Performance and Capacity Optimization for High Speed Railway Communications Using UAV-IRS Assisted Massive MIMO System
Abstract
1. Introduction
1.1. Prior Work
1.2. Motivation and Contributions
- (1)
- This is the first study of how to use UAV–IRS systems to enhance scenes along high-speed railways. The system establishes LoS links through UAV–IRS to bypass environmental obstacles such as hills and trees to fill in the communication blind spots.
- (2)
- The UAV–IRS HSR system, with either a DA or a CA layout, is calculated by taking into account various factors such as radio frequency power loss, small-scale fading, large-scale fading, and antenna geometry. This calculation involves averaging the up-link capacity over all locations within the whole cell.
- (3)
- Our analysis shows that the mean value of the up-link capacity for the co-located layout exhibits a concave relationship with respect to the number of transmitting antennas. Hence, we can obtain an optimal quantity of antennas. It maximizes the mean value of the up-link capacity. This is obtained by finding the extreme value of this function. For the distributed antenna on the train, upper- and lower-bound functions were established for the mean value of up-link capacity, which enables the determination of the optimal or sub-optimal number of antennas.
- (4)
- According to numerical and simulation results, the capacity of cells in a cellular network is higher on average in a CA layout. However, in a DA layout, the capacity is more evenly distributed across different cell locations.
1.3. Organization
2. System Model
3. Statistical Modeling of Up-Link Capacity in a Fading Channel
4. Optimization Problems
4.1. Co-Located Antenna Layout
4.2. Distributed Antenna Layout
| Algorithm 1 Bounds search algorithm. |
|
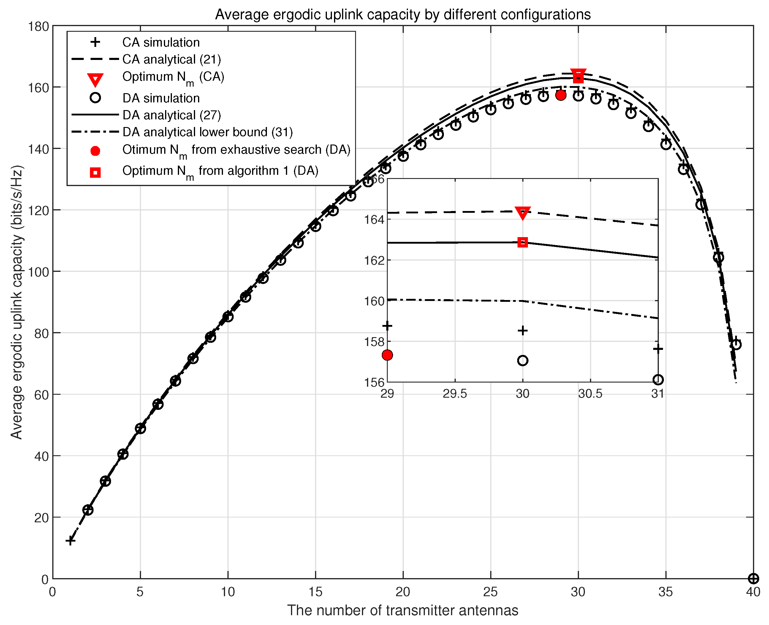
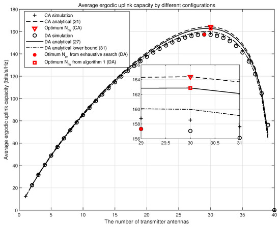
5. Numerical and Simulation Results
6. Conclusions
Author Contributions
Funding
Data Availability Statement
Conflicts of Interest
References
- Liu, X.; Qiao, D. Design and Coverage Analysis of Elliptical Cell Based Beamforming for HSR Communication Systems. In Proceedings of the ICC 2019—2019 IEEE International Conference on Communications (ICC), Shanghai, China, 20–24 May 2019; pp. 1–6. [Google Scholar] [CrossRef]
- Xu, B.; Tong, Y.; Li, K.; Zhu, L.; Zheng, K.; Ma, S. Key Technology Research on Jointless Track Circuit in High-speed Railway. In Proceedings of the 2018 International Conference on Information Systems and Computer Aided Education (ICISCAE), Changchun, China, 6–8 July 2018; pp. 443–445. [Google Scholar] [CrossRef]
- Hasegawa, F.; Taira, A.; Noh, G.; Hui, B.; Nishimoto, H.; Okazaki, A.; Okamura, A.; Lee, J.; Kim, I. High-Speed Train Communications Standardization in 3GPP 5G NR. IEEE Commun. Stand. Mag. 2018, 2, 44–52. [Google Scholar] [CrossRef]
- Song, H.; Fang, X.; Fang, Y. Millimeter-Wave Network Architectures for Future High-Speed Railway Communications: Challenges and Solutions. IEEE Wirel. Commun. 2016, 23, 114–122. [Google Scholar] [CrossRef]
- Han, S.; Chih-Lin, I.; Xie, T.; Wang, S.; Huang, Y.; Dai, L.; Sun, Q.; Cui, C. Achieving High Spectrum Efficiency on High Speed Train for 5G New Radio and Beyond. IEEE Wirel. Commun. 2019, 26, 62–69. [Google Scholar] [CrossRef]
- Yang, J.; Ai, B.; Salous, S.; Guan, K.; He, D.; Shi, G.; Zhong, Z. An Efficient MIMO Channel Model for LTE-R Network in High-Speed Train Environment. IEEE Trans. Veh. Technol. 2019, 68, 3189–3200. [Google Scholar] [CrossRef]
- Khallaf, H.S.; Uysal, M. UAV-Based FSO Communications for High Speed Train Backhauling. In Proceedings of the 2019 IEEE Wireless Communications and Networking Conference (WCNC), Marrakesh, Morocco, 15–18 April 2019; pp. 1–6. [Google Scholar] [CrossRef]
- Li, T.; Tong, H.; Xu, Y.; Su, X.; Qiao, G. Double IRSs Aided Massive MIMO Channel Estimation and Spectrum Efficiency Maximization for High-Speed Railway Communications. IEEE Trans. Veh. Technol. 2022, 71, 8630–8645. [Google Scholar] [CrossRef]
- Wu, Q.; Zhang, S.; Zheng, B.; You, C.; Zhang, R. Intelligent Reflecting Surface-Aided Wireless Communications: A Tutorial. IEEE Trans. Commun. 2021, 69, 3313–3351. [Google Scholar] [CrossRef]
- Buzzi, S.; D’Andrea, C.; Zappone, A.; Fresia, M.; Zhang, Y.P.; Feng, S. RIS Configuration, Beamformer Design, and Power Control in Single-Cell and Multi-Cell Wireless Networks. IEEE Trans. Cogn. Commun. Netw. 2021, 7, 398–411. [Google Scholar] [CrossRef]
- Zhang, J.; Du, H.; Zhang, P.; Cheng, J.; Yang, L. Performance Analysis of 5G Mobile Relay Systems for High-Speed Trains. IEEE J. Sel. Areas Commun. 2020, 38, 2760–2772. [Google Scholar] [CrossRef]
- Ma, Y.; Niu, Y.; Han, Z.; Ai, B.; Li, K.; Zhong, Z.; Wang, N. Robust Transmission Scheduling for UAV-Assisted Millimeter-Wave Train-Ground Communication System. IEEE Trans. Veh. Technol. 2022, 71, 11741–11755. [Google Scholar] [CrossRef]
- Wu, Q.; Sheng, J.; Wu, C.; Zhang, J.; Wang, Y. Research on UAV Networking Technology for High-speed Railway Emergency Communication. In Proceedings of the 2021 International Wireless Communications and Mobile Computing (IWCMC), Harbin, China, 28 June–2 July 2021; pp. 1557–1562. [Google Scholar] [CrossRef]
- Chen, C.; Niu, Y.; Ai, B.; He, R.; Han, Z.; Zhong, Z.; Wang, N.; Su, X. Joint Design of Phase Shift and Transceiver Beamforming for Intelligent Reflecting Surface Assisted Millimeter-Wave High-Speed Railway Communications. IEEE Trans. Veh. Technol. 2022, 72, 6253–6267. [Google Scholar] [CrossRef]
- Guo, Y.; Fang, F.; Cai, D.; Ding, Z. Energy-Efficient Design for a NOMA Assisted STAR-RIS Network With Deep Reinforcement Learning. IEEE Trans. Veh. Technol. 2022, 72, 5424–5428. [Google Scholar] [CrossRef]
- Zhang, J.; Liu, H.; Wu, Q.; Jin, Y.; Chen, Y.; Ai, B.; Jin, S.; Cui, T.J. RIS-Aided Next-Generation High-Speed Train Communications: Challenges, Solutions, and Future Directions. IEEE Wirel. Commun. 2021, 28, 145–151. [Google Scholar] [CrossRef]
- Zhang, Q.; Saad, W.; Bennis, M. Reflections in the Sky: Millimeter Wave Communication with UAV-Carried Intelligent Reflectors. In Proceedings of the 2019 IEEE Global Communications Conference (GLOBECOM), Big Island, HI, USA, 9–13 December 2019; pp. 1–6. [Google Scholar] [CrossRef]
- Mohamed, Z.; Aïssa, S. Leveraging UAVs with Intelligent Reflecting Surfaces for Energy-Efficient Communications with Cell-Edge Users. In Proceedings of the 2020 IEEE International Conference on Communications Workshops (ICC Workshops), Virtual, 7–11 June 2020; pp. 1–6. [Google Scholar] [CrossRef]
- Pang, X.; Sheng, M.; Zhao, N.; Tang, J.; Niyato, D.; Wong, K.K. When UAV Meets IRS: Expanding Air-Ground Networks via Passive Reflection. IEEE Wirel. Commun. 2021, 28, 164–170. [Google Scholar] [CrossRef]
- Li, Y.; Zhang, H.; Long, K.; Nallanathan, A. Exploring Sum Rate Maximization in UAV-Based Multi-IRS Networks: IRS Association, UAV Altitude, and Phase Shift Design. IEEE Trans. Commun. 2022, 70, 7764–7774. [Google Scholar] [CrossRef]
- Li, K.; Zhao, K.; Khan, M.F.; Ho, P.H.; Peng, L. UAV-mounted Intelligent Reflecting Surface (IRS) MISO Communications. In Proceedings of the 2022 International Conference on Networking and Network Applications (NaNA), Qingdao, China, 3–5 December 2022; pp. 62–66. [Google Scholar] [CrossRef]
- Shafique, T.; Tabassum, H.; Hossain, E. Optimization of Wireless Relaying With Flexible UAV-Borne Reflecting Surfaces. IEEE Trans. Commun. 2021, 69, 309–325. [Google Scholar] [CrossRef]
- Liu, Z.; Wu, J.; Fan, P. On the Uplink Capacity of High Speed Railway Communications with Massive MIMO Systems. In Proceedings of the 2014 IEEE 79th Vehicular Technology Conference (VTC Spring), Seoul, Republic of Korea, 18–21 May 2014; pp. 1–5. [Google Scholar] [CrossRef]
- Zhang, J.; Dai, L.; He, Z.; Jin, S.; Li, X. Performance Analysis of Mixed-ADC Massive MIMO Systems Over Rician Fading Channels. IEEE J. Sel. Areas Commun. 2017, 35, 1327–1338. [Google Scholar] [CrossRef]
- Wang, Y.; Niu, Y.; Wu, H.; Mao, S.; Ai, B.; Zhong, Z.; Wang, N. Scheduling of UAV-Assisted Millimeter Wave Communications for High-Speed Railway. IEEE Trans. Veh. Technol. 2022, 71, 8756–8767. [Google Scholar] [CrossRef]
- Huang, Q.; Hu, A. Channel estimation via GAMP for millimeter wave hybrid massive MIMO systems. Frequenz 2022, 76, 351–360. [Google Scholar] [CrossRef]
- Alzenad, M.; El-Keyi, A.; Lagum, F.; Yanikomeroglu, H. 3-D placement of an unmanned aerial vehicle base station (UAV-BS) for energy-efficient maximal coverage. IEEE Wirel. Commun. Lett. 2017, 6, 434–437. [Google Scholar] [CrossRef]
- Al-Hourani, A.; Kandeepan, S.; Lardner, S. Optimal LAP altitude for maximum coverage. IEEE Wirel. Commun. Lett. 2014, 3, 569–572. [Google Scholar] [CrossRef]
- Soret, B.; Aguayo-torres, M.C.; Entrambasaguas, J.T. Capacity with Explicit Delay Guarantees for Generic Sources over Correlated Rayleigh Channel. IEEE Trans. Wirel. Commun. 2010, 9, 1901–1911. [Google Scholar] [CrossRef]
- Telatar, E. Capacity of Multi-antenna Gaussian Channels. Eur. Trans. Telecomm. 1999, 10, 585–595. [Google Scholar] [CrossRef]
- Liu, Z.; Wu, J.; Fan, P. Performance analysis and antenna selection of high speed railway communications systems with distributed antennas. In Proceedings of the 2014 International Workshop on High Mobility Wireless Communications, Beijing, China, 1–3 November 2014; pp. 7–11. [Google Scholar] [CrossRef]






| Notation | Description |
|---|---|
| The identity matrix of dimension is n | |
| The all-ones matrix with dimensions | |
| The conjugate transpose operation | |
| CN | The complex Gaussian and Gaussian distributions |
| The variance of the Gaussian | |
| The expectation operator | |
| The value assumed for the height of the train relay | |
| The position referred to is in the center of the cell | |
| The total length of the train | |
| The distance from the base station to the m-th antenna | |
| The m-th MG antenna’s position on the train | |
| The channel 1 BS → UAV-IRS from BS to UAV–IRS | |
| The channel 2 UAV-IRS → MG from UAV-IRS to MG | |
| The added additive white Gaussian noise (AWGN) | |
| The carrier frequency | |
| d | The distance between UAV–MG |
| As a diagonal matrix, where the n-th element represents | |
| The time correlation factor | |
| Complex Gaussian noise matrix | |
| P | The total transmission power at the disposal of the transmitter |
| Simulation of hardware power consumption of transmitting antennas | |
| UAV | Unmanned aerial vehicle |
| IRS | Intelligent reflective surfaces |
| BS | Base station |
| CA | Co-located antennas |
| DA | Distributed antennas |
| HSR | High-speed railways |
| MIMO | Multiple-input-multiple-output |
| AWGN power spectral density | −144 dbm/Hz |
| The cell radius D | 1000 m |
| The UAV altitude | 100 m, 200 m, 300 m |
| The train length L | 200 m, 400 m |
| The bandwidth B | 20 MHz |
| The total transmit power | 20 W |
| The RF power loss | 0.4 W, 0.5 W, 0.6 W |
| The BS antennas’ number N | 100 |
| The carrier frequency | 2 GHz |
| CA Layout | DA Layout | |
|---|---|---|
| Optimal Antenna for K = 0 | 31 | 31 |
| Optimal Antenna for K = 3 | 28 | 29 |
| Optimal Antenna for K = 5 | 27 | 28 |
| Benefits | Higher average capacity | Higher capacity for cell edge |
Disclaimer/Publisher’s Note: The statements, opinions and data contained in all publications are solely those of the individual author(s) and contributor(s) and not of MDPI and/or the editor(s). MDPI and/or the editor(s) disclaim responsibility for any injury to people or property resulting from any ideas, methods, instructions or products referred to in the content. |
© 2023 by the authors. Licensee MDPI, Basel, Switzerland. This article is an open access article distributed under the terms and conditions of the Creative Commons Attribution (CC BY) license (https://creativecommons.org/licenses/by/4.0/).
Share and Cite
Liu, Z.; Yang, M.; Cui, J.; Xiao, Y.; Zhang, X. Performance and Capacity Optimization for High Speed Railway Communications Using UAV-IRS Assisted Massive MIMO System. Electronics 2023, 12, 2547. https://doi.org/10.3390/electronics12112547
Liu Z, Yang M, Cui J, Xiao Y, Zhang X. Performance and Capacity Optimization for High Speed Railway Communications Using UAV-IRS Assisted Massive MIMO System. Electronics. 2023; 12(11):2547. https://doi.org/10.3390/electronics12112547
Chicago/Turabian StyleLiu, Ziyue, Mingxi Yang, Jingjing Cui, Yue Xiao, and Xuejun Zhang. 2023. "Performance and Capacity Optimization for High Speed Railway Communications Using UAV-IRS Assisted Massive MIMO System" Electronics 12, no. 11: 2547. https://doi.org/10.3390/electronics12112547
APA StyleLiu, Z., Yang, M., Cui, J., Xiao, Y., & Zhang, X. (2023). Performance and Capacity Optimization for High Speed Railway Communications Using UAV-IRS Assisted Massive MIMO System. Electronics, 12(11), 2547. https://doi.org/10.3390/electronics12112547
