Next Article in Journal
A Heuristic Integrated Scheduling Algorithm Based on Improved Dijkstra Algorithm
Previous Article in Journal
Digital Twins Temporal Dependencies-Based on Time Series Using Multivariate Long Short-Term Memory
 
 
Font Type:
Arial Georgia Verdana
Font Size:
Aa Aa Aa
Line Spacing:
Column Width:
Background:
Article

Research on a Permanent Magnet Synchronous Motor Sensorless Anti-Disturbance Control Strategy Based on an Improved Sliding Mode Observer

1
School of Electrical Engineering, Hebei University of Science and Technology, Shijiazhuang 050018, China
2
Hebei New Star Electric Motor Co., Ltd., Shijiazhuang 050018, China
*
Author to whom correspondence should be addressed.
Electronics 2023, 12(20), 4188; https://doi.org/10.3390/electronics12204188
Submission received: 13 August 2023 / Revised: 27 September 2023 / Accepted: 3 October 2023 / Published: 10 October 2023

Abstract

:
This paper designs an improved sliding mode observer (ISMO) compound control scheme combined with a disturbance observer to solve the chattering and anti-disturbance problems of the traditional sliding mode observer (SMO) for permanent magnet synchronous motor (PMSM) in a sensorless control system. First, the sign function is replaced by an exponential type input function, and the fuzzy control rules are developed to automatically regulate the boundary layer control coefficient of the exponential input function, thereby changing the convergence characteristics of the exponential input function and improving the system observation accuracy. Then, the integral sliding mode surface and the quadratic radical term function of the square of the state variable are introduced to reduce system chattering. The proposed ISMO is proved using Lyapunov’s law to guarantee the whole system is stable. Based on the exponential input function and the integral sliding surface, an improved sliding mode disturbance observer (ISMDO) is constructed as a feed-forward compensator, which can optimize the dynamic performance of the improved observation system and ensure the strong robustness of the system by compensating the q-axis current. Finally, MATLAB/Simulink simulation and experimental platform verification have been carried out, which confirms the feasibility of the proposed composite control scheme.

1. Introduction

Permanent magnet synchronous motors (PMSMs) have the advantages of low losses, flexible and diverse motor sizes, etc., and are widely employed in national defence, vehicles and other scientific and technological fields [1,2]. In the traditional PMSM vector control system, mechanical sensors, such as Hall position sensors and rotary encoders, are utilized to gather the data on the motor rotor, which affects the stability and the anti-disturbance ability of the system, and, at the same time, increases the operating cost [3]. At present, the most effective way to solve this problem is to use position sensorless control technology to obtain the information of the motor rotor, including the back electromotive force (EMF) fundamental wave estimation method suitable for medium and high speed occasions and the high frequency injection method suitable for low speed occasions. The methods based on back EMF fundamental wave estimation mainly include the extended Kalman filter method, model reference adaptive system and sliding mode observer (SMO), etc. Among them, thanks to the superiority of the variable structure control system, the SMO is insensitive to parameter changes and external disturbances. Compared with the other methods, the SMO is the preferred method in the speed sensorless control system [4,5].
However, the traditional SMO has problems, such as discontinuous switching characteristics, low-pass filter delay and system chattering contradicting with the anti-disturbance ability of the system, which reduce the observation accuracy [6,7]. The method of enhancing the stability of sliding mode observers is the mainstream research direction [8,9].
The literature [10] replaces the sign function in the conventional SMO with the saturation function. The sliding mode system changes linearly in the saturated layer, which reduces the system chattering. This method can make the SMO run at a lower speed. Based on the tracking performance of the system, the new reaching law is introduced in references [11,12], which can markedly reduce the time to reach the sliding surface and smooth the output signal. In reference [13], a super-twisting sliding mode controller, combined with finite-time extended state observer, is developed, which can accelerate convergence to the origin within a finite time. Moreover, greater estimation accuracy and faster convergence speed are achieved. A nonlinear fast terminal sliding surface is adopted in reference [14]; even if the moving point of the system is far away from the sliding surface, the error can be quickly converged in a limited time, and the chattering in the sliding phase is weakened. Reference [15] uses a specific full-order terminal sliding mode manifold to design the system, which eliminates chattering and avoids the nonsingular phenomenon of terminal sliding mode. The combination of the adaptive SMO and the improved phase-locked loop (PLL) can dynamically adjust the observer gain according to the back EMF, and achieves improved observation accuracy [16,17]. Fuzzy control can be used to change the sliding mode gain in real time, which effectively weakened the chattering of the system and improved the reliability of observation [18,19]. Reference [20] proposed a SMO based on fuzzy control, replacing the sign function with the sigmoid function as the switching function, and adaptively adjusting the boundary layer thickness of the function by establishing a corresponding fuzzy control system, changing the convergence characteristics of the switching function and thereby improving the observation performance.
However, the choice of switching gain is always limited due to the indeterminability of external disturbances [21,22]. If the selected switching gain is smaller than the upper limit of the disturbance, the disturbance cannot be completely suppressed, resulting in a decrease in system stability. On the contrary, if the gain is too large, the chattering problem will be aggravated. At present, the most effective way to answer this problem is to design the feed-forward compensation link, by estimating the disturbance value, to achieve less chattering under the condition of strong anti-disturbance. Reference [23] proposed a chattering reduction disturbance observer to perform a spectral analysis on the input of the system, the estimated disturbance and the state of the system; then, the influence of the disturbance on the controlled state was obtained and chattering was reduced. An extended sliding mode disturbance observer, based on exponential plus proportional reaching law, is adopted to enhance the disturbance rejection performance of the system, but the system is more complex and the amount of calculation increases [24]. In short, aiming at the performance of the SMO, it is essential to design a reasonable reaching law and sliding mode surface as well as the disturbance observer.
This paper introduces an ISMO, which can distinctly reduce the speed fluctuation of the PMSM sensorless control system and enhance the observation accuracy by combining with the ISMDO. The ISMO uses the exponential input function as the switching function, and the boundary layer control coefficient of the exponential input function is adaptively adjusted by introducing the fuzzy control rules. The integral sliding mode surface and the quadratic radical term function of the square of the state variable are introduced to reduce system chattering. Based on the exponential input function and integral sliding surface, an ISMDO is constructed as a feed-forward compensator, which can ensure the robustness by compensating the q-axis current, and a better dynamic response of the improved observation system will be achieved. The rest of the article is as follows: in the second part, the ISMO is designed and the stability is proved. In the third part, the ISMDO is designed and the parameters of the ISMDO are adjusted. The comparative simulation and experimental verification have been carried out in the fourth part and the fifth part, which fully prove the feasibility of the scheme. Finally, the conclusion is drawn in the sixth part.

2. Design of ISMO

2.1. Mathematical Model of PMSM

Assuming that the three-phase windings of the motor are symmetrical, in the α-β coordinate system, the mathematical model of a surface-mounted PMSM is written as follows:
d d t i α i β = R L s i α i β + 1 L s u α u β 1 L s e α e β
where i α , i β , u α and u β are the stator current and voltage; R is the phase resistance; e α and e β are the back EMF; and L s is the phase inductance, where the back EMF is
e α e β = ω e ψ f sin θ e cos θ e
where ω e is the electrical angular velocity of the motor; θ e is the electrical angle of the motor; and ψ f is the permanent magnet flux linkage.
For a surface-mounted PMSM, the electromagnetic torque equation is as follows:
T e = 3 2 P n ψ f i q
Factor 3/2 is used to ensure constant power. The motion equation of the motor is formed as follows:
T e T L = J d ω m d t
where i q is the q-axis component of the stator current, P n is the number of pole pairs, T L is the load torque, ω m is the mechanical angular velocity, and J is the moment of inertia.
From the above formula, it states that the back EMF of the PMSM includes the information of the rotor speed and the position. The magnitude of the back EMF is intimately connected to the motor speed. As a result, the sensorless control strategy of PMSM can be realized by processing the back EMF.

2.2. Traditional SMO

Combining the sliding mode variable structure control theory and (1), the SMO is constructed as follows:
d d t i ^ α i ^ β = R L s i ^ α i ^ β + 1 L s u α u β 1 L s v α v β
where i ^ α and i ^ β are the observed values of the stator current, respectively, and v α and v β are the sliding mode control law.
Taking the difference between (1) and (5), we can obtain:
d d t i ˜ α i ˜ β = R L s i ˜ α i ˜ β + 1 L s e α e β 1 L s v α v β
where i ˜ α and i ˜ β are the estimation errors of the stator current, respectively. By using the sign function, v α and v β can be developed as follows:
v α v β = k sgn ( i ^ α i α ) sgn ( i ^ β i β )
In (7), k is the control function gain.

2.3. Design of Improved SMO

In this research, the integral sliding mode surface is defined as follows:
s = s α s β = i ^ α i α + R L s i ^ α i α d t i ^ β i β + R L s i ^ β i β d t
The traditional SMOs rely on the sign function to realize switching. Because the sign function has discontinuity, when the control variable fluctuates along the sliding mode surface, there are serious chattering phenomena and a poor dynamic steady-state response. In the process of switching from open-loop operation to closed-loop operation, it is easy to cause switching failure.
In this paper, the exponential input function f(s) is developed without using the sign function used in the traditional SMO as the switching function, and the quadratic radical term function of the square of the state variable i ˜ 2 + i ˜ ˙ 2 is introduced to optimize the exponential reaching law s ˙ = k 1 sgn ( s ) k 2 s to reduce the chattering of the SMO. The obtained improved control law expression is
s ˙ = k 1 i ˜ 2 + i ˜ ˙ 2 f ( s ) k 2 s
The expression for the exponential input function f(s) is
f ( s ) = 1 s a 1 a 2 s 2 0 s < a 1 a 2 s 2 a < s < 0 1 s a
where a > 0, the boundary layer of the switching function, can be controlled by changing the value of a.
From this, the designed ISMO is expressed as follows:
d d t i ^ α i ^ β = R L s i ^ α i ^ β + 1 L s u α u β 1 L s k 1 i ˜ 2 α + i ˜ ˙ 2 α f ( s ) k 2 s α k 1 i ˜ 2 β + i ˜ ˙ 2 β f ( s ) k 2 s β
According to (11) and (1), it will obtain
d d t i ˜ α i ˜ β = R L s i ˜ α i ˜ β + 1 L s e α e β 1 L s k 1 i ˜ 2 α + i ˜ ˙ 2 α f ( s ) k 2 s α k 1 i ˜ 2 β + i ˜ ˙ 2 β f ( s ) k 2 s β
In the scheme based on the ISMO, the stability is analyzed by using the Lyapunov theorem. Combining Equations (4) and (6), it can be obtained by
s ˙ = R s s + L e s K 1 i ˜ 2 + i ˜ ˙ 2 f ( x ) K 2 s
where R s is the resistor matrix, R s = R / L s ; s is the sliding surface; L is the inductance matrix, L = 1 / L s ; and e s is the back EMF.
The Lyapunov function is selected as follows:
V = 1 2 s T s
where s = s α s β T . The sliding mode system is stable when V ˙ < 0 . Its stability condition expression is
V ˙ = s T s ˙ = R s s T s + L s T e s K 1 i ˜ 2 + i ˜ ˙ 2 f ( x ) K 2 s < 0
Because R s s T s is a negative definite, it only needs to satisfy L s T e s K 1 i ˜ 2 + i ˜ ˙ 2 f ( x ) K 2 s < 0 to make the system satisfy the stability condition:
K 1 > max e α , e β

2.4. Design of Fuzzy Controller

Figure 1 shows the curve of the f (s). The parameter a not only affects the boundary layer of f (s), but is also closely related to the convergence characteristics of the function; when a becomes larger, the boundary layer of the f (s) increases and the convergence speed of the function slows down. At this time, the chattering is small, but the switching speed of the system slows down. When a becomes smaller, the boundary layer of the f (s) decreases, the convergence speed of the function is accelerated and the chattering is larger at this time. Therefore, a reasonable value of a is essential to ensure that the system achieves a balance between fast convergence and small chattering.
In this article, a fuzzy control system is employed to automatically regulate the value of a in the f (s). The value of a is negatively correlated with the chattering. The value of a should be reduced when the trajectory of the system is far away from the s to accelerate the speed of the system in the approaching motion stage. On the contrary, the value of a should be increased when the trajectory of the system is close to the s to promote the stability of the SMO.
Fuzzification, fuzzy reasoning and defuzzification are the three steps of fuzzy control. Mamdani is employed as the reasoning algorithm, and the center of gravity method is adopted to defuzzify the judgment. The established fuzzy control rules are listed in Table 1. The fuzzy language for input quantities is {NB, NM, NS, ZO, PS, PM, PB} and the fuzzy language for output quantities is {ZO, PS, PM, PB}. For example, when the inputs of s and s ˙ are NB and NM, respectively, the output a is ZO. The membership function of the s, s ˙ and a is illustrated in Figure 2a,b. Figure 2c illustrates the surface of fuzzy rules.

2.5. Design of Back EMF Observer

A back EMF observer is presented in this article to guarantee the estimation accuracy of the ISMO.
Referring to [2], it will obtain
d e α d t = ω e e β d e β d t = ω e e α
According to (17), the observer is built as follows:
d d t e ^ α = ω ^ e e ^ β l e ^ α e α d d t e ^ β = ω ^ e e ^ α l e ^ β e β d d t ω ^ e = e ^ α e α e ^ β e ^ β e β e ^ α
where e ^ α and e ^ β are the observed values of back EMF; ω ^ e is the observed value of electrical angular velocity; and l (l > 0) is the gain of observer. Equation (18) can be used to filter out high-frequency signals. Combining (17) and (18), the adaptive law of back EMF is calculated as follows:
d d t e ˜ α = ω ^ e e ^ β + ω e e β l e ˜ α d d t e ˜ β = ω ^ e e ^ α ω e e α l e ˜ β d d t ω ˜ e = e ˜ α e ^ β e ^ α e ˜ β
where e ˜ α and e ˜ β are the estimation errors of the back EMF and ω ˜ e is the electrical angular velocity observation error.

2.6. Design of Phase-Locked Loop

The position and speed data in the back EMF are usually calculated using the arctangent function method:
θ ^ = arctan e ^ α e ^ β
The expression for the estimated electrical angular velocity is
ω ^ e = e ^ α 2 + e ^ β 2 ψ f
The SMO inevitably experiences high-frequency chattering during operation. When using the arctangent algorithm to estimate the rotor position information, higher-order harmonics are introduced and amplified, which increases error. Aiming at reducing the impact of high-frequency buffeting on position estimation, the PLL is introduced to obtain the above information from the Eα and Eβ. Figure 3 shows the structure of the PLL.
According to Figure 3, the expression of the error signal is
Δ e = e ^ α cos θ ^ e ^ β sin θ ^ = k sin ( θ θ ^ )
where k = ω ^ e ψ f ; when the rotor position error θ θ ^ < π / 6 , it is considered that sin ( θ θ ^ ) = θ θ ^ holds true and (22) can be transformed into
Δ e = k sin ( θ θ ^ ) k θ θ ^
According to (23), when the value of θ θ ^ is small enough, Δ e is approximately a linear function of the estimated angle error. Taking Δ e as an input, the proportional integral (PI) controller will modify the back EMF signal in order to obtain the rotor speed information; then, the rotor position is calculated through the integral operation to avoid the interference caused by the high-frequency signal to the estimation.
According to Figure 3, the transfer equation of the input term is
G ( s ) = θ ^ θ = 2 ξ ω n s + ω n 2 s 2 + 2 ξ ω n s + ω n 2
where ξ = k K i , ω n = K p 2 k K i determines the bandwidth of the PI controller; the established ISMO is shown in Figure 4.

3. Design of Disturbance Observer

3.1. Improved SMDO

For the purpose of answering the conflict between the chattering phenomenon and the immunity of the sliding mode control system, an ISMDO is proposed in this research. An observation system is constructed using an exponential input function and the integral sliding surface. According to (3) and (4), and with the TL serving as the extended state variable, the PMSM’s extended state equation is constructed using the following equation:
ω ˙ = 3 P n ψ f 2 J i q 1 J T L T ˙ L = 0
The TL is regarded as a constant value because of the fast switching speed of the controller during the control period, that is, T ˙ L = 0 . On the basis of (25), taking the speed and the TL as the observation objects, the extended SMO is established as follows:
ω ^ ˙ = 3 P n ψ f 2 J i q 1 J T ^ L + U T ^ ˙ L = g U
where U = B f ( s ω ) is the sliding mode control law, a = 1; B is the sliding mode gain; T ^ L is the estimated value of load torque; and g is the feedback gain.
Substituting (27) into (28), we can obtain the disturbance observation error equation:
e ˙ 1 = 1 J e 2 + U e ˙ 2 = g U
where e 1 = ( ω ^ ω ) is the speed estimation error and e 2 = T ^ L T L is the TL estimation error. The traditional sliding mode disturbance observer (SMDO) uses the sign function controlling the switching of the system and e 1 = ( ω ^ ω ) as the sliding surface. In this research, the exponential input function f ( s ω ) is used as the function to achieve switching, and the integral sliding mode surface is selected as follows:
s ω = e 1 + K 3 e 1 d t
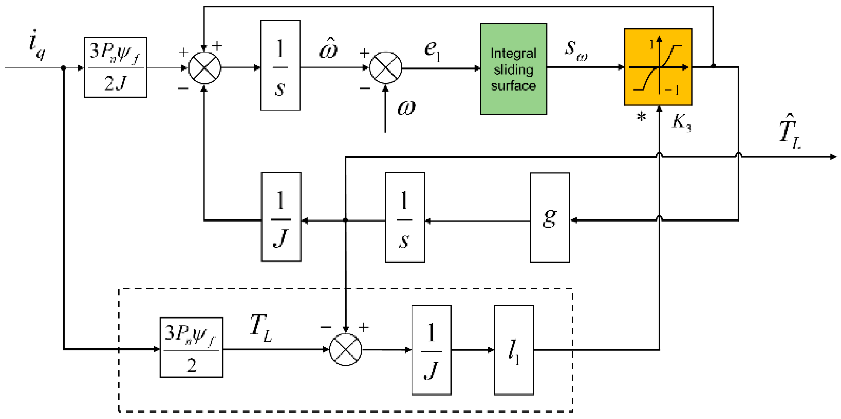
where K 3 is a constant. Introducing the integral sliding mode surface and f ( s ω ) can reduce the overshoot of the q-axis current when the load changes, and accelerate the time for the system to reach stability. In short, the ISMDO can enhance the dynamic property of the improved observation and ensure the strong robustness of the whole system. The improved sliding mode disturbance observer is illustrated in Figure 5.

3.2. Setting parameters of ISMDO

The generalized sliding mode arrival condition is s s ˙ 0 :
s s ˙ = e 1 e ˙ 1 = e 1 ( B f ( e 1 ) 1 J e 2 ) 0
Then, (29) is deduced:
B 1 J e 2
According to the selection range of B, the adaptive law of the sliding mode gain is designed as shown in (31), where l1 ≥ 1.
B = l 1 1 J e 2
It will satisfy the condition of s = s ˙ = 0 when the system trajectory enters the sliding surface, that is, e 1 = e ˙ 1 = 0 . According to (27):
g / J > 0
where J > 0 , so it can be determined that the selection range of the feedback gain is g < 0 .

4. Simulation Verification

The compound control scheme presented in this paper is simulated under the conditions of no-load constant speed and load disturbance variable speed. Based on Matlab, the position following, speed following, error and dynamic performance of the PMSM in the set cases are analyzed in detail.
The simulation verification of the ISMO is carried out in Simulink2019b, using a double closed-loop vector control system as the foundation, space vector pulse width modulation is employed as the PWM modulation method and the motor feedback is obtained through the ISMO. The EMF information is smoothed by the back EMF adaptive law, and finally the motor speed and rotor position are extracted through the PLL system. The parameters of the PMSM for the simulation and the experiment are given in Table 2. Figure 6 illustrates the established control block diagram.
According to the analysis in the above sections, the main simulation settings of the system are as follows: K1 = 200, K2 = 10000, K3 = 1, l = 2, g = −8, the initial load of the motor is 0 and the set speed is 1000 rpm.
The performance of the traditional SMO and the ISMO are shown in Figure 7 and Figure 8. The simulation findings show that the observer performance has improved. When the traditional SMO is stable, the speed observation error is 11 rpm, the position observation error is 0.053 rad, exhibiting a speed overshoot phenomenon. When the ISMO is stable, the speed observation error is 0.1 rpm and the position observation error is 0.023 rad. The speed overshoot phenomenon during the motor startup period has been improved in Figure 8a, compared with Figure 7a. Due to the integral sliding mode surface, the quadratic radical term function of the square of the state variable, as well as the continuous adjustment of the boundary layer by the fuzzy control rules in the ISMO, chattering is significantly reduced, and the introduction of the PLL contributes to the improving of the observation accuracy.
On the basis of the ISMO, the SMDO and the ISMDO are simulated and analyzed. Figure 9a shows the dynamic performance and the observed disturbance torque of the two systems under the same loading and unloading conditions. As shown, the performance of ISMDO is closer to the real load changes. Figure 9b shows the speed responses of the mentioned systems under the same loading and unloading conditions. By introducing feed-forward compensation generated by SMDO, the anti-disturbance property of the improved observation system is further guaranteed, the fluctuation of speed has decreased by approximately 2%, and, at the same time, by adopting the nonlinear sliding mode surface, the closed-loop system’s dynamic response is optimized.
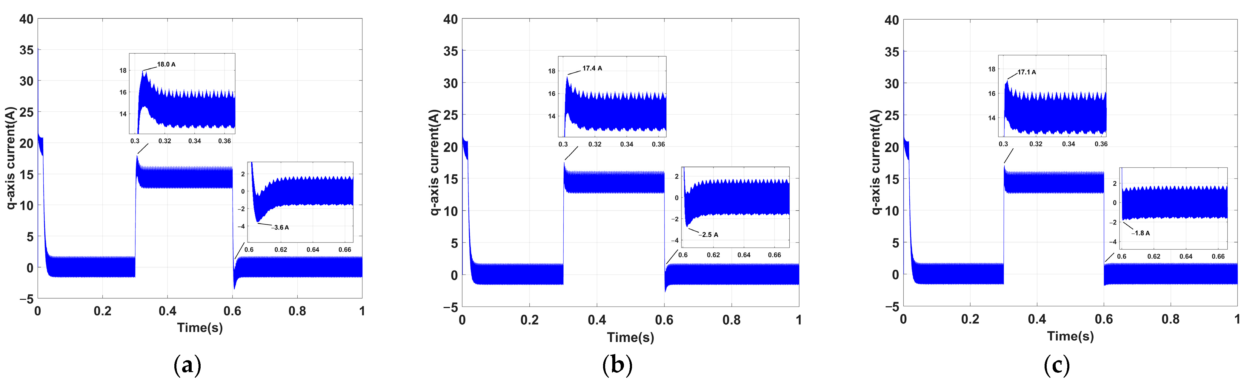
Figure 10 shows the simulation results of the q-axis current variation of the PMSM. During loading and unloading, the maximum and minimum values of ISMO are 18.0 A and −3.6 A, as shown in Figure 10a. The maximum and minimum values of ISMO+SMDO are 17.4 A and −2.5 A, as shown in Figure 10b. The maximum and minimum values of ISMO+ISMDO are 17.1 A and −1.8 A, as shown in Figure 10c. The simulation results clearly demonstrate that the composite control scheme of ISMO+ISMDO has smaller current overshoot and faster time to reach stability than the former.

5. Experimental Verification

The experimental verification in this paper has been carried out using the motor control model simulation training platform, as shown in Figure 11. The motor control model simulation training platform consists of a driving motor (PMSM), a high-speed precision coupling, a transformer, a speed/torque sensor, a loading motor (PMSM) and a central monitoring system. The main control CPU adopts DSP, which is commonly used in the market, and simulation results are more informative for practical research. The model is TMS320F28335 of TI Company. After the simulation is completed, the algorithm model is downloaded to the Rapid Control Prototyping (RCP) to achieve the experimental verification of the control process.
First, the speed is set to 1000 rpm and, after no-load startup, the experimental results of the traditional SMO are illustrated in Figure 12. When the traditional SMO is stable, the motor speed observation error is 28.1 rpm, the motor position observation error is 0.164 rad and there is a significant phenomenon of speed overshoot. The experimental results of the ISMO are illustrated in Figure 13. When the ISMO is stable, the motor speed observation error is 4.5 rpm, and the rotor position observation error is 0.061 rad. Through experimental comparison, it can be found that the ISMO is more accurate in estimating the speed, speed error and rotor position.
In the next experiment, the focus is on comparing the performance of the ISMO, the ISMO+SMDO and the ISMO+ISMDO when loading. The speed experiment results of the mentioned systems when the same load is suddenly added are shown in Figure 14, which states that the ISMO+ISMDO has the best anti-disturbance performance and the shortest recovery time.
Figure 15a–c show the q-axis current performance when the PMSM is suddenly loaded and unloaded. As shown in Figure 15c, when the load changes in the ISMO+ISMDO system, the q-axis current of the PMSM can reach stability faster with a relief of current overshoot, reflecting a good dynamic performance compared with Figure 15a,b.

6. Conclusions

In this paper, an improved SMO control scheme has been proposed to realize the accurate observation of a sensorless control system in PMSM. Compared with the conventional SMO, ISMO is more beneficial to solve the chattering problem. The proposed ISMO is proved using Lyapunov’s law to guarantee the whole system is stable. A fuzzy control system is established to automatically regulate the boundary layer of the exponential input function, which ensures the sensitivity of the system. Based on ISMO, a composite control scheme combined with ISMDO is introduced to improve the robustness of the PMSM. Due to the feed-forward compensation of ISMDO, the fluctuation in speed has decreased by approximately 2% when the load changes. Finally, comprehensive MATLAB/Simulink simulation and experimental verification are performed, which confirms the feasibility of the proposed composite control scheme in this paper.

Author Contributions

Writing—review and editing, supervision, project administration, funding acquisition, S.D.; review and editing, supervision, project administration, funding acquisition, Y.W.; methodology, software, writing—original draft preparation, Y.L. (Yang Liu).; validation, Y.L. (Ying Li) and Z.Y. All authors have read and agreed to the published version of the manuscript.

Funding

This work is supported by the Hebei Province science and technology support plan (No. 2054180ID), Science and Technology Program of Shijiazhuang, China (No. 236080499A).

Data Availability Statement

Due to the nature of this research, participants of this study did not agree for their data to be shared publicly, so supporting data is not available.

Conflicts of Interest

The authors declare no conflict of interest.

References

  1. Li, S.; Liu, Z. Adaptive Speed Control for Permanent-Magnet Synchronous Motor System With Variations of Load Inertia. IEEE Trans. Ind. Electron. 2009, 56, 3050–3059. [Google Scholar] [CrossRef]
  2. Ruuskanen, V.; Nerg, J.; Rilla, M.; Pyrhönen, J. Iron Loss Analysis of the Permanent-Magnet Synchronous Machine Based on Finite-Element Analysis Over the Electrical Vehicle Drive Cycle. IEEE Trans. Ind. Electron. 2016, 63, 4129–4136. [Google Scholar] [CrossRef]
  3. Mohd Zaihidee, F.; Mekhilef, S.; Mubin, M. Robust Speed Control of PMSM Using Sliding Mode Control (SMC)—A Review. Energies 2019, 12, 1669. [Google Scholar] [CrossRef]
  4. Sheng, L.; Xiaojie, G.; Lanyong, Z. Robust Adaptive Backstepping Sliding Mode Control for Six-Phase Permanent Magnet Synchronous Motor Using Recurrent Wavelet Fuzzy Neural Network. IEEE Access 2017, 5, 14502–14515. [Google Scholar] [CrossRef]
  5. Yin, Z.; Zhang, Y.; Cao, X.; Yuan, D.; Liu, J. Estimated Position Error Suppression Using Novel PLL for IPMSM Sensorless Drives Based on Full-Order SMO. IEEE Trans. Power Electron. 2022, 37, 4463–4474. [Google Scholar] [CrossRef]
  6. Xu, W.; Junejo, A.K.; Liu, Y.; Islam, M.R. Improved Continuous Fast Terminal Sliding Mode Control With Extended State Observer for Speed Regulation of PMSM Drive System. IEEE Trans. Veh. Technol. 2019, 68, 10465–10476. [Google Scholar] [CrossRef]
  7. Bartoszewicz, A.; Leśniewski, P. New Switching and Nonswitching Type Reaching Laws for SMC of Discrete Time Systems. IEEE Trans. Control Syst. Technol. 2016, 24, 670–677. [Google Scholar] [CrossRef]
  8. Shao, M.; Deng, Y.; Li, H.; Liu, J.; Fei, Q. Robust Speed Control for Permanent Magnet Synchronous Motors Using a Generalized Predictive Controller With a High-Order Terminal Sliding-Mode Observer. IEEE Access 2019, 7, 121540–121551. [Google Scholar] [CrossRef]
  9. Li, T.; Zhao, Y.; Hou, L. Adaptive Sliding Mode Control With Disturbance Observer for Speed Regulation System of Permanent Magnet Synchronous Motor. IEEE Access 2023, 11, 17021–17030. [Google Scholar] [CrossRef]
  10. Wenqi, L.U.; Yuwen, H.U.; Xuyang, D.U.; Wenxin, H. Sensorless Vector Control Using a Novel Sliding Mode Observer for PMSM Speed Control System. Proc. CSEE 2010, 30, 78–83. [Google Scholar] [CrossRef]
  11. Junejo, A.K.; Xu, W.; Mu, C.; Ismail, M.M.; Liu, Y. Adaptive Speed Control of PMSM Drive System Based a New Sliding-Mode Reaching Law. IEEE Trans. Power Electron. 2020, 35, 12110–12121. [Google Scholar] [CrossRef]
  12. Zhang, Y.; Yin, Z.; Zhang, Y.; Liu, J.; Tong, X. A Novel Sliding Mode Observer With Optimized Constant Rate Reaching Law for Sensorless Control of Induction Motor. IEEE Trans. Ind. Electron. 2020, 67, 5867–5878. [Google Scholar] [CrossRef]
  13. Hou, Q.; Ding, S. Finite-Time Extended State Observer-Based Super-Twisting Sliding Mode Controller for PMSM Drives With Inertia Identification. IEEE Trans. Transp. Electrif. 2022, 8, 1918–1929. [Google Scholar] [CrossRef]
  14. Tripathi, V.K.; Kamath, A.K.; Behera, L.; Verma, N.K.; Nahavandi, S. An Adaptive Fast Terminal Sliding-Mode Controller With Power Rate Proportional Reaching Law for Quadrotor Position and Altitude Tracking. IEEE Trans. Syst. Man Cybern. Syst. 2022, 52, 3612–3625. [Google Scholar] [CrossRef]
  15. Nguyen, T.-N.; Pham, T.-B.; Hoang, V.-T.; Nguyen, T.-T.; Nguyen, V.-L.; Truong, N.-V. Efficient Sensorless Speed Estimation of Electrical Servo Drives Using a Full-Order Nonsingular Terminal Sliding Mode Observer. Math. Probl. Eng. 2021, 2021, e8175848. [Google Scholar] [CrossRef]
  16. Chen, Z.; Dawara, A.A.; Zhang, X.; Zhang, H.; Liu, C.; Luo, G. Adaptive Sliding Mode Observer-Based Sensorless Control for SPMSM Employing a Dual-PLL. IEEE Trans. Transp. Electrif. 2022, 8, 1267–1277. [Google Scholar] [CrossRef]
  17. Zhong, Y.; Lin, H.; Wang, J.; Yang, H. Improved Adaptive Sliding-Mode Observer Based Position Sensorless Control for Variable Flux Memory Machines. IEEE Trans. Power Electron. 2023, 38, 6395–6406. [Google Scholar] [CrossRef]
  18. Zhang, X.; Jiang, Q. Research on Sensorless Control of PMSM Based on Fuzzy Sliding Mode Observer. In Proceedings of the 2021 IEEE 16th Conference on Industrial Electronics and Applications (ICIEA), Chengdu, China, 1–4 August 2021; 2021; pp. 213–218. [Google Scholar]
  19. Zhang, Y.; Nie, Y.; Dong, Z.; Chen, L. Adaptive Fuzzy Fault-Tolerant Control against Time-Varying Faults via a New Sliding Mode Observer Method. Symmetry 2021, 13, 1615. [Google Scholar] [CrossRef]
  20. Ding, H.; Zou, X.; Li, J. Sensorless Control Strategy of Permanent Magnet Synchronous Motor Based on Fuzzy Sliding Mode Observer. IEEE Access 2022, 10, 36743–36752. [Google Scholar] [CrossRef]
  21. Qu, L.; Qiao, W.; Qu, L. An Extended-State-Observer-Based Sliding-Mode Speed Control for Permanent-Magnet Synchronous Motors. IEEE J. Emerg. Sel. Top. Power Electron. 2021, 9, 1605–1613. [Google Scholar] [CrossRef]
  22. Gabbi, T.S.; de Araujo, M.B.; Rocha, L.R.; Scalcon, F.P.; Gründling, H.A.; Vieira, R.P. Discrete-time sliding mode controller based on backstepping disturbance compensation for robust current control of PMSM drives. ISA Trans. 2022, 128, 581–592. [Google Scholar] [CrossRef]
  23. Yim, J.; You, S.; Lee, Y.; Kim, W. Chattering Attenuation Disturbance Observer for Sliding Mode Control: Application to Permanent Magnet Synchronous Motors. IEEE Trans. Ind. Electron. 2023, 70, 5161–5170. [Google Scholar] [CrossRef]
  24. Sun, X.; Cao, J.; Lei, G.; Guo, Y.; Zhu, J. A Composite Sliding Mode Control for SPMSM Drives Based on a New Hybrid Reaching Law With Disturbance Compensation. IEEE Trans. Transp. Electrif. 2021, 7, 1427–1436. [Google Scholar] [CrossRef]
Figure 1. Curve of the f (s).
Figure 1. Curve of the f (s).
Electronics 12 04188 g001
Figure 2. Fuzzy control. (a) The membership function of the input s( s ˙ ); (b) The membership function of the output a; (c) Fuzzy rules surface.
Figure 2. Fuzzy control. (a) The membership function of the input s( s ˙ ); (b) The membership function of the output a; (c) Fuzzy rules surface.
Electronics 12 04188 g002
Figure 3. The structure of the PLL.
Figure 3. The structure of the PLL.
Electronics 12 04188 g003
Figure 4. The block diagram of the ISMO.
Figure 4. The block diagram of the ISMO.
Electronics 12 04188 g004
Figure 5. The block diagram of the ISMDO.
Figure 5. The block diagram of the ISMDO.
Electronics 12 04188 g005
Figure 6. The control block diagram of PMSM.
Figure 6. The control block diagram of PMSM.
Electronics 12 04188 g006
Figure 7. Simulation results of traditional SMO. (a) Speed curves; (b) Speed error curves; (c) Position error curves.
Figure 7. Simulation results of traditional SMO. (a) Speed curves; (b) Speed error curves; (c) Position error curves.
Electronics 12 04188 g007
Figure 8. Simulation results of ISMO. (a) Speed curves; (b) Speed error curves; (c) Position error curves.
Figure 8. Simulation results of ISMO. (a) Speed curves; (b) Speed error curves; (c) Position error curves.
Electronics 12 04188 g008
Figure 9. Simulation results of ISMO, ISMO+SMDO, ISMO+ISMDO. (a) Observed disturbance torque; (b) Responses of speed.
Figure 9. Simulation results of ISMO, ISMO+SMDO, ISMO+ISMDO. (a) Observed disturbance torque; (b) Responses of speed.
Electronics 12 04188 g009
Figure 10. Simulation responses of q-axis current. (a) ISMO; (b) ISMO+SMDO; (c) ISMO+ISMDO.
Figure 10. Simulation responses of q-axis current. (a) ISMO; (b) ISMO+SMDO; (c) ISMO+ISMDO.
Electronics 12 04188 g010
Figure 11. Motor control model simulation training platform.
Figure 11. Motor control model simulation training platform.
Electronics 12 04188 g011
Figure 12. Experiment results of traditional SMO. (a) Speed curves; (b) Speed error curves; (c) Position error curves.
Figure 12. Experiment results of traditional SMO. (a) Speed curves; (b) Speed error curves; (c) Position error curves.
Electronics 12 04188 g012
Figure 13. Experiment results of ISMO. (a) Speed curves; (b) Speed error curves; (c) Position error curves.
Figure 13. Experiment results of ISMO. (a) Speed curves; (b) Speed error curves; (c) Position error curves.
Electronics 12 04188 g013
Figure 14. Experiment results of speed response when load is applied. (a) ISMO; (b) ISMO+SMDO; (c) ISMO+ISMDO.
Figure 14. Experiment results of speed response when load is applied. (a) ISMO; (b) ISMO+SMDO; (c) ISMO+ISMDO.
Electronics 12 04188 g014
Figure 15. Experimental results of q-axis current when suddenly loaded and unloaded. (a) ISMO; (b) ISMO+SMDO; (c) ISMO+ISMDO.
Figure 15. Experimental results of q-axis current when suddenly loaded and unloaded. (a) ISMO; (b) ISMO+SMDO; (c) ISMO+ISMDO.
Electronics 12 04188 g015
Table 1. Fuzzy control rules.
Table 1. Fuzzy control rules.
as
NBNMNSZOPSPMPB
s ˙ NBZOZOZOZOZOZOZO
NMZOZOPSPSPSZOZO
NSZOPSPMPMPMPSZO
ZOZOPSPMPBPMPSZO
PSZOPSPMPMPMPSZO
PMZOZOPSPSPSZOZO
PBZOZOZOZOZOZOZO
Table 2. PMSM parameters.
Table 2. PMSM parameters.
ParameterValue
Rated power5.5 kw
Peak torque70 N·m
Pole pairs4
Stator resistance0.62 Ω
Flux linkage0.35 Wb
Stator inductance4 mH
Disclaimer/Publisher’s Note: The statements, opinions and data contained in all publications are solely those of the individual author(s) and contributor(s) and not of MDPI and/or the editor(s). MDPI and/or the editor(s) disclaim responsibility for any injury to people or property resulting from any ideas, methods, instructions or products referred to in the content.

Share and Cite

MDPI and ACS Style

Du, S.; Liu, Y.; Wang, Y.; Li, Y.; Yan, Z. Research on a Permanent Magnet Synchronous Motor Sensorless Anti-Disturbance Control Strategy Based on an Improved Sliding Mode Observer. Electronics 2023, 12, 4188. https://doi.org/10.3390/electronics12204188

AMA Style

Du S, Liu Y, Wang Y, Li Y, Yan Z. Research on a Permanent Magnet Synchronous Motor Sensorless Anti-Disturbance Control Strategy Based on an Improved Sliding Mode Observer. Electronics. 2023; 12(20):4188. https://doi.org/10.3390/electronics12204188

Chicago/Turabian Style

Du, Shenhui, Yang Liu, Yao Wang, Ying Li, and Zhibang Yan. 2023. "Research on a Permanent Magnet Synchronous Motor Sensorless Anti-Disturbance Control Strategy Based on an Improved Sliding Mode Observer" Electronics 12, no. 20: 4188. https://doi.org/10.3390/electronics12204188

APA Style

Du, S., Liu, Y., Wang, Y., Li, Y., & Yan, Z. (2023). Research on a Permanent Magnet Synchronous Motor Sensorless Anti-Disturbance Control Strategy Based on an Improved Sliding Mode Observer. Electronics, 12(20), 4188. https://doi.org/10.3390/electronics12204188

Note that from the first issue of 2016, this journal uses article numbers instead of page numbers. See further details here.

Article Metrics

Back to TopTop