicle driving more aggressively tends to reach its target lane and reference velocity earlier.
5. Conclusions and Future Work
Author Contributions
Funding
Data Availability Statement
Acknowledgments
Conflicts of Interest
Abbreviations
| MPC | Model Predictive Control |
| SMPC | Stochastic Model Predictive Control |
| DMPC | Distributed Model Predictive Control |
| DSMPC | Distributed Stochastic Model Predictive Control |
| EV | Ego Vehicle |
| TV | Target Vehicle |
| DD | Distance Deviation |
| SD | State Deviation |
Appendix A. Kinematic Bicycle Model
Appendix B. Linearized and Discretized System Matrices
Appendix C. Deterministic Collision-Avoidance Constraints for Multiple TVs
Appendix D. Simulation Setup
| Physical Meaning | Notation | Value |
|---|---|---|
| Length of road | 1500 | |
| Width of lane | 5.25 | |
| Length of vehicle | 5 | |
| Width of vehicle | 2 | |
| Distance from mass center to front axle | 2 | |
| Distance from mass center to rear axle | 2 | |
| Lower boundary of road | 0 | |
| Upper boundary of road | 15.75 | |
| Minimum speed | 0 | |
| Maximum allowable speed | 70 | |
| Minimum inertial heading | −1.2 | |
| Maximum inertial heading | 1.2 | |
| Minimum acceleration | −9 | |
| Maximum acceleration | 6 | |
| Minimum front steering angle | −0.2 | |
| Maximum front steering angle | 0.2 | |
| Semi-major axis | 9 | |
| Semi-minor axis | 5.5 | |
| Prediction horizon | N | 10 |
| Sampling time | T | 0.2 |
| Weighting matrix | Q | |
| Weighting matrix | R |
References
- Carvalho, A.; Gao, Y.; Lefevre, S.; Borrelli, F. Stochastic predictive control of autonomous vehicles in uncertain environments. In Proceedings of the 12th International Symposium on Advanced Vehicle Control, Tokyo, Japan, 22–26 September 2014; pp. 712–719. [Google Scholar]
- Soloperto, R.; Köhler, J.; Allgöwer, F.; Müller, M.A. Collision avoidance for uncertain nonlinear systems with moving obstacles using robust Model Predictive Control. In Proceedings of the 2019 18th European Control Conference (ECC), Naples, Italy, 25–28 June 2019; pp. 811–817. [Google Scholar] [CrossRef]
- Suh, J.; Chae, H.; Yi, K. Stochastic Model-Predictive Control for Lane Change Decision of Automated Driving Vehicles. IEEE Trans. Veh. Technol. 2018, 67, 4771–4782. [Google Scholar] [CrossRef]
- Brüdigam, T.; Olbrich, M.; Leibold, M.; Wollherr, D. Combining Stochastic and Scenario Model Predictive Control to Handle Target Vehicle Uncertainty in an Autonomous Driving Highway Scenario. In Proceedings of the 2018 21st International Conference on Intelligent Transportation Systems (ITSC), Maui, HI, USA, 4–7 November 2018; pp. 1317–1324. [Google Scholar] [CrossRef]
- Brüdigam, T.; Olbrich, M.; Wollherr, D.; Leibold, M. Stochastic Model Predictive Control with a Safety Guarantee for Automated Driving. IEEE Trans. Intell. Veh. 2023, 8, 22–36. [Google Scholar] [CrossRef]
- Dang, N.; Brüdigam, T.; Leibold, M.; Buss, M. Combining Event-Based Maneuver Selection and MPC Based Trajectory Generation in Autonomous Driving. Electronics 2022, 11, 1518. [Google Scholar] [CrossRef]
- Heirung, T.A.N.; Paulson, J.A.; O’Leary, J.; Mesbah, A. Stochastic model predictive control—How does it work? Comput. Chem. Eng. 2018, 114, 158–170. [Google Scholar] [CrossRef]
- Kouvaritakis, B.; Cannon, M.; Raković, S.V.; Cheng, Q. Explicit use of probabilistic distributions in linear predictive control. In Proceedings of the UKACC International Conference on Control 2010, Coventry, UK, 7–10 September 2010; pp. 1–6. [Google Scholar] [CrossRef]
- Maroto, J.; Delso, E.; Felez, J.; Cabanellas, J.M. Real-Time Traffic Simulation with a Microscopic Model. IEEE Trans. Intell. Transp. Syst. 2006, 7, 513–527. [Google Scholar] [CrossRef]
- Zambrano-Martinez, J.L.; Calafate, C.T.; Soler, D.; Cano, J.C.; Manzoni, P. Modeling and Characterization of Traffic Flows in Urban Environments. Sensors 2018, 18, 2020. [Google Scholar] [CrossRef]
- Min, W.; Wynter, L. Real-time road traffic prediction with spatio-temporal correlations. Transp. Res. Part C Emerg. Technol. 2011, 19, 606–616. [Google Scholar] [CrossRef]
- Althoff, M.; Stursberg, O.; Buss, M. Model-Based Probabilistic Collision Detection in Autonomous Driving. IEEE Trans. Intell. Transp. Syst. 2009, 10, 299–310. [Google Scholar] [CrossRef]
- Yang, B.; Monterola, C. A simple distributed algorithm for lightless intersection control based on non-linear interactions between vehicles. In Proceedings of the 2017 IEEE 20th International Conference on Intelligent Transportation Systems (ITSC), Yokohama, Japan, 16–19 October 2017; pp. 1–6. [Google Scholar] [CrossRef]
- Dai, L.; Xia, Y.; Gao, Y.; Kouvaritakis, B.; Cannon, M. Cooperative distributed stochastic MPC for systems with state estimation and coupled probabilistic constraints. Automatica 2015, 61, 89–96. [Google Scholar] [CrossRef]
- Dai, L.; Xia, Y.; Gao, Y.; Cannon, M. Distributed Stochastic MPC of Linear Systems with Additive Uncertainty and Coupled Probabilistic Constraints. IEEE Trans. Autom. Control 2017, 62, 3474–3481. [Google Scholar] [CrossRef]
- Zhao, G.; Yang, S. Distributed stochastic MPC for linear systems with probabilistic constraints and quantisation. IET Control Theory Appl. 2020, 14, 396–404. [Google Scholar] [CrossRef]
- Dunbar, W.B.; Murray, R.M. Distributed receding horizon control for multi-vehicle formation stabilization. Automatica 2006, 42, 549–558. [Google Scholar] [CrossRef]
- Dunbar, W.B.; Caveney, D.S. Distributed Receding Horizon Control of Vehicle Platoons: Stability and String Stability. IEEE Trans. Autom. Control 2012, 57, 620–633. [Google Scholar] [CrossRef]
- Zheng, Y.; Li, S.E.; Li, K.; Borrelli, F.; Hedrick, J.K. Distributed Model Predictive Control for Heterogeneous Vehicle Platoons Under Unidirectional Topologies. IEEE Trans. Control Syst. Technol. 2017, 25, 899–910. [Google Scholar] [CrossRef]
- Liu, P.; Kurt, A.; Ozguner, U. Distributed Model Predictive Control for Cooperative and Flexible Vehicle Platooning. IEEE Trans. Control Syst. Technol. 2019, 27, 1115–1128. [Google Scholar] [CrossRef]
- Gao, Y.; Lin, T.; Borrelli, F.; Tseng, E.; Hrovat, D. Predictive Control of Autonomous Ground Vehicles with Obstacle Avoidance on Slippery Roads. In Proceedings of the ASME 2010 Dynamic Systems and Control Conference, Cambridge, MA, USA, 12–15 September 2010. [Google Scholar] [CrossRef]
- Levinson, J.; Askeland, J.; Becker, J.; Dolson, J.; Held, D.; Kammel, S.; Kolter, J.Z.; Langer, D.; Pink, O.; Pratt, V.; et al. Towards fully autonomous driving: Systems and algorithms. In Proceedings of the 2011 IEEE Intelligent Vehicles Symposium (IV), Baden-Baden, Germany, 5–9 June 2011; pp. 163–168. [Google Scholar] [CrossRef]
- Carvalho, A.; Gao, Y.; Gray, A.; Tseng, H.E.; Borrelli, F. Predictive control of an autonomous ground vehicle using an iterative linearization approach. In Proceedings of the 16th International IEEE Conference on Intelligent Transportation Systems (ITSC 2013), Hague, The Netherlands, 6–9 October 2013; pp. 2335–2340. [Google Scholar] [CrossRef]
- Kong, J.; Pfeiffer, M.; Schildbach, G.; Borrelli, F. Kinematic and dynamic vehicle models for autonomous driving control design. In Proceedings of the 2015 IEEE Intelligent Vehicles Symposium (IV), Seoul, Republic of Korea, 28 June–1 July 2015; pp. 1094–1099. [Google Scholar]
- Brüdigam, T.; Olbrich, M.; Wollherr, D.; Leibold, M. Stochastic Model Predictive Control with a Safety Guarantee for Automated Driving: Extended Version. arXiv 2020, arXiv:2009.09381. [Google Scholar] [CrossRef]
- Lorenzen, M.; Dabbene, F.; Tempo, R.; Allgöwer, F. Constraint-Tightening and Stability in Stochastic Model Predictive Control. IEEE Trans. Autom. Control 2017, 62, 3165–3177. [Google Scholar] [CrossRef]
- Grüne, L.; Pannek, J. Nonlinear Model Predictive Control: Theory and Algorithms, 2nd ed.; Communications and Control Engineering; Springer: Cham, Switzerland, 2017. [Google Scholar]







| Vehicle 1 | 50 | 7.875 | 0 | 27 | 7.875 | 27 |
| Vehicle 2 | 72 | 2.625 | 0 | 24 | 7.875 | 30 |
| Vehicle 1 | 50 | 7.875 | 0 | 27 | 7.875 | 27 |
| Vehicle 2 | 67 | 2.625 | 0 | 25 | 7.875 | 27 |
Disclaimer/Publisher’s Note: The statements, opinions and data contained in all publications are solely those of the individual author(s) and contributor(s) and not of MDPI and/or the editor(s). MDPI and/or the editor(s) disclaim responsibility for any injury to people or property resulting from any ideas, methods, instructions or products referred to in the content. |
© 2023 by the authors. Licensee MDPI, Basel, Switzerland. This article is an open access article distributed under the terms and conditions of the Creative Commons Attribution (CC BY) license (https://creativecommons.org/licenses/by/4.0/).
Share and Cite
Dang, N.; Brüdigam, T.; Zhang, Z.; Liu, F.; Leibold, M.; Buss, M. Distributed Stochastic Model Predictive Control for a Microscopic Interactive Traffic Model. Electronics 2023, 12, 1270. https://doi.org/10.3390/electronics12061270
Dang N, Brüdigam T, Zhang Z, Liu F, Leibold M, Buss M. Distributed Stochastic Model Predictive Control for a Microscopic Interactive Traffic Model. Electronics. 2023; 12(6):1270. https://doi.org/10.3390/electronics12061270
Chicago/Turabian StyleDang, Ni, Tim Brüdigam, Zengjie Zhang, Fangzhou Liu, Marion Leibold, and Martin Buss. 2023. "Distributed Stochastic Model Predictive Control for a Microscopic Interactive Traffic Model" Electronics 12, no. 6: 1270. https://doi.org/10.3390/electronics12061270
APA StyleDang, N., Brüdigam, T., Zhang, Z., Liu, F., Leibold, M., & Buss, M. (2023). Distributed Stochastic Model Predictive Control for a Microscopic Interactive Traffic Model. Electronics, 12(6), 1270. https://doi.org/10.3390/electronics12061270

