A Predictive Current Control Strategy for a Medium-Voltage Open-End Winding Machine Drive
Abstract
1. Introduction
2. Power Converter Topology
2.1. Space Voltage Vectors
2.2. Common-Mode Voltage
3. Machine Model
4. Predictive Control Strategy
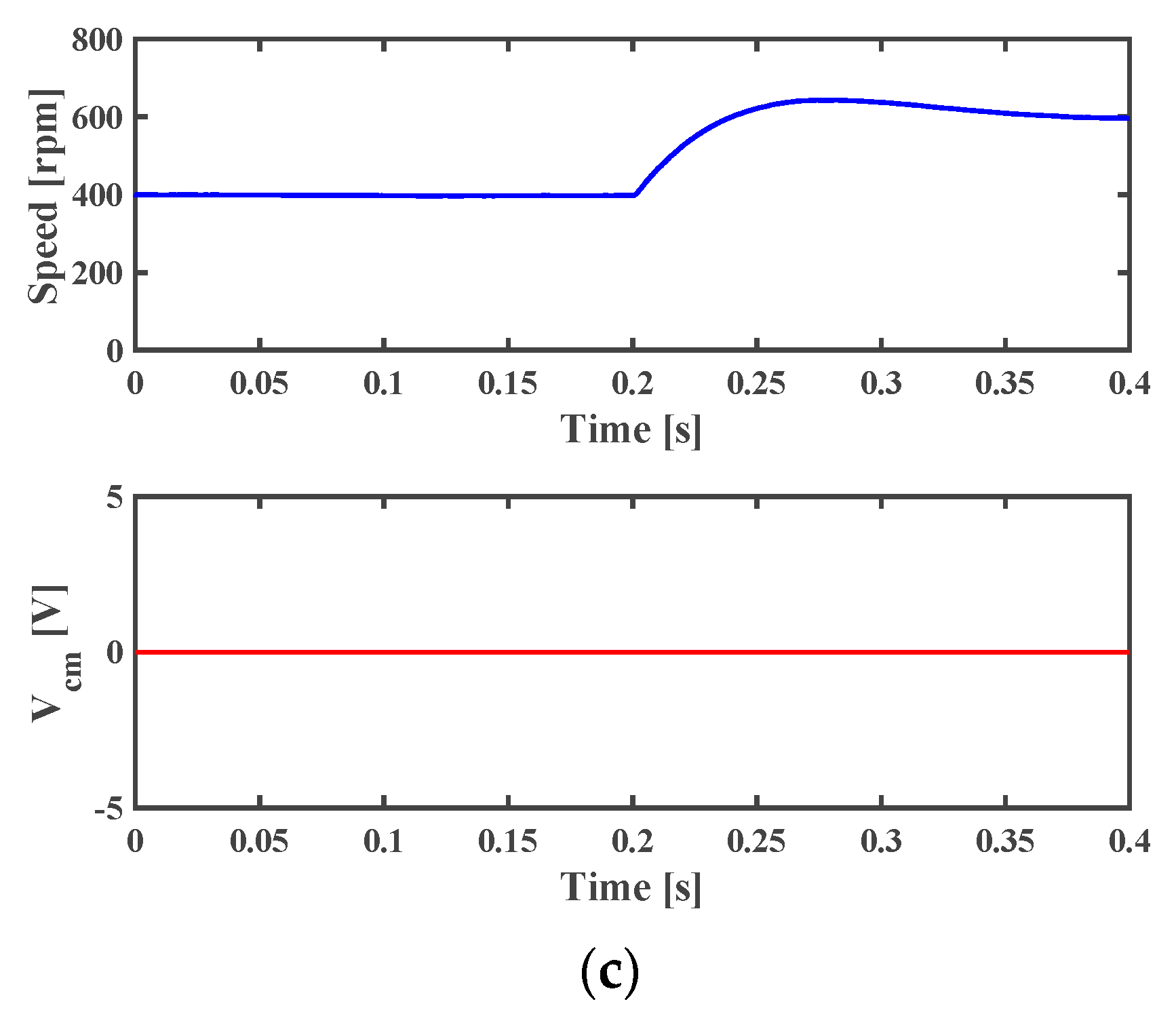
5. Simulation Results
6. Conclusions
Author Contributions
Funding
Conflicts of Interest
References
- ABB Medium Voltage AC Drives. Available online: https://new.abb.com/drives/medium-voltage-ac-drives (accessed on 2 December 2022).
- Danfoss Medium Voltage Drives. Available online: https://www.danfoss.com/en-gb/products/dds/medium-voltage-drives/ (accessed on 2 December 2022).
- Siemens Medium Voltage Converters. Available online: https://new.siemens.com/global/en/products/drives/sinamics/medium-voltage-converters.html (accessed on 2 December 2022).
- Rodriguez, J.; Cortés, P.; Silva, C.; Pontt, J. A New Modulation Method to Reduce Common-Mode Voltages in Multilevel Inverters. IEEE Trans. Ind. Appl. 2004, 51, 834–839. [Google Scholar] [CrossRef]
- Do, D.-T.; Nguyen, M.-K.; Ngo, V.-T.; Quach, T.-H.; Tran, V.-T. Common Mode Voltage Elimination for Quasi-Switch Boost T-Type Inverter Based on SVM Technique. Electronics 2020, 9, 76. [Google Scholar] [CrossRef]
- Srinivasan, P.; Reddy, B.V.; Somasekhar, V.T. PWM switching strategy for the elimination of common mode voltage of a two-level inverter drive with an open-end winding induction motor configuration. In Proceedings of the 2010 Joint International Conference on Power Electronics, Drives and Energy Systems & 2010 Power India, Delhi, India, 20–23 December 2010; pp. 1–6, 20–23. [Google Scholar]
- Jauanne, A.; Zhang, H. A dual-bridge inverter approach to eliminating common-mode voltages and bearing and leakage currents. Trans. Power Electron. 1999, 14, 43–48. [Google Scholar] [CrossRef]
- Riedemann, J.; Clare, J.C.; Wheeler, P.W.; Blasco-Gimenez, R.; Rivera, M.; Peña, R. Open-End Winding Induction Machine Fed by a Dual-Output Indirect Matrix Converter. IEEE Trans. Ind. Electron. 2016, 63, 4118–4128. [Google Scholar] [CrossRef]
- Edpuganti, A.; Rathore, A.K. Optimal Pulsewidth Modulation for Common-Mode Voltage Elimination Scheme of Medium-Voltage Modular Multilevel Converter-Fed Open-End Stator Winding Induction Motor Drives. IEEE Trans. Ind. Electron. 2016, 64, 848–856. [Google Scholar] [CrossRef]
- Teng, J.; Sun, X.; Zhang, Y.; Fu, H.; Liu, X.; Zhao, W.; Li, X. Two Types of Common-Mode Voltage Suppression in Medium Voltage Motor Speed Regulation System Based on Solid State Transformer with Dual DC Bus. IEEE Trans. Power Electron. 2022, 37, 7082–7099. [Google Scholar] [CrossRef]
- Deng, Y.; Wang, Y.; Teo, K.H.; Harley, R.G. A Simplified Space Vector Modulation Scheme for Multilevel Converters. Trans. Power Electron. 2016, 31, 1873–1886. [Google Scholar] [CrossRef]
- Gu, X.; Wei, B.; Zhang, G.; Wang, Z.; Chen, W. Improved Synchronized Space Vector PWM Strategy for Three-Level Inverter at Low Modulation Index. Electronics 2019, 8, 1400. [Google Scholar] [CrossRef]
- Choi, S.; Meliopoulos, A.P. Space Vector Modulation (SVM)-exploited Binary Capacitor Voltage Control (BCVC)-based Flying-Capacitor-Clamped Multilevel Converter (FCCMC) for Low Nominal DC Voltage Applications. In Proceedings of the 2021 22nd IEEE International Conference on Industrial Technology (ICIT), Valencia, Spain, 10–12 March 2021; pp. 488–493. [Google Scholar]
- Rodriguez, J.; Cortés, P. Predictive Control of Inductions Machines. In Predictive Control of Power Converters and Electrical Drives, 1st ed.; John Wiley & Sons: New York, NY, USA, 2012; pp. 116–132. [Google Scholar]
- Wang, F.; Li, S.; Mei, X.; Xie, W.; Rodríguez, J.; Kennel, R.M. Model-Based Predictive Direct Control Strategies for Electrical Drives: An Experimental Evaluation of PTC and PCC Methods. IEEE Trans. Ind. Inform. 2015, 11, 671–681. [Google Scholar] [CrossRef]
- Hammoud, I.; Hentzelt, S.; Oehlschlagel, T.; Abdelrahem, M.; Hackl, C.; Kennel, R. On Continuous-Set Model Predictive Control of Permanent Magnet Synchronous Machines. IEEE Trans. Power Electron. 2022, 37, 10360–10371. [Google Scholar] [CrossRef]
- Wang, Q.; Rivera, M.; Riveros, J.A.; Wheeler, P. Modulated Model Predictive Current Control for PMSM Operating With Three-level NPC Inverter. In Proceedings of the 2019 15th IEEE Brazilian Power Electronics Conference and 5th IEEE Southern Power Electronics Conference (COBEP/SPEC), Santos, Brazil, 1–4 December 2019; pp. 1–5. [Google Scholar]
- Du, S.; Wu, B.; Tian, K.; Zargari, N.R.; Cheng, Z. An Active Cross-Connected Modular Multilevel Converter (AC-MMC) for a Medium-Voltage Motor Drive. IEEE Trans. Ind. Electron. 2016, 63, 4707–4717. [Google Scholar] [CrossRef]
- Du, S.; Wu, B.; Zargari, N.R.; Cheng, Z. A Flying-Capacitor Modular Multilevel Converter for Medium-Voltage Motor Drive. IEEE Trans. Power Electron. 2017, 32, 2081–2089. [Google Scholar] [CrossRef]
- Kumar, Y.S.; Poddar, G. Control of Medium-Voltage AC Motor Drive for Wide Speed Range Using Modular Multilevel Converter. IEEE Trans. Ind. Electron. 2017, 64, 2742–2749. [Google Scholar] [CrossRef]
- Kumar, Y.S.; Poddar, G. Medium-Voltage Vector Control Induction Motor Drive at Zero Frequency Using Modular Multilevel Converter. IEEE Trans. Ind. Electron. 2018, 65, 125–132. [Google Scholar] [CrossRef]
- Titus, J.; Hatua, K. An Induction Machine with Tapped Stator Windings for LCI-Fed Medium Voltage Drive Applications. IEEE Trans. Ind. Electron. 2020, 67, 7217–7227. [Google Scholar] [CrossRef]
- Chen, X.; Wang, X.; Kong, M.; Li, Z. Design of a Medium-Voltage High-Power Brushless Doubly Fed Motor With a Low-Voltage Fractional Convertor for the Circulation Pump Adjustable Speed Drive. IEEE Trans. Ind. Electron. 2022, 69, 7720–7732. [Google Scholar] [CrossRef]
- Geyer, T. A Comparison of Control and Modulation Schemes for Medium-Voltage Drives: Emerging Predictive Control Concepts Versus PWM-Based Schemes. IEEE Trans. Ind. Appl. 2011, 47, 1380–1389. [Google Scholar] [CrossRef]
- Laczynski, T.; Mertens, A. Predictive Current Controller for Inverter Fed Medium Voltage Drives with LC Filter. In Proceedings of the 2007 7th International Conference on Power Electronics and Drive Systems, Bangkok, Thailand, 27–30 November 2007; pp. 1496–1501. [Google Scholar]
- Laczynski, T.; Mertens, A. Predictive Stator Current Control for Medium Voltage Drives with LC Filters. IEEE Trans. Power Electron. 2009, 24, 2427–2435. [Google Scholar] [CrossRef]
- Yaramasu, V.; Wu, B. Predictive Control of a Three-Level Boost Converter and an NPC Inverter for High-Power PMSG-Based Medium Voltage Wind Energy Conversion Systems. IEEE Trans. Power Electron. 2014, 29, 5308–5322. [Google Scholar] [CrossRef]
- Narimani, M.; Wu, B.; Yaramasu, V.; Cheng, Z.; Zargari, N.R. Finite Control-Set Model Predictive Control (FCS-MPC) of Nested Neutral Point-Clamped (NNPC) Converter. IEEE Trans. Power Electron. 2015, 30, 7262–7269. [Google Scholar] [CrossRef]
- Dekka, A.; Wu, B.; Yaramasu, V.; Zargari, N.R. Model Predictive Control With Common-Mode Voltage Injection for Modular Multilevel Converter. IEEE Trans. Ind. Inform. 2017, 32, 1767–1778. [Google Scholar] [CrossRef]
- Nguyen, M.H.; Kwak, S. Predictive Nearest-Level Control Algorithm for Modular Multilevel Converters with Reduced Harmonic Distortion. IEEE Access 2020, 9, 4769–4783. [Google Scholar] [CrossRef]
- Xia, L.; Chen, Z.; Yang, Q.; Xu, L.; Bao, S.; Wu, B. Research on Grid-side Control for a Medium Voltage Direct-Connected Cascaded Inverter Based on Model Predictive Control Under Weak Grid Conditions. In Proceedings of the 2021 IEEE 16th Conference on Industrial Electronics and Applications (ICIEA), Chengdu, China, 1–4 August 2021; pp. 627–632. [Google Scholar]
- Somasekhar, V.T.; Gopakumar, K. Three-level inverter configuration cascading two two-level inverters. IEE Proc.-Electic Power Appl. 2003, 150, 245–254. [Google Scholar] [CrossRef]
- Baiju, M.R.; Mohapatra, K.K.; Somasekhar, V.T.; Gopakumar, K.; Umanand, L. A five-level inverter voltage space phasor generation for an open-end winding induction motor drive. In Proceedings of the Eighteenth Annual IEEE Applied Power Electronics Conference and Exposition, Miami Beach, FL, USA, 9–13 February 2003; pp. 826–832. [Google Scholar]
- Nabae, A.; Takahashi, I.; Agaki, H. A new neutral-point clamped PWM inverter. IEEE Trans. Ind. Appl. 1981, 17, 518–523. [Google Scholar] [CrossRef]
- Zhang, G.; Su, Y.; Zhou, Z.; Geng, Q. A Carrier-Based Discontinuous PWM Strategy of NPC Three-Level Inverter for Common-Mode Voltage and Switching Loss Reduction. Electronics 2021, 10, 3041. [Google Scholar] [CrossRef]
- Riedemann, J.; Jara, W.; Pesce, C.; Peña, R. Predictive Current Control of an Induction Machine for Solar Pumping Application. In Proceedings of the IEEE International Conference on Automation/XXIII Congress of the Chilean Association of Automatic Control (ICA-ACCA), Concepción, Chile, 17–19 October 2018; pp. 1–5. [Google Scholar]
- Karamanakos, P.; Geyer, T. Guidelines for the Design of Finite Control Set Model Predictive Controllers. IEEE Trans. Power Electron. 2020, 35, 7434–7450. [Google Scholar] [CrossRef]
- Apap, M.; Clare, J.C.; Wheeler, P.; Bland, M.; Bradley, K. Comparison of losses in matrix converters and voltage source inverters. In IEE Seminar on Matrix Converters, (Digest No 2003/10100); Institution of Engineering and Technology: Birmingham, UK, 2003; pp. 4/1–4/6. [Google Scholar]









| Inverter State Nº | Inverter State Nº | ||
|---|---|---|---|
| 1 | 5 | ||
| 2 | 6 | ||
| 3 | 7 | ||
| 4 | 0 |
| Inv.1 State | Inv.2 State | Inv.3 State | Inv.4 State | Inv.1 State | Inv.2 State | Inv.3 State | Inv.4 State | ||
|---|---|---|---|---|---|---|---|---|---|
| 0 | 0 | 0 | 0 | 3 | 3 | 0 | 3 | ||
| 1 | 1 | 0 | 0 | 5 | 5 | 0 | 5 | ||
| 4 | 4 | 0 | 0 | 2 | 2 | 0 | 2 | ||
| 4 | 4 | 1 | 1 | 1 | 1 | 3 | 3 | ||
| 1 | 1 | 4 | 4 | 3 | 3 | 1 | 1 | ||
| 4 | 4 | 0 | 4 | 5 | 5 | 1 | 1 | ||
| 1 | 1 | 0 | 1 | 1 | 1 | 5 | 5 | ||
| 4 | 4 | 0 | 1 | 6 | 6 | 3 | 7 | ||
| 1 | 1 | 0 | 4 | 3 | 3 | 0 | 6 | ||
| 3 | 3 | 6 | 6 | 5 | 5 | 0 | 2 | ||
| 2 | 2 | 5 | 5 | 2 | 2 | 5 | 7 | ||
| 3 | 3 | 0 | 0 | 6 | 6 | 0 | 5 | ||
| 0 | 0 | 5 | 5 | 2 | 6 | 0 | 5 | ||
| 5 | 5 | 3 | 3 | 4 | 4 | 0 | 5 | ||
| 3 | 3 | 5 | 5 | 4 | 4 | 0 | 3 | ||
| 6 | 6 | 0 | 1 | 6 | 6 | 0 | 2 | ||
| 2 | 2 | 0 | 1 | 3 | 3 | 0 | 5 | ||
| 6 | 6 | 3 | 3 | 5 | 5 | 0 | 3 | ||
| 5 | 5 | 2 | 2 | 3 | 3 | 5 | 4 | ||
| 6 | 6 | 0 | 0 | 1 | 1 | 0 | 3 | ||
| 5 | 5 | 0 | 7 | 4 | 4 | 0 | 6 | ||
| 2 | 2 | 0 | 0 | 4 | 4 | 0 | 2 | ||
| 1 | 1 | 3 | 2 | 1 | 1 | 0 | 5 | ||
| 3 | 3 | 0 | 1 | 1 | 1 | 3 | 4 | ||
| 5 | 5 | 0 | 1 | 4 | 4 | 1 | 6 | ||
| 2 | 2 | 0 | 4 | 4 | 4 | 1 | 2 | ||
| 6 | 6 | 3 | 2 | 1 | 1 | 5 | 2 | ||
| 3 | 3 | 5 | 6 | 6 | 6 | 3 | 2 | ||
| 5 | 5 | 3 | 2 | 3 | 3 | 1 | 6 | ||
| 2 | 2 | 5 | 6 | 5 | 5 | 1 | 2 | ||
| 6 | 6 | 0 | 6 |
| Symbol | Quantity | Value |
|---|---|---|
| DC voltage | 2000 V | |
| Power | 1000 hp | |
| Stator resistance | 0.45 Ω | |
| Stator inductance | 0.0854 H | |
| Rotor resistance | 0.54 Ω | |
| Rotor inductance | 0.086 H | |
| Magnetizing inductance | 0.077 H | |
| Pole pairs | 6 | |
| Sampling frequency | 2 kHz |
Disclaimer/Publisher’s Note: The statements, opinions and data contained in all publications are solely those of the individual author(s) and contributor(s) and not of MDPI and/or the editor(s). MDPI and/or the editor(s) disclaim responsibility for any injury to people or property resulting from any ideas, methods, instructions or products referred to in the content. |
© 2023 by the authors. Licensee MDPI, Basel, Switzerland. This article is an open access article distributed under the terms and conditions of the Creative Commons Attribution (CC BY) license (https://creativecommons.org/licenses/by/4.0/).
Share and Cite
Cataldo, P.; Jara, W.; Riedemann, J.; Pesce, C.; Andrade, I.; Pena, R. A Predictive Current Control Strategy for a Medium-Voltage Open-End Winding Machine Drive. Electronics 2023, 12, 1070. https://doi.org/10.3390/electronics12051070
Cataldo P, Jara W, Riedemann J, Pesce C, Andrade I, Pena R. A Predictive Current Control Strategy for a Medium-Voltage Open-End Winding Machine Drive. Electronics. 2023; 12(5):1070. https://doi.org/10.3390/electronics12051070
Chicago/Turabian StyleCataldo, Patricio, Werner Jara, Javier Riedemann, Cristian Pesce, Iván Andrade, and Rubén Pena. 2023. "A Predictive Current Control Strategy for a Medium-Voltage Open-End Winding Machine Drive" Electronics 12, no. 5: 1070. https://doi.org/10.3390/electronics12051070
APA StyleCataldo, P., Jara, W., Riedemann, J., Pesce, C., Andrade, I., & Pena, R. (2023). A Predictive Current Control Strategy for a Medium-Voltage Open-End Winding Machine Drive. Electronics, 12(5), 1070. https://doi.org/10.3390/electronics12051070

