A Portable Soft Exosuit to Assist Stair Climbing with Hip Flexion
Abstract
1. Introduction
2. Exosuit System
2.1. Portable Soft Exosuit
- (1)
- Actuation system: The actuation system consisted of two high-power low-inertia motors (M2006, DJI, China) that assisted the flexion of the left and right hip joints. Each motor was connected to a 36:1 ratio gearbox to drive a reel (radius of 10 mm). The structure converted the torque generated by the motor into auxiliary force, which was transmitted to the thigh wraps via Bowden cable outlets. The Bowden cables used high-rigidity casing on the outside and steel wire (lasso) on the inside. The externally rigid casing ensured that the casing was practically incompressible along its length and when the casing was held in place, the wire inside transmitted force;
- (2)
- Controller: The microcontroller (Robot Master Board A, DJI, Shenzhen, China) used CAN communication technology to receive the measurement data of IMUs and load cells and generate the desired force profile by calculation;
- (3)
- Sensors: Two IMUs (LPMS-B2,lp Research Corporation, Tokyo, Japan) were fastened to the thigh wraps to measure the wearer motion station at 100 Hz sampling frequency. Then, the data transfer between the IMUs and the microcontroller was carried out through the Bluetooth connection. The load cell (ZNLBS-v1, Chino Sensor, China) was connected between the Bowden cable and thigh wraps, and was integrated with the IMUs in black box. When the motor drove Bowden cable recovery, assistant force was generated to promote hip joint movement. The load cell measured the tensile force exerted on the textile and returned the measured data to the microprocessor via a signal amplifier.
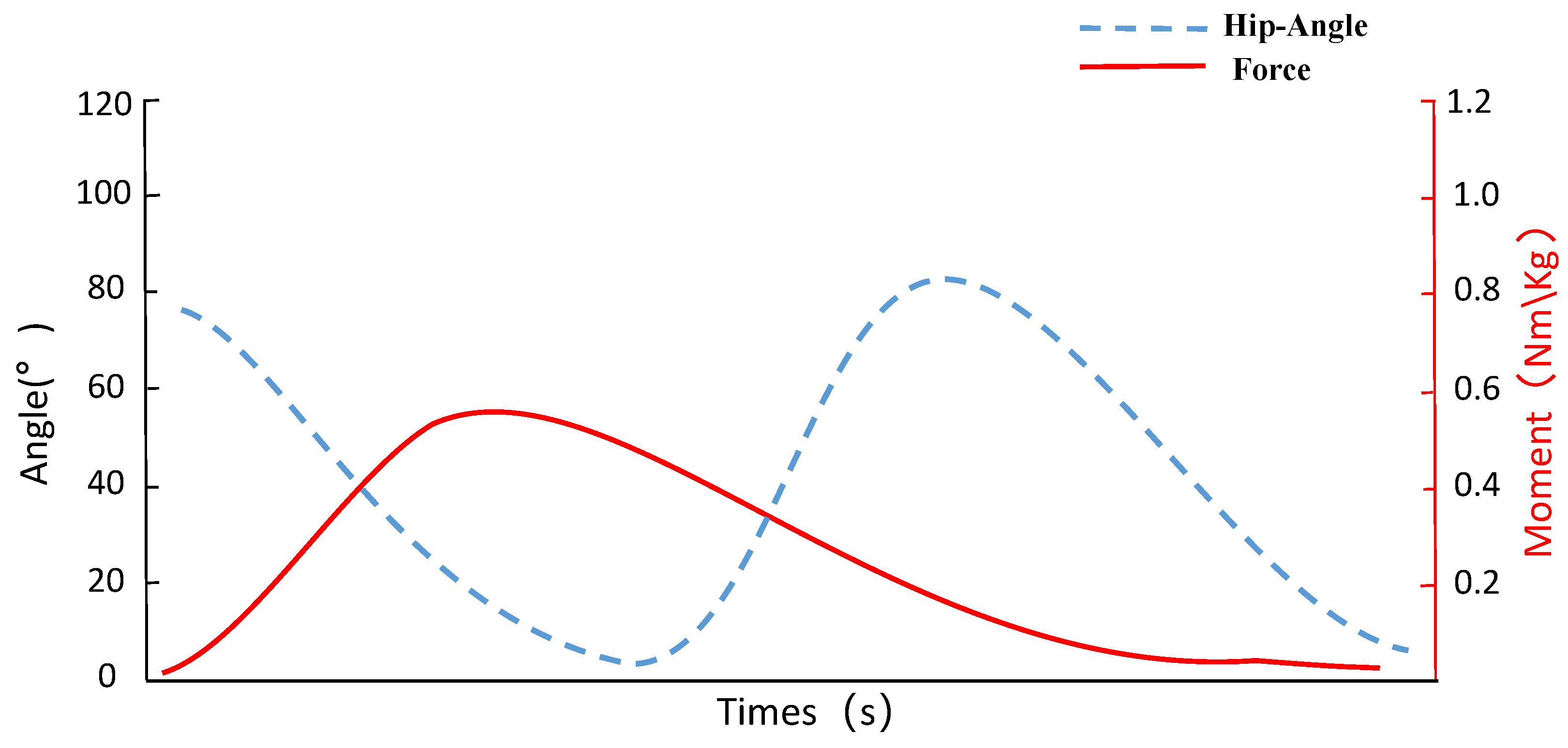
2.2. Hip Joint Angle Perception and Assistant Force Trajectories
2.3. Control Strategy
3. System Validation
3.1. Metabolic Test
3.1.1. Preparation for Experiment
3.1.2. Metabolic Result
3.2. Electromyography Measurement
4. Discussion
5. Conclusions
Author Contributions
Funding
Institutional Review Board Statement
Informed Consent Statement
Data Availability Statement
Acknowledgments
Conflicts of Interest
Sample Availability
Abbreviations
| IMU | Inertial Measurement Unit |
| STM32 | STMicroelectronics 32-bit Series Microcontroller Chip |
| PD | Proportional-Derivative |
| sEMG | Surface Electromyography |
| RMS | Root Mean Square |
References
- Awad, L.N.; Bae, J.; O’donnell, K.; De Rossi, S.M.; Hendron, K.; Sloot, L.H.; Kudzia, P.; Allen, S.; Holt, K.G.; Ellis, T.D.; et al. A soft robotic exosuit improves walking in patients after stroke. Sci. Transl. Med. 2017, 9, eaai9084. [Google Scholar] [CrossRef] [PubMed]
- Lee, G.; Kim, J.; Panizzolo, F.; Zhou, Y.; Baker, L.; Galiana, I.; Malcolm, P.; Walsh, C. Reducing the metabolic cost of running with a tethered soft exosuit. Sci. Robot. 2017, 2, eaan6708. [Google Scholar] [CrossRef] [PubMed]
- Yang, F.; Chen, C.; Wang, Z.; Chen, H.; Liu, Y.; Li, G.; Wu, X. ViT-Based Terrain Recognition System for wearable soft exosuit. Biomim. Intell. Robot. 2023, 3, 100087. [Google Scholar] [CrossRef]
- Suh, J.W.; Kim, K.Y. Harmonious cable actuation mechanism for soft robot joints using a pair of noncircular pulleys. J. Mech. Robot. 2018, 10, 061002. [Google Scholar] [CrossRef]
- Suh, J.W. A novel cable actuation mechanism for 2-DOF hyper-redundant bending robot composed of pulleyless rolling joints. In Proceedings of the 2018 IEEE/RSJ International Conference on Intelligent Robots and Systems (IROS), Madrid, Spain, 1–5 October 2018; pp. 961–966. [Google Scholar]
- Sun, Y.; Liu, Y.; Lueth, T.C. Optimization of stress distribution in tendon-driven continuum robots using fish-tail-inspired method. IEEE Robot. Autom. Lett. 2022, 7, 3380–3387. [Google Scholar] [CrossRef]
- Sun, Y.; Lueth, T.C. Enhancing Torsional Stiffness of Continuum Robots Using 3-D Topology Optimized Flexure Joints. IEEE/ASME Trans. Mechatronics 2023, 1–9. [Google Scholar] [CrossRef]
- Kapsalyamov, A.; Jamwal, P.K.; Hussain, S.; Ghayesh, M.H. State of the art lower limb robotic exoskeletons for elderly assistance. IEEE Access 2019, 7, 95075–95086. [Google Scholar] [CrossRef]
- Ortiz, J.; Poliero, T.; Cairoli, G.; Graf, E.; Caldwell, D.G. Energy efficiency analysis and design optimization of an actuation system in a soft modular lower limb exoskeleton. IEEE Robot. Autom. Lett. 2017, 3, 484–491. [Google Scholar] [CrossRef]
- Wehner, M.; Quinlivan, B.; Aubin, P.M.; Martinez-Villalpando, E.; Baumann, M.; Stirling, L.; Holt, K.; Wood, R.; Walsh, C. A lightweight soft exosuit for gait assistance. In Proceedings of the 2013 IEEE International Conference on Robotics and Automation, Karlsruhe, Germany, 6–10 May 2013; pp. 3362–3369. [Google Scholar]
- Ding, Y.; Galiana, I.; Asbeck, A.T.; De Rossi, S.M.M.; Bae, J.; Santos, T.R.T.; De Araujo, V.L.; Lee, S.; Holt, K.G.; Walsh, C. Biomechanical and physiological evaluation of multi-joint assistance with soft exosuits. IEEE Trans. Neural Syst. Rehabil. Eng. 2016, 25, 119–130. [Google Scholar] [CrossRef]
- Cao, E.; Ren, M.; Cui, Y.; Wang, K.; Yang, B. Design of a multi-resiliency exoskeleton and its physiologic cost evaluation in uphill walking and stair climbing locomotion. Proc. Inst. Mech. Eng. Part C J. Mech. Eng. Sci. 2022, 236, 2115–2127. [Google Scholar] [CrossRef]
- Ishmael, M.K.; Archangeli, D.; Lenzi, T. A powered hip exoskeleton with high torque density for walking, running, and stair ascent. IEEE/ASME Trans. Mechatronics 2022, 27, 4561–4572. [Google Scholar] [CrossRef]
- Fang, Y.; Orekhov, G.; Lerner, Z.F. Improving the energy cost of incline walking and stair ascent with ankle exoskeleton assistance in cerebral palsy. IEEE Trans. Biomed. Eng. 2021, 69, 2143–2152. [Google Scholar] [CrossRef] [PubMed]
- Woo, H.; Kong, K.; Rha, D.w. Lower-limb-assisting robotic exoskeleton reduces energy consumption in healthy young persons during stair climbing. Appl. Bionics Biomech. 2021, 2021, 8833461. [Google Scholar] [CrossRef] [PubMed]
- Chaichaowarat, R.; Macha, V.; Wannasuphoprasit, W. Passive knee exoskeleton using brake torque to assist stair ascent. In Proceedings of the 2020 IEEE Region 10 Conference (Tencon), Osaka, Japan, 16–19 November 2020; pp. 1165–1170. [Google Scholar]
- Kim, J.; Lee, G.; Heimgartner, R.; Arumukhom Revi, D.; Karavas, N.; Nathanson, D.; Galiana, I.; Eckert-Erdheim, A.; Murphy, P.; Perry, D.; et al. Reducing the metabolic rate of walking and running with a versatile, portable exosuit. Science 2019, 365, 668–672. [Google Scholar] [CrossRef]
- Lim, B.; Lee, J.; Jang, J.; Kim, K.; Park, Y.J.; Seo, K.; Shim, Y. Delayed output feedback control for gait assistance with a robotic hip exoskeleton. IEEE Trans. Robot. 2019, 35, 1055–1062. [Google Scholar] [CrossRef]
- Han, J.; Yang, S.; Xia, L.; Chen, Y.H. Deterministic adaptive robust control with a novel optimal gain design approach for a fuzzy 2-DOF lower limb exoskeleton robot system. IEEE Trans. Fuzzy Syst. 2020, 29, 2373–2387. [Google Scholar] [CrossRef]
- Ding, Y.; Galiana, I.; Siviy, C.; Panizzolo, F.A.; Walsh, C. IMU-based iterative control for hip extension assistance with a soft exosuit. In Proceedings of the 2016 IEEE International Conference on Robotics and Automation (ICRA), Stockholm, Sweden, 16–21 May 2016; pp. 3501–3508. [Google Scholar]
- Cao, W.; Chen, C.; Hu, H.; Fang, K.; Wu, X. Effect of hip assistance modes on metabolic cost of walking with a soft exoskeleton. IEEE Trans. Autom. Sci. Eng. 2020, 18, 426–436. [Google Scholar] [CrossRef]
- Zhang, Z.; Zhu, Y.; Zheng, T.; Zhao, S.; Ma, S.; Fan, J.; Zhao, J. Lower extremity exoskeleton for stair climbing augmentation. In Proceedings of the 2018 3rd International Conference on Advanced Robotics and Mechatronics (ICARM), Singapore, 18–20 July 2018; pp. 762–768. [Google Scholar]
- Wang, Z.; Chen, C.; Yang, F.; Liu, Y.; Li, G.; Wu, X. Real-Time Gait Phase Estimation Based on Neural Network and Assistance Strategy Based on Simulated Muscle Dynamics for an Ankle Exosuit. IEEE Trans. Med Robot. Bionics 2023, 5, 100–109. [Google Scholar] [CrossRef]
- Zhang, T.; Feng, K.; Zeng, B.; Gong, Z. Design and validation of a lightweight soft hip exosuit with series-wedge-structures for assistive walking and running. IEEE/ASME Trans. Mechatronics 2021, 27, 2863–2874. [Google Scholar] [CrossRef]
- Bae, J.; Siviy, C.; Rouleau, M.; Menard, N.; O’Donnell, K.; Geliana, I.; Athanassiu, M.; Ryan, D.; Bibeau, C.; Sloot, L.; et al. A lightweight and efficient portable soft exosuit for paretic ankle assistance in walking after stroke. In Proceedings of the 2018 IEEE International Conference on Robotics and Automation (ICRA), Brisbane, Australia, 21–25 May 2018; pp. 2820–2827. [Google Scholar]
- Ding, Y.; Galiana, I.; Asbeck, A.; Quinlivan, B.; De Rossi, S.M.M.; Walsh, C. Multi-joint actuation platform for lower extremity soft exosuits. In Proceedings of the 2014 IEEE International Conference on Robotics and Automation (ICRA), Hong Kong, China, 31 May–7 June 2014; pp. 1327–1334. [Google Scholar]
- Nadeau, S.; McFadyen, B.J.; Malouin, F. Frontal and sagittal plane analyses of the stair climbing task in healthy adults aged over 40 years: What are the challenges compared to level walking? Clin. Biomech. 2003, 18, 950–959. [Google Scholar] [CrossRef]
- Andriacchi, T.; Andersson, G.; Fermier, R.; Stern, D.; Galante, J. A study of lower-limb mechanics during stair-climbing. JBJS 1980, 62, 749–757. [Google Scholar] [CrossRef]
- Protopapadaki, A.; Drechsler, W.I.; Cramp, M.C.; Coutts, F.J.; Scott, O.M. Hip, knee, ankle kinematics and kinetics during stair ascent and descent in healthy young individuals. Clin. Biomech. 2007, 22, 203–210. [Google Scholar] [CrossRef] [PubMed]
- Chen, C.; Zhang, Y.; Li, Y.; Wang, Z.; Liu, Y.; Cao, W.; Wu, X. Iterative learning control for a soft exoskeleton with hip and knee joint assistance. Sensors 2020, 20, 4333. [Google Scholar] [CrossRef] [PubMed]
- Lee, J.; Seo, K.; Lim, B.; Jang, J.; Kim, K.; Choi, H. Effects of assistance timing on metabolic cost, assistance power, and gait parameters for a hip-type exoskeleton. In Proceedings of the 2017 International Conference on Rehabilitation Robotics (ICORR), London, UK, 17–20 July 2017; pp. 498–504. [Google Scholar]
- Chen, L.; Chen, C.; Wang, Z.; Ye, X.; Liu, Y.; Wu, X. A novel lightweight wearable soft exosuit for reducing the metabolic rate and muscle fatigue. Biosensors 2021, 11, 215. [Google Scholar] [CrossRef]
- Brockway, J. Derivation of formulae used to calculate energy expenditure in man. Hum. Nutr. Clin. Nutr. 1987, 41, 463–471. [Google Scholar] [PubMed]
- Peronnet, F.; Massicotte, D. Table of nonprotein respiratory quotient: An update. Can. J. Sport Sci. 1991, 16, 23–29. [Google Scholar]
- Poggensee, K.L.; Collins, S.H. How adaptation, training, and customization contribute to benefits from exoskeleton assistance. Sci. Robot. 2021, 6, eabf1078. [Google Scholar] [CrossRef]
- Ding, Y.; Kim, M.; Kuindersma, S.; Walsh, C.J. Human-in-the-loop optimization of hip assistance with a soft exosuit during walking. Sci. Robot. 2018, 3, eaar5438. [Google Scholar] [CrossRef]
- van der Krogt, M.M.; Delp, S.L.; Schwartz, M.H. How robust is human gait to muscle weakness? Gait Posture 2012, 36, 113–119. [Google Scholar] [CrossRef]
- Wang, W.; Chen, J.; Ji, Y.; Jin, W.; Liu, J.; Zhang, J. Evaluation of lower leg muscle activities during human walking assisted by an ankle exoskeleton. IEEE Trans. Ind. Inform. 2020, 16, 7168–7176. [Google Scholar] [CrossRef]
- Franks, P.W.; Bianco, N.A.; Bryan, G.M.; Hicks, J.L.; Delp, S.L.; Collins, S.H. Testing simulated assistance strategies on a hip-knee-ankle exoskeleton: A case study. In Proceedings of the 2020 8th IEEE RAS/EMBS International Conference for Biomedical Robotics and Biomechatronics (BioRob), New York, NY, USA, 29 November–1 December 2020; pp. 700–707. [Google Scholar]
- Harper, N.G.; Wilken, J.M.; Neptune, R.R. Muscle function and coordination of stair ascent. J. Biomech. Eng. 2018, 140, 011001. [Google Scholar] [CrossRef]
- Lee, S.; Karavas, N.; Quinlivan, B.T.; LouiseRyan, D.; Perry, D.; Eckert-Erdheim, A.; Murphy, P.; Goldy, T.G.; Menard, N.; Athanassiu, M.; et al. Autonomous multi-joint soft exosuit for assistance with walking overground. In Proceedings of the 2018 IEEE International Conference on Robotics and Automation (ICRA), Brisbane, Australia, 21–25 May 2018; pp. 2812–2819. [Google Scholar]
- Young, A.J.; Simon, A.M.; Hargrove, L.J. A training method for locomotion mode prediction using powered lower limb prostheses. IEEE Trans. Neural Syst. Rehabil. Eng. 2013, 22, 671–677. [Google Scholar] [CrossRef] [PubMed]
- Böhme, M.; Köhler, H.P.; Thiel, R.; Jäkel, J.; Zentner, J.; Witt, M. Preliminary Biomechanical Evaluation of a Novel Exoskeleton Robotic System to Assist Stair Climbing. Appl. Sci. 2022, 12, 8835. [Google Scholar] [CrossRef]
- Zhao, S.; Yang, Y.; Gao, Y.; Zhang, Z.; Zheng, T.; Zhu, Y. Development of a soft knee exosuit with twisted string actuators for stair climbing assistance. In Proceedings of the 2019 IEEE International Conference on Robotics and Biomimetics (ROBIO), Dali, China, 6–8 December 2019; pp. 2541–2546. [Google Scholar]
- Joudzadeh, P.; Hadi, A.; Tarvirdizadeh, B.; Borooghani, D.; Alipour, K. Design and fabrication of a lower limb exoskeleton to assist in stair ascending. Ind. Robot. Int. J. Robot. Res. Appl. 2019, 46, 290–299. [Google Scholar] [CrossRef]







| Part | Mass (kg) | Location |
|---|---|---|
| Waist belt | 0.32 | Waist |
| Actuator | 0.314 | Waist |
| Battery | 0.30 | Waist |
| MCU | 0.08 | Waist |
| Conduits | 0.052 | Waist |
| IMUs | 0.024 | Thigh |
| Wraps | 0.48 | Thigh |
| Load cells | 0.05 | Thigh |
| Other component | 0.7 | Waist |
| Subjects | Gender | Height (cm) | Weight (kg) | Age (Years Old) |
|---|---|---|---|---|
| SD | Male | 174 | 76 | 24 |
| YS | Male | 179 | 75 | 25 |
| FL | Male | 177 | 78 | 28 |
| SC | Male | 181 | 74 | 24 |
Disclaimer/Publisher’s Note: The statements, opinions and data contained in all publications are solely those of the individual author(s) and contributor(s) and not of MDPI and/or the editor(s). MDPI and/or the editor(s) disclaim responsibility for any injury to people or property resulting from any ideas, methods, instructions or products referred to in the content. |
© 2023 by the authors. Licensee MDPI, Basel, Switzerland. This article is an open access article distributed under the terms and conditions of the Creative Commons Attribution (CC BY) license (https://creativecommons.org/licenses/by/4.0/).
Share and Cite
Xu, Y.; Li, W.; Chen, C.; Chen, S.; Wang, Z.; Yang, F.; Liu, Y.; Wu, X. A Portable Soft Exosuit to Assist Stair Climbing with Hip Flexion. Electronics 2023, 12, 2467. https://doi.org/10.3390/electronics12112467
Xu Y, Li W, Chen C, Chen S, Wang Z, Yang F, Liu Y, Wu X. A Portable Soft Exosuit to Assist Stair Climbing with Hip Flexion. Electronics. 2023; 12(11):2467. https://doi.org/10.3390/electronics12112467
Chicago/Turabian StyleXu, Yinsheng, Weimin Li, Chunjie Chen, Shaocong Chen, Zhuo Wang, Fangliang Yang, Yao Liu, and Xinyu Wu. 2023. "A Portable Soft Exosuit to Assist Stair Climbing with Hip Flexion" Electronics 12, no. 11: 2467. https://doi.org/10.3390/electronics12112467
APA StyleXu, Y., Li, W., Chen, C., Chen, S., Wang, Z., Yang, F., Liu, Y., & Wu, X. (2023). A Portable Soft Exosuit to Assist Stair Climbing with Hip Flexion. Electronics, 12(11), 2467. https://doi.org/10.3390/electronics12112467

