Convolution Power Ratio Based on Single-Ended Protection Scheme for HVDC Transmission Lines
Abstract
:1. Introduction
- The differences in the mathematical analytical formulas for transient frequency domain power under internal and external faults in the HVDC transmission line are deduced. Through detailed analysis of the frequency characteristics of faults that are internal and external to the area, it can be concluded that convolutional power is beneficial for amplifying the characteristic differences between internal and external faults to the area caused by the boundary of the DC line.
- In this study, by introducing the convolutional power in the time domain as the power in the frequency domain, it is proposed that the convolutional power of the short time window is used as the main criterion, and the ratio of the convolutional power of the long and short windows is used as the auxiliary criterion for the identification of high-impedance faults. The two complement each other to realize the fault pole, fault direction and fault identification, internal and external to the area.
- The proposed scheme can extract high- and low-frequency information without frequency domain extraction tools; the calculation principle is simple; the convolution power ratio at different frequencies is less affected by the transition resistance; and the proposed protection scheme is still adaptable under weak boundary conditions.
2. Analysis of Frequency Domain Characteristics and Influencing Factors
2.1. Frequency Domain Characteristics of Internal and External Faults
2.2. Influencing Factors
2.2.1. The Dispersion of Traveling Waves
2.2.2. The Reflection and Refraction of Traveling Waves
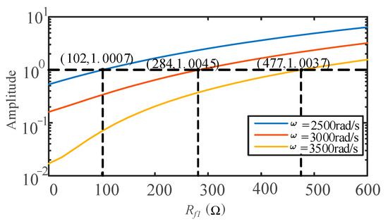
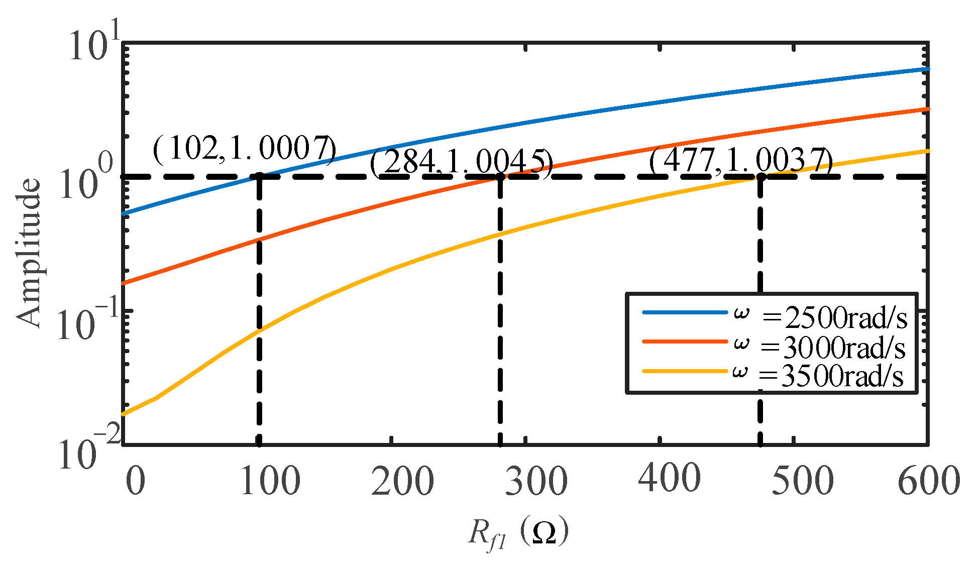
2.2.3. Influence of Fault Resistance
- (1)
- In the same frequency band, as Rf1 increases, Pf1(jω) decreases, resulting in |GP(jω)| rapidly increasing; that is, the GP(jω) characteristics are greatly affected by the transition resistance.
- (2)
- At the same transition resistor, as the frequency increases, |GP(jω)| decreases, indicating that in the high-frequency band, the fault protection method based on frequency extraction can better detect internal and external faults.
3. Ratio Characteristics of the Frequency Domain Power at Different Frequencies
- (1)
- In the case of ω1 > ω2 = 600 rad/s, regardless of the transition resistance and frequency ω1, GPratio < 1, Pratio1 < Pratio2.
- (2)
- As ω1 gradually increases, |GPratio| also further decreases, while |GPratio| denotes Pratio2/Pratio1, so the difference between the quantitative indicators Pratio1 and Pratio2 is more obvious, which further amplifies the difference between internal and external faults.
- (3)
- In the same way, when ω1 is fixed, as the transition resistance Rf1 gradually increases, the value of |GPratio| changes slightly, indicating that the ability of |GPratio| to identify internal and external faults is less affected by the transition resistance ability Rf1 at different frequencies.
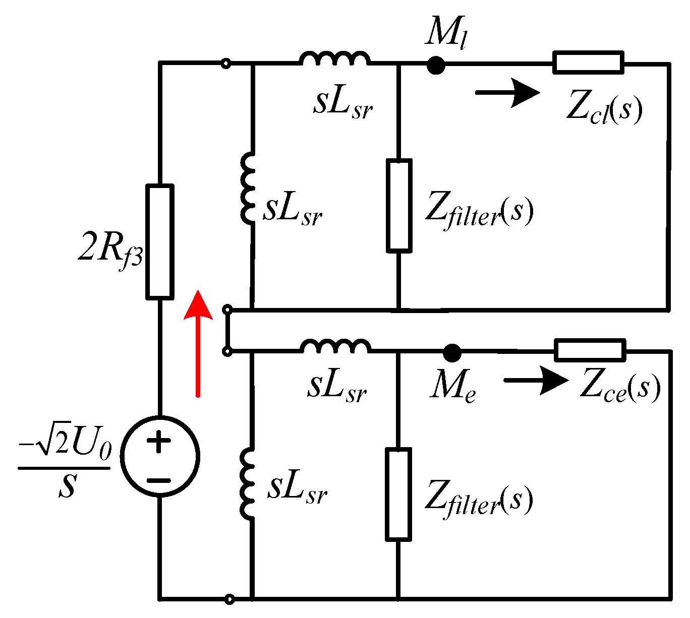
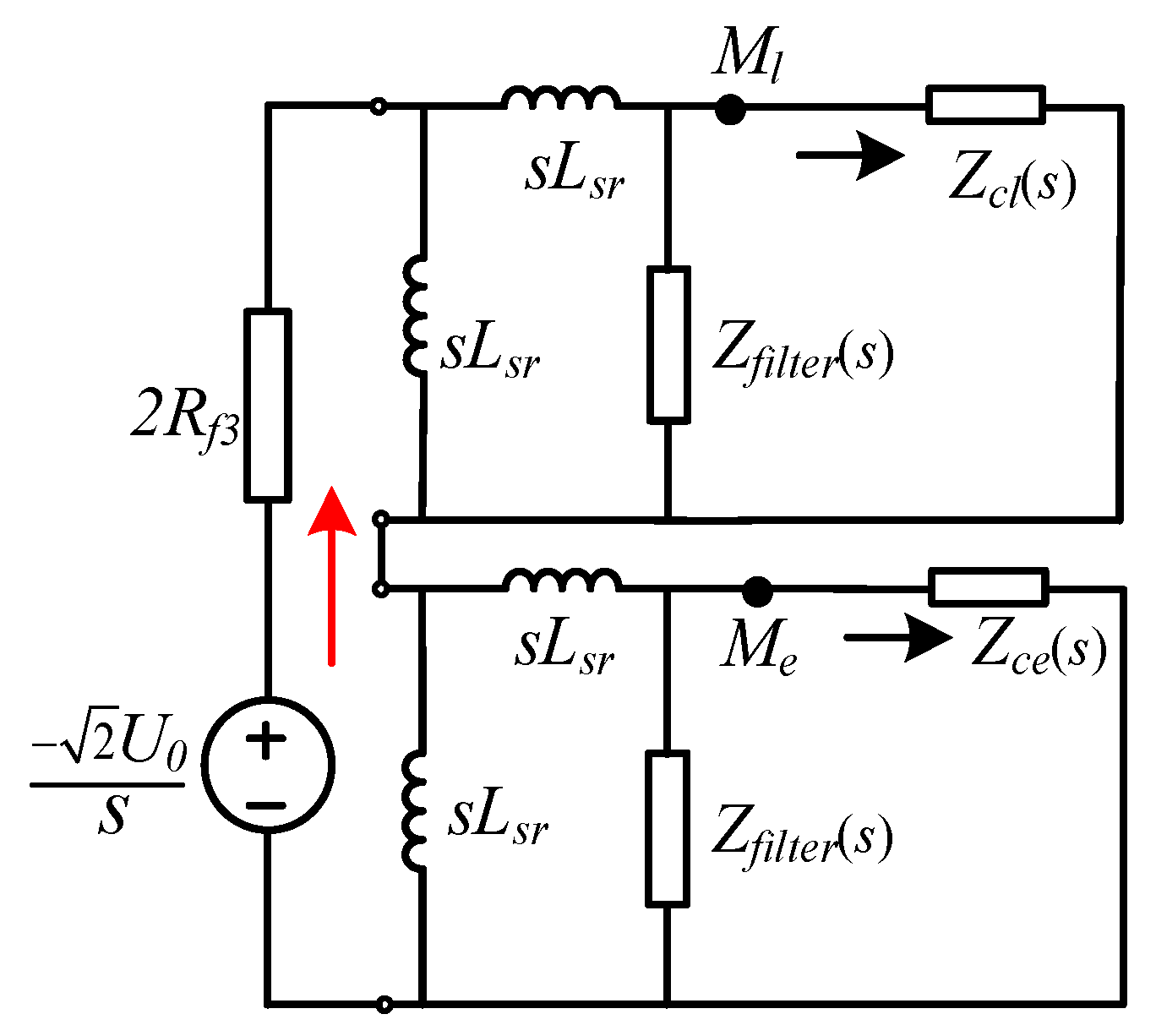
4. Single-Ended Protection Scheme of HVDC Transmission Lines
4.1. Starting Criterion
4.2. Fault Identification Criteria of the Internal and External Faults
4.2.1. Main Criterion 1
4.2.2. Main Criterion 2
4.3. Fault Direction Identification Criterion
4.4. Fault Pole Selection Identification Criterion
5. Case Analysis
5.1. Identification of Internal and External Faults
- (1)
- In the case of low-impedance grounding faults (internal faults), the maximum value of the high-frequency convolution power of each fault type, PpT1max, is much greater than that of PpT1set, and the A1 value is obtained by the calculation using Equation (27) in order to determine the fault direction; therefore, main criterion 1 in the proposed protection scheme can quickly and reliably identify the low-impedance grounding faults in the region.
- (2)
- As shown in the shaded font in Table 3, when the transition resistance is set at a distance of 1414 km from the protection installation to a fault of 600 Ω, PpT1max is equal to 882, which is less than the setting value PpT1set, which may cause the effect of rejection.
- (3)
- In order to prevent the rejection phenomenon when the high-impedance grounding fault is made, this study proposes to use main criterion 2 to identify the high-impedance grounding fault inside and outside the region. From the observations in the table, it can be seen that the Pratio under the internal fault (f1) is greater than that under the external fault (f2), and the value of the Pratio is still greater than that of the metal fault outside the area on the inverter side, even if the transition resistance is 600 Ω, which ensures the identification of the high-impedance fault in the area via main criterion 2.
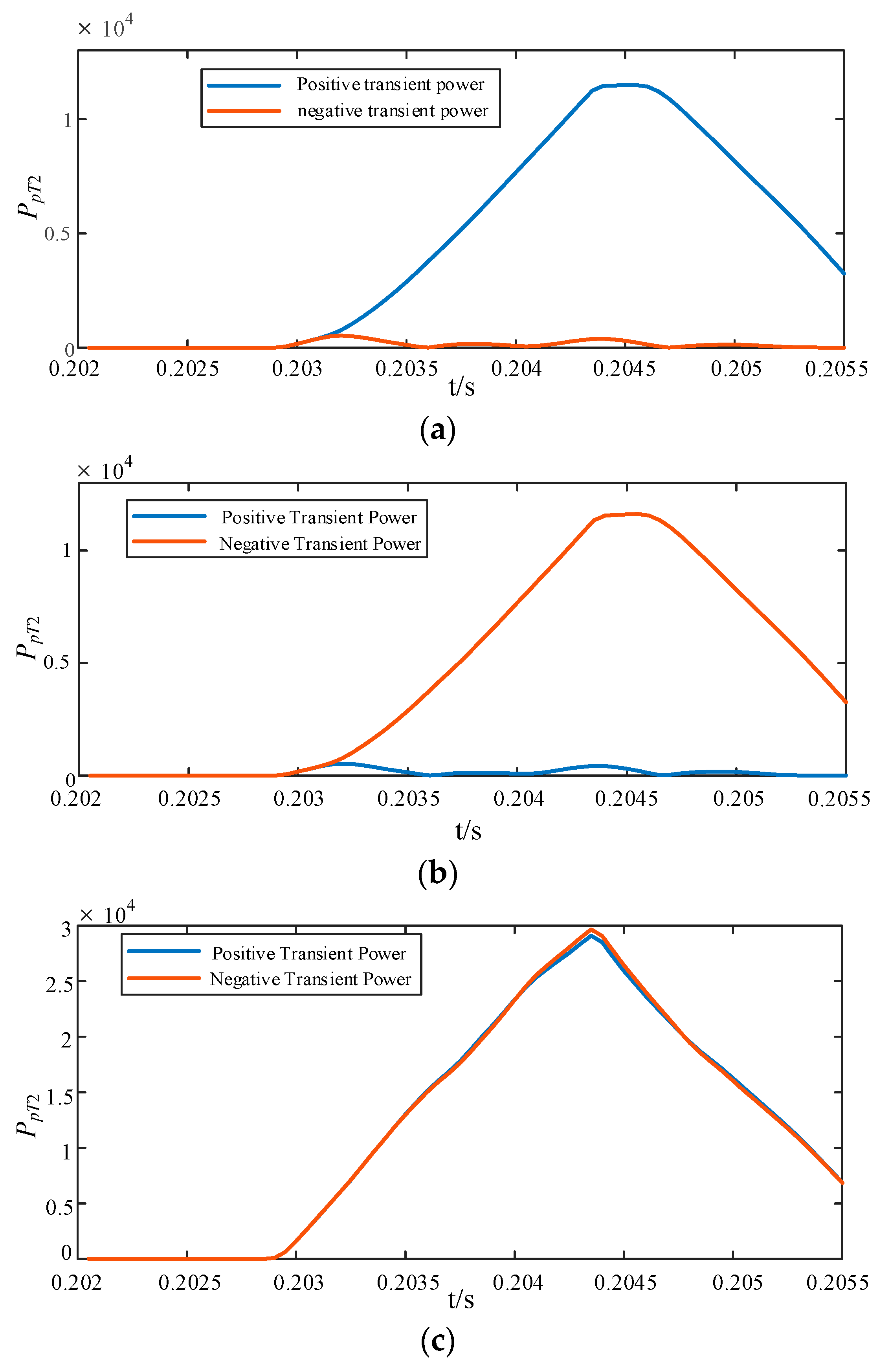
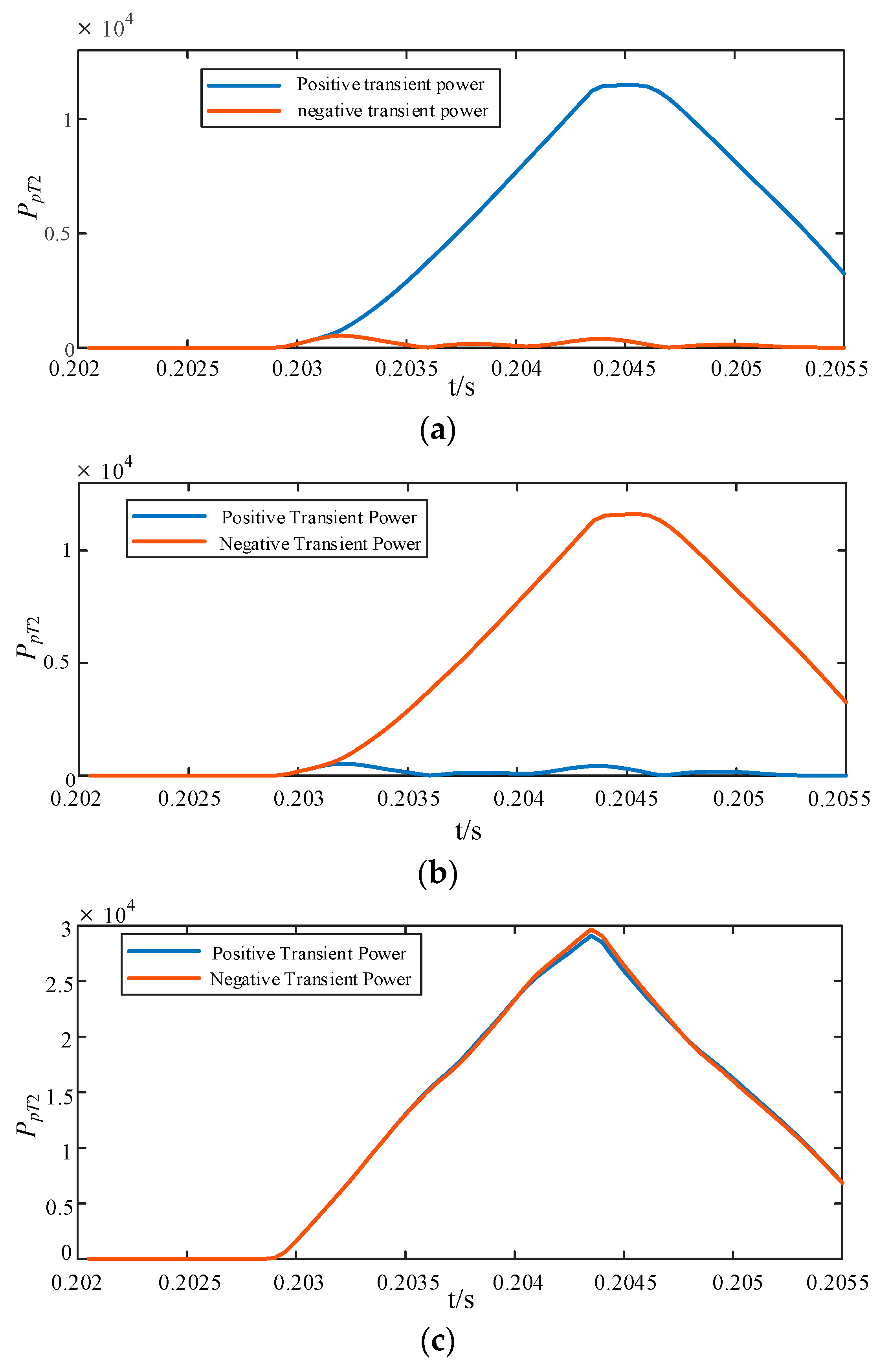
5.2. Faulty Pole Selection
- (1)
- When a positive pole fault occurs in the system, the ratio of transient convolution power between the positive and negative poles on the rectifier side is much greater than 1.5.
- (2)
- When a negative pole fault occurs in the system, the ratio of transient convolution power between the positive and negative poles on the rectifier side is less than 0.67.
- (3)
- When an interpole fault occurs in the system, the ratio of transient convolution power between the positive and negative poles on the rectifier side is between 0.67 and 1.5.
5.3. Adaptability Analysis of the Noise Interference
5.4. Adaptability Analysis of the Boundary Element
5.5. Comparison Studies
- (1)
- Time-domain method:
- (2)
- Frequency domain method
6. Conclusions
- (1)
- By analyzing the characteristic difference in frequency domain power after DC line fault in detail, a new protection criterion was proposed using the power ratio of different frequencies under long and short windows. The scheme is less affected by transition resistance and fault distance, and the principle of the proposed scheme is simple. It can obtain the frequency domain component of a fault traveling wave without relying on other methods, such as extracting frequency domain information.
- (2)
- The Yunnan–Guangzhou ±800 kV HVDC project was built to verify the performance of the proposed fault rapid identification scheme. In all cases, it can accurately identify faults, has the identification ability of up to 600 Ω transition resistance, and has low requirements for the sampling frequency of the protection device. Only a 10 kHz sampling frequency is required to identify faults inside and outside the area. Moreover, when the SNR is greater than 40 dB, noise has little effect on the proposed method.
- (3)
- Compared with other time-domain methods based on measuring point voltage change and frequency domain methods based on wavelet transform extraction, the proposed protection scheme can identify different types of short-circuit faults and has a strong ability to withstand excessive resistance. The proposed protection scheme can also be applied to HVDC transmission systems with weak boundary characteristics.
Author Contributions
Funding
Data Availability Statement
Conflicts of Interest
References
- Ma, J.; Liu, C.; Wu, Y. A Pilot Directional Protection Scheme for LCC-HVDC Lines Based on Grounding Resistance. IEEE Trans. Power Deliv. 2022, 37, 4460–4473. [Google Scholar] [CrossRef]
- Chen, Y.; Wen, M.; Wang, Z. A pilot directional protection based on low frequency voltage variable quantity for LCC-HVDC transmission lines. Int. J. Electr. Power Energy Syst. 2023, 145, 108512. [Google Scholar] [CrossRef]
- Zhang, Y.; Li, Y.; Song, J. A New Protection Scheme for HVDC Transmission Lines Based on the Specific Frequency Current of DC Filter. IEEE Trans. Power Deliv. 2019, 34, 420–429. [Google Scholar] [CrossRef]
- Yu, S.; Wang, X.; Zhang, X. A sensitive single-end DC line fault detection method for MMC-HVDC grids using reactor voltage ratio. Int. J. Electr. Power Energy Syst. 2023, 148, 108953. [Google Scholar] [CrossRef]
- Ma, J.; Kang, J.; Zhou, Y.; Cheng, P. A Novel Pilot Protection Scheme for AC Line Connected to LCC-HVDC Inverter Based on Composite-Mode Model. IEEE Trans. Power Deliv. 2022, 37, 1627–1639. [Google Scholar] [CrossRef]
- Liu, Z.; Gao, H.; Luo, S. Non-unit protection for long-distance LCC-HVDC transmission lines based on waveform characteristics of voltage travelling waves. Int. J. Electr. Power Energy Syst. 2023, 150, 109079. [Google Scholar] [CrossRef]
- Rafael, L. One-terminal traveling wave-based transmission line protection for LCC-HVDC systems. Electr. Power Syst. Res. 2023, 223, 109650. [Google Scholar]
- Liu, J.; Lin, S.; Zhong, W.; Liu, L. Improved Identification Method and Fault Current Limiting Strategy for Commutation Failure in LCC-HVDC. J. Mod. Power Syst. Clean Energy 2022, 10, 1761–1772. [Google Scholar] [CrossRef]
- Li, R.; Xu, L.; Yao, L. DC fault detection and location in meshed multi-terminal HVDC systems based on DC reactor voltage change rate. IEEE Trans. Power Deliv. 2016, 32, 1516–1526. [Google Scholar] [CrossRef]
- Sneath, J.; Rajapakse, A. Fault detection and interruption in an earthed HVDC grid using ROCOV and hybrid DC breakers. IEEE Trans. Power Deliv. 2016, 31, 973–981. [Google Scholar] [CrossRef]
- Yang, S.; Xiang, W.; Li, R.; Lu, X.; Zuo, W.; Wen, J. An improved DC fault protection algorithm for MMC HVDC grids based on modal domain analysis. IEEE J. Emerg. Sel. Top. Power Electron. 2020, 8, 4086–4099. [Google Scholar] [CrossRef]
- Zhang, C.; Song, G.; Dong, X. A Novel Traveling Wave Protection Method for DC Transmission Lines Using Current Fitting. IEEE Trans. Power Deliv. 2020, 35, 2980–2991. [Google Scholar] [CrossRef]
- Zhang, C.; Li, Y.; Song, G.; Dong, X. Fast and Sensitive Nonunit Protection Method for HVDC Grids Using Levenberg–Marquardt Algorithm. IEEE Trans. Ind. Electron. 2022, 69, 9064–9074. [Google Scholar] [CrossRef]
- Jia, K.; Chen, M.; Shi, Z.; Chen, C.; Zhao, G.; Bi, T. Single-ended protection scheme of flexible DC transmission line based on concavity and convexity of the current limiting reactor voltage integration. Power Syst. Technol. 2021, 45, 4498–4505. [Google Scholar]
- Yu, X.; Gu, J.; Zhang, X. A non-unit transmission line protection scheme for MMC-HVDC grids based on a novel distance criterion. Int. J. Electr. Power Energy Syst. 2023, 151, 109151. [Google Scholar] [CrossRef]
- Li, B.; Li, Y.; He, J.; Wen, W. A Novel Single-Ended Transient-Voltage-Based Protection Strategy for Flexible DC Grid. IEEE Trans. Power Deliv. 2019, 34, 1925–1937. [Google Scholar] [CrossRef]
- Liu, N.; Li, Y.; Li, S.; Li, T.; Yu, L. A pilot protection for LCC-HVDC transmission lines based on measured surge impedance at tuning frequency. IEEE Trans. Power Deliv. 2022, 37, 2090–2103. [Google Scholar] [CrossRef]
- Dai, Z.; Liu, N.; Zhang, C.; Pan, X.; Wang, J. A pilot protection for HVDC transmission lines based on transient energy ratio of DC filter link. IEEE Trans. Power Deliv. 2020, 35, 1695–1706. [Google Scholar] [CrossRef]
- Shu, H.; Wang, S.; Lei, S. Single-ended protection method for hybrid HVDC transmission line based on transient voltage characteristic frequency band. Prot. Control. Mod. Power Syst. 2023, 26, 8. [Google Scholar] [CrossRef]
- Duan, J.; Li, H.; Lei, Y.; Tuo, L. A novel non-unit transient based boundary protection for HVDC transmission lines using synchrosqueezing wavelet transform. Int. J. Electr. Power Energy Syst. 2020, 115, 105478. [Google Scholar] [CrossRef]
- Zhang, D.; Wu, C.; He, J.; Luo, G. Research on single-ended protection principle of LCC-VSC three-terminal DC transmission line. Int. J. Electr. Power Energy Syst. 2022, 135, 107512. [Google Scholar] [CrossRef]
- Zhang, Y.; Cong, W. An improved single-ended frequency-domain-based fault detection scheme for MMC-HVDC transmission lines. Int. J. Electr. Power Energy Syst. 2021, 125, 106463. [Google Scholar] [CrossRef]
- Psaras, V.; Tzelepis, D.; Vozikis, D.; Adam, G.; Burt, G. Non-unit protection for HVDC grids: An analytical approach for wavelet transform-based schemes. IEEE Trans. Power Deliv. 2021, 36, 2634–2645. [Google Scholar] [CrossRef]
- Ye, D.; Xie, F.; Hao, Z. A novel identification scheme of lightning disturbance in HVDC transmission lines based on CEEMD-HHT. CPSS Trans. Power Electron. 2021, 6, 145–154. [Google Scholar] [CrossRef]
- Wei, D. Novel convolution and correlation theorems for the fractional fourier transform. Optik 2016, 127, 3669–3675. [Google Scholar] [CrossRef]
- Chen, X.; Li, H.; Liang, Y.; Wang, G. A protection scheme for hybrid multi-terminal HVDC networks utilizing a time-domain transient voltage based on fault-blocking converters. Int. J. Electr. Power Energy Syst. 2020, 118, 105825. [Google Scholar] [CrossRef]




















| Parameter | Rectifier Side | Inverter Side |
|---|---|---|
| Rated power | 5000 MW | 5000 MW |
| Rated DC current(I0) | 3125 A | 3125 A |
| Rated DC voltage(U0) | ±800 kV | ±800 kV |
| Boundary element (Lsr) | 0.15 H | 0.15 H |
| Filter | Cf1 = 1.2 μF Cf2 = 2.824 μF Cf3 = 2.647 μF Lf1 = 9.345 mH Lf2 = 15.919 mH Lf3 = 4.6556 mH | |
| Criterion | Δth1 | Δth2 | PpT1.set | RP |
|---|---|---|---|---|
| Setting value | 20 | 1 | 900 | 0.08 |
| Fault Distance/km | Fault Type | Transition Resistance/Ω | Fault Direction | A1 | PpT2max | PpT1max | RP | Action of Main Criteria 1 and 2 |
|---|---|---|---|---|---|---|---|---|
| 0 | PGF | 0 | FF | −5916 | 18,743.6 | 5915.6 | 0.316 | (1√, 2√) |
| 160 | FF | −1354.8 | 4235.4 | 1354.8 | 0.320 | (1√, 2√) | ||
| 200 | FF | −1051 | 3301.7 | 1050.7 | 0.318 | (1√, 2×) | ||
| 400 | FF | −396 | 1258.2 | 395.9 | 0.315 | (1×, 2√) | ||
| 600 | FF | −196 | 623.4 | 196.1 | 0.314 | (1×, 2√) | ||
| PPF | 0 | FF | −30,961 | 88,281.1 | 30,960.9 | 0.350 | (1√, 2√) | |
| 600 | FF | −2899 | 9027.5 | 2898.8 | 0.321 | (1√, 2√) | ||
| 400 | PGF | 0 | FF | −3871 | 15,410.5 | 3870.6 | 0.251 | (1√, 2√) |
| 160 | FF | −1111.5 | 3933.8 | 1111.5 | 0.283 | (1√, 2√) | ||
| 200 | FF | −876 | 3087.5 | 875.6 | 0.284 | (1×, 2√) | ||
| 400 | FF | −353 | 1212.4 | 352.7 | 0.291 | (1×, 2√) | ||
| 600 | FF | −186 | 615.9 | 186.3 | 0.303 | (1×, 2√) | ||
| PPF | 0 | FF | −27,464 | 116,074.2 | 27,464.2 | 0.237 | (1√, 2√) | |
| 600 | FF | −2482 | 9400.4 | 2481.7 | 0.264 | (1√, 2√) | ||
| 800 | PGF | 0 | FF | −3802 | 14,702.4 | 3801.7 | 0.259 | (1√, 2√) |
| 160 | FF | −952.9 | 3736.3 | 952.9 | 0.255 | (1√, 2√) | ||
| 200 | FF | −752 | 2936.1 | 751.9 | 0.256 | (1×, 2√) | ||
| 400 | FF | −358 | 1194.2 | 357.8 | 0.300 | (1×, 2√) | ||
| 600 | FF | −190 | 616.0 | 190.0 | 0.308 | (1×, 2√) | ||
| PPF | 0 | FF | −22,507 | 105,594.7 | 22,506.7 | 0.213 | (1√, 2√) | |
| 600 | FF | −2227 | 9245.6 | 2227.2 | 0.241 | (1√, 2√) | ||
| 1418 (f1) | PGF | 0 | FF | −3795 | 17,621.5 | 3795.1 | 0.215 | (1√, 2√) |
| 160 | FF | −882.0 | 3985.7 | 882.0 | 0.221 | (1×, 2√) | ||
| 200 | FF | −719 | 3691.0 | 718.8 | 0.195 | (1×, 2√) | ||
| 400 | FF | −283 | 1520.2 | 283.1 | 0.186 | (1×, 2√) | ||
| 600 | FF | −167 | 808.6 | 166.5 | 0.206 | (1×, 2√) | ||
| PPF | 0 | FF | −16,061 | 15,331.7 | 16,061.0 | 0.179 | (1√, 2√) | |
| 600 | FF | −1918 | 614.0 | 1918.3 | 0.178 | (1√, 2√) | ||
| f2 | PGF | 0 | FF | −601 | 15,429.1 | 600.9 | 0.039 | (1×, 2×) |
| f3 | PGF | 0 | RF | 0.00345 | / | 2235.11 | / | / |
| Fault Type | Resistance/Ω | PpT2max/PnT2max |
|---|---|---|
| 400 km PGF | 0 | 64.710 |
| 200 | 65.547 | |
| 400 | 52.141 | |
| 600 | 43.037 | |
| 400 km NGF | 0 | 0.0181 |
| 200 | 0.0220 | |
| 400 | 0.0208 | |
| 600 | 0.0228 | |
| 400 km PPG | 0 | 0.9989 |
| 200 | 0.9988 | |
| 400 | 0.9990 | |
| 600 | 0.9991 |
| Fault Distance | Fault Resistance | Noisy PpT1max | Noisy RP | Criterion Action | No-Noise TTV | Noisy TTV |
|---|---|---|---|---|---|---|
| 600 km | 0 Ω | 3694.5 | 0.254 | (1√, 2√) | 0.413 | 0.396 |
| 200 Ω | 768.5 | 0.267 | (1×, 2√) | 0.357 | 0.365 | |
| 400 Ω | 280.9 | 0.253 | (1×, 2√) | 0.383 | 0.435 | |
| 600 Ω | 158.2 | 0.272 | (1×, 2√) | 0.318 | 0.350 | |
| f2 | 0 Ω | 851.7 | 0.053 | (1×, 2×) | 0.168 | 0.265 |
| Fault Distance | Fault Resistance | Lsr /H | PpT2max | PpT1max | RP | Protection Margin (PpT1max/PpT1.set, RP/RP.set) |
|---|---|---|---|---|---|---|
| 0 km | 0 Ω | 0.15 | 18,743 | 5915.6 | 0.316 | (6.572, 3.950) |
| 0.10 | 2215 | 6682.4 | 0.302 | (4.330, 2.649) | ||
| 0.05 | 26,628 | 7505.4 | 0.282 | (2.414, 1.270) | ||
| 600 Ω | 0.15 | 623.4 | 196.1 | 0.314 | (0.218, 3.925) | |
| 0.10 | 587.0 | 185.3 | 0.316 | (0.120, 2.772) | ||
| 0.05 | 567.2 | 176.0 | 0.310 | (0.056, 1.396) | ||
| 1418 km (f1) | 0 Ω | 0.15 | 17,621 | 3795.1 | 0.286 | (4.217, 2.687) |
| 0.10 | 17,145 | 3175.6 | 0.185 | (2.058, 1.614) | ||
| 0.05 | 18,172 | 4062.3 | 0.224 | (1.307, 1.010) | ||
| 600 Ω | 0.15 | 808.6 | 166.5 | 0.290 | (0.185, 2.575) | |
| 0.10 | 698.6 | 132.2 | 0.292 | (0.128, 2.561) | ||
| 0.05 | 663.7 | 138.1 | 0.295 | (0.044, 1.329) | ||
| f2 | 0 Ω | 0.15 | 15,429 | 600.9 | 0.039 | / |
| 0.10 | 18,008 | 1028.8 | 0.057 | / | ||
| 0.05 | 18,684 | 2072.7 | 0.111 | / |
Disclaimer/Publisher’s Note: The statements, opinions and data contained in all publications are solely those of the individual author(s) and contributor(s) and not of MDPI and/or the editor(s). MDPI and/or the editor(s) disclaim responsibility for any injury to people or property resulting from any ideas, methods, instructions or products referred to in the content. |
© 2023 by the authors. Licensee MDPI, Basel, Switzerland. This article is an open access article distributed under the terms and conditions of the Creative Commons Attribution (CC BY) license (https://creativecommons.org/licenses/by/4.0/).
Share and Cite
Peng, G.; Chen, L.; Wu, J.; Jiang, H.; Wang, Z.; Li, H. Convolution Power Ratio Based on Single-Ended Protection Scheme for HVDC Transmission Lines. Electronics 2023, 12, 4883. https://doi.org/10.3390/electronics12234883
Peng G, Chen L, Wu J, Jiang H, Wang Z, Li H. Convolution Power Ratio Based on Single-Ended Protection Scheme for HVDC Transmission Lines. Electronics. 2023; 12(23):4883. https://doi.org/10.3390/electronics12234883
Chicago/Turabian StylePeng, Guangqiang, Lixin Chen, Jiyang Wu, Huimin Jiang, Zhijie Wang, and Haifeng Li. 2023. "Convolution Power Ratio Based on Single-Ended Protection Scheme for HVDC Transmission Lines" Electronics 12, no. 23: 4883. https://doi.org/10.3390/electronics12234883
APA StylePeng, G., Chen, L., Wu, J., Jiang, H., Wang, Z., & Li, H. (2023). Convolution Power Ratio Based on Single-Ended Protection Scheme for HVDC Transmission Lines. Electronics, 12(23), 4883. https://doi.org/10.3390/electronics12234883
