Development of a Methane-Detection System Using a Distributed Feedback Laser Diode and Hollow-Core Photonic Crystal Fiber
Abstract
:1. Introduction
2. Theory and System Structure
2.1. Infrared Absorption of CH4
2.2. System Structure
2.3. Theories and Equations
3. Materials and Methods
3.1. Developed Instrument
3.2. Photovoltaic Conversion
3.3. Hollow-Core Photonic Crystal Fiber
4. Results and Discussion
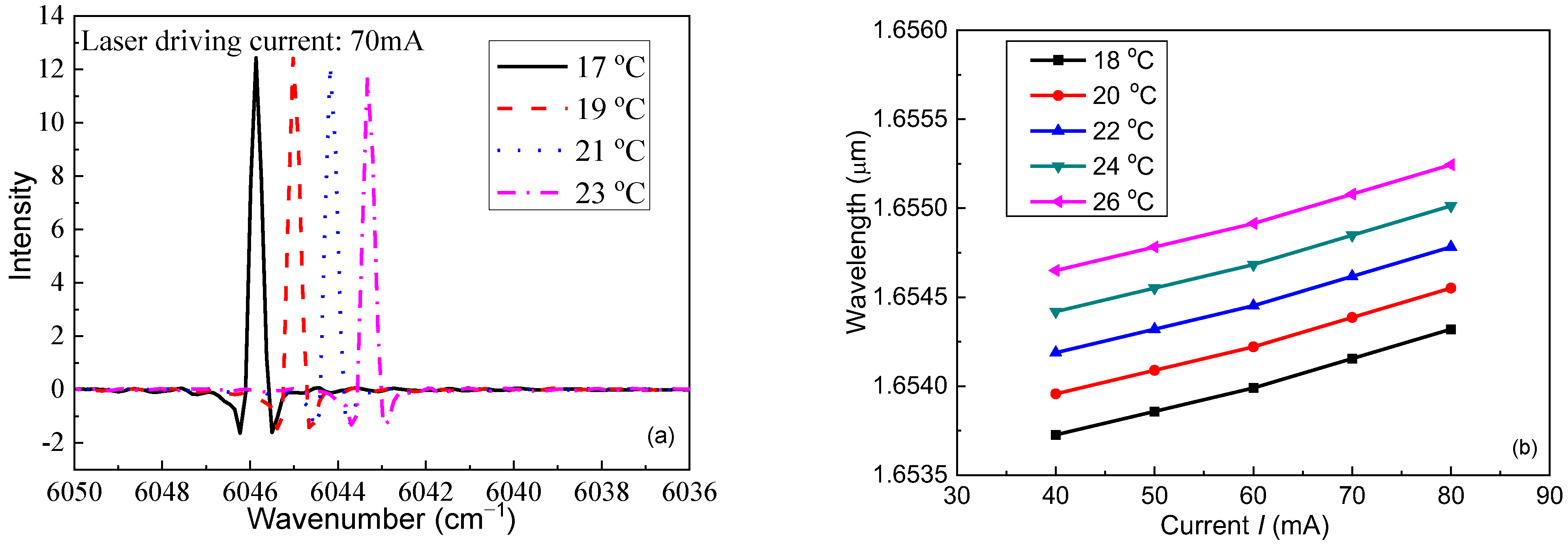
4.1. Spectrum Tests
4.2. Calibration Tests
4.3. Stablity Tests
4.4. Standard Gas Tests
4.5. Allan Deviation
5. Conclusions
Author Contributions
Funding
Data Availability Statement
Acknowledgments
Conflicts of Interest
References
- Gupta, P.K.; Gupta, V.; Sharma, C.; Das, C.; Purkait, N.; Adhya, T.K.; Pathak, H.; Ramesh, R.; Baruah, K.K.; Venkatratnam, L.; et al. Development of methane emission factors for indian paddy fields and estimation of national methane budget. Chemosphere Environ. Toxicol. Risk Assess. 2009, 74, 590–598. [Google Scholar] [CrossRef]
- Mujiyo, M.; Sunarminto, B.H.; Hanudin, E.; Widada, J.; Syamsiyah, J. Methane production potential of soil profile in organic paddy field. Soil Water Res. 2017, 12, 212–219. [Google Scholar]
- Xie, B.H.; Zhou, Z.X.; Zheng, X.H.; Zhang, W.; Zhu, J.G. Modeling methane emissions from paddy rice fields under elevated atmospheric carbon dioxide conditions. Adv. Atmos. Sci. 2010, 27, 100–114. [Google Scholar] [CrossRef]
- Rizzo, A.; Boano, F.; Revelli, R. Groundwater impact on methane emissions from flooded paddy fields. Adv. Water Resour. 2015, 83, 340–350. [Google Scholar]
- Ma, J.L.; Chen, W.Y.; Niu, X.J.; Fan, Y.M. The relationship between phosphine, methane, and ozone over paddy field in Guangzhou, China. Glob. Ecol. Conserv. 2019, 17, e00581. [Google Scholar] [CrossRef]
- Palmer, P.I.; Feng, L.; Lunt, M.F.; Parker, R.J.; Bosch, H.; Lan, X.; Lorente, A.; Borsdorff, T. The added value of satellite observations of methane for understanding the contemporary methane budget. Philos. Trans. R. Soc. A 2021, 379, 20210106. [Google Scholar] [CrossRef]
- Yang, S.S.; Chang, H.L. Methane emission from paddy fields in Taiwan. Biol. Fertil. Soils 2001, 33, 157–165. [Google Scholar] [CrossRef]
- Xu, X.Y.; Zhang, M.M.; Xiong, Y.S.; Yuan, J.F.; Shaaban, M.; Zhou, W.; Hu, R.G. The influence of soil temperature, methanogens and methanotrophs on methane emissions from cold waterlogged paddy fields. J. Environ. Manag. 2020, 264, 110421. [Google Scholar] [CrossRef]
- Wang, J.M.; Murphy, J.G.; Geddes, J.A.; Winsborough, C.L.; Basiliko, N.; Thomas, S.C. Methane fluxes measured by eddy covariance and static chamber techniques at a temperate forest in central Ontario, Canada. Biogeosciences 2013, 10, 4371–4382. [Google Scholar]
- Zou, J.W.; Huang, Y.; Zheng, X.H.; Wang, Y.S.; Chen, Y.Q. Static opaque chamber-based technique for determination of net exchange of CO2 between terrestrial ecosystem and atmosphere. Chin. Sci. Bull. 2004, 49, 81–388. [Google Scholar] [CrossRef]
- Gao, Z.R.; Ni, J.Z.; Yan, J.Q.; Cao, W.X. Water-efficient sensing method for soil profiling in the paddy field. Int. J. Agric. Biol. Eng. 2018, 11, 207. [Google Scholar] [CrossRef]
- Zhang, G.B.; Zhang, W.X.; Yu, H.Y.; Ma, J.; Xu, H.; Yagi, K. Fraction of CH4 oxidized in paddy field measured by stable carbon isotopes. Plant Soil 2015, 389, 349–359. [Google Scholar]
- Zhang, G.B.; Ji, Y.; Liu, G.; Ma, J.; Xu, H. Carbon isotope fractionation during CH4 transport in paddy fields. Sci. China Earth Sci. 2014, 57, 1664–1670. [Google Scholar] [CrossRef]
- Bai, Y.R.; Yu, H.J.; He, C.J.; Miao, Z.W.; Dou, R.; Zhang, Y.T.; Lin, X.C. A numerical simulation of a near-infrared three-channel trace ammonia detection system using hollow core photonic crystal fiber. Optik 2021, 227, 166006. [Google Scholar] [CrossRef]
- Dar, S.A.; Qazi, G. Investigation and comparison of sensitivity of LiDAR to laser physical parameters at 750 m using different detection techniques. Optik 2020, 219, 165281. [Google Scholar]
- Davis, N.M.; Hodgkinson, J.; Francis, D.; Tatam, R.P. Sensitive detection of methane at 3.3 µm using an integrating sphere and Interband Cascade Laser. InOptical Sens. Detect. IV 2016, 9899, 133–138. [Google Scholar]
- Jiao, Y.X.; Fan, H.J.; Gong, Z.F.; Yang, K.; Shen, F.Y.; Chen, K.; Mei, L.; Peng, W.; Yu, Q.X. Trace CH4 Gas Detection Based on an Integrated Spherical Photoacoustic Cell. Appl. Sci. 2021, 11, 4997. [Google Scholar]
- Catia, L.; Sonia, O.P.; Nelia, A.; Maxime, L.; Mederic, L.; Florinda, M.C.; Joao, L.P.; Christophe, C.; Carlos, M. Cortisol in-fiber ultrasensitive plasmonic immunosensing. IEEE Sens. J. 2021, 21, 3028–3034. [Google Scholar]
- Maxime, L.; Mederic, L.; Marc, D.; Karima, C.; Erik, G.; Christophe, C. Electro-plasmonic assisted biosensing of proteins and cells at the surface of optical fiber. Biosens. Bioelectron. 2023, 220, 114867. [Google Scholar]
- Battuvshin, G.; Menzel, L. Adjusting line quantum sensing to improve leaf area index measurements and estimations in forests. MethodsX 2022, 9, 101805. [Google Scholar]
- Han, S.W.; Kim, M.W. An information entropy interpretation of photon absorption by dielectric media. Opt. Commun. 2020, 454, 124447. [Google Scholar] [CrossRef]
- Lizama, C.; Murillo-Arcila, M.; Trujillo, M. Fractional Beer-Lambert law in laser heating of biological tissue. AIMS Math. 2022, 7, 14444–14459. [Google Scholar]
- Krainova, V.P.; Smirnov, B.M. Description of Emission Processes in Molecular Gases Based with the HITRAN Database. J. Exp. Theor. Phys. 2019, 129, 9–18. [Google Scholar]
- Stankiewicz, K.; Stolarczyka, N.; Jóźwiak, H.; Thibault, F.; Wcisło, P. Accurate calculations of beyond-Voigt line-shape parameters from first principles for the He-perturbed HD rovibrational lines: A comprehensive dataset in the HITRAN DPL format. J. Quant. Spectrosc. Radiat. Transf. 2021, 276, 107911. [Google Scholar] [CrossRef]
- Skinner, F.M.; Gordon, L.E.; Hill, C.; Hargreaves, R.J.; Lockhart, K.E.; Rothman, L.S. Referencing Sources of Molecular Spectroscopic Data in the Era of Data Science: Application to the HITRAN and AMBDAS Databases. Atoms 2020, 8, 16. [Google Scholar] [CrossRef]
- Bin, L.; Chuantao, Z.; Huifang, L.; Qixin, H.; Weilin, Y.; Yu, Z.; Jiaoqing, P.; Yiding, W. Development and measurement of a near-infrared CH4 detection system using 1.654 m wavelength-modulated diode laser and open reflective gas sensing probe. Sens. Actuators B Chem. 2016, 225, 188–198. [Google Scholar]
- Wen, Y.P.; Strand, C.L.; Hanson, R.K. Analysis of laser absorption gas sensors employing scanned-wavelength modulation spectroscopy with 1f-phase detection. Appl. Phys. B 2020, 126, 17. [Google Scholar]
- Li, G.L.; Dong, E.; Ji, W.H. A Near-Infrared Trace CO2 Detection System Based on an 1,580 nm Tunable Diode Laser Using a Cascaded Integrator Comb (CIC) Filter-Assisted Wavelength Modulation Technique and a Digital Lock-in Amplifier. Front. Phys. 2019, 7, 199. [Google Scholar]
- Cong, M.L.; Zhang, S.S.; Wang, Y.D.; Liang, D.C.; Zhou, K.P. Design of a Laser Driver and Its Application in Gas Sensing. Appl. Sci. 2022, 12, 5883. [Google Scholar] [CrossRef]
- Roy, A.; Chakraborty, A.L. AIntensity modulation-normalized calibration-free 1f and 2f wavelength modulation spectroscopy. IEEE Sens. J. 2020, 20, 12691–12701. [Google Scholar] [CrossRef]
- Qiao, S.D.; Ma, Y.F.; He, Y.; Yu, X.; Zhang, Z.H.; Tittel, F.K. A Sensitive Carbon Monoxide Sensor Based on Photoacoustic Spectroscopy with a 2.3 µm Mid-Infrared High-Power Laser and Enhanced Gas Absorption. Sensors 2019, 19, 3202. [Google Scholar]
- Genner, A.; Martín-Mateos, P.; Moser, H.; Lendl, B. A Quantum Cascade Laser-Based Multi-Gas Sensor for Ambient Air Monitoring. Sensors 2020, 20, 1850. [Google Scholar]
- Abbas, Z.; Shah, A.N.; Hassan, M.T.; Ali, M.S.; Din, Q.U.; Naseem, B.; Asghar, A.; Haider, A. Performance evaluation of novel solar-powered domestic air cooler with Peltier modules. J. Mech. Sci. Technol. 2020, 34, 4797–4807. [Google Scholar]
- Umberto, L.; Giulia, G. Seebeck–Peltier Transition Approach to Oncogenesis. Appl. Sci. 2020, 10, 7166. [Google Scholar]
- Wang, J.; Cao, P.G.; Li, X.J.; Song, X.X.; Zhao, C.; Zhu, L. Experimental study on the influence of Peltier effect on the output performance of thermoelectric generator and deviation of maximum power point. Energy Convers. Manag. 2019, 200, 112074. [Google Scholar]










| Refs | Temperature Control Method | Active Size Diameter of Photodiodes | Absorption Length | Gas Cell |
|---|---|---|---|---|
| [26] | Analog PID Control | InGaAs 0.5 mm | 40 cm | Open and reflective, without the need of gas-pump |
| This paper | Optimized programs and circuits | InGaAs 0.8 mm | 100 cm | HC-PCF fixed in a gas cell |
Disclaimer/Publisher’s Note: The statements, opinions and data contained in all publications are solely those of the individual author(s) and contributor(s) and not of MDPI and/or the editor(s). MDPI and/or the editor(s) disclaim responsibility for any injury to people or property resulting from any ideas, methods, instructions or products referred to in the content. |
© 2023 by the authors. Licensee MDPI, Basel, Switzerland. This article is an open access article distributed under the terms and conditions of the Creative Commons Attribution (CC BY) license (https://creativecommons.org/licenses/by/4.0/).
Share and Cite
Li, B.; Wang, Q.; Wang, Q.; Huang, Y. Development of a Methane-Detection System Using a Distributed Feedback Laser Diode and Hollow-Core Photonic Crystal Fiber. Electronics 2023, 12, 838. https://doi.org/10.3390/electronics12040838
Li B, Wang Q, Wang Q, Huang Y. Development of a Methane-Detection System Using a Distributed Feedback Laser Diode and Hollow-Core Photonic Crystal Fiber. Electronics. 2023; 12(4):838. https://doi.org/10.3390/electronics12040838
Chicago/Turabian StyleLi, Bin, Qingpeng Wang, Qizheng Wang, and Yitong Huang. 2023. "Development of a Methane-Detection System Using a Distributed Feedback Laser Diode and Hollow-Core Photonic Crystal Fiber" Electronics 12, no. 4: 838. https://doi.org/10.3390/electronics12040838
APA StyleLi, B., Wang, Q., Wang, Q., & Huang, Y. (2023). Development of a Methane-Detection System Using a Distributed Feedback Laser Diode and Hollow-Core Photonic Crystal Fiber. Electronics, 12(4), 838. https://doi.org/10.3390/electronics12040838
