Performance Analysis of a Reconfigurable-Intelligent-Surfaces-Assisted V2V Communication System
Abstract
1. Introduction
- We establish an RIS-assisted V2V communication model to analyze the performance improvement from introducing RIS technology into V2V networks. This article uses PPP and MHCP to describe the stochasticity of vehicle and RIS location distribution.
- We study the distance distribution between communication nodes based on the stochasticity of vehicle and RIS positions in the proposed RIS-assisted V2V communication model. Finally, we obtain the outage probability of the RIS-assisted V2V communication network.
- Simulation results are presented to validate the analysis results and to identify the behavior of OP for several important parameters, namely, the number of RIS reflective elements, hard core distance of RIS distribution, signal-to-interference and noise ratio (SINR) threshold, and vehicle density. Numerical results provide valuable insights into the impact of RIS-assisted V2V communication networks.
2. System Model
2.1. Network Deployment
2.2. Channel Model
2.3. Signal and Interference Model
3. Performance Analysis
3.1. Outage Probability in RIS-Assisted Mode
3.1.1. Distance Distribution
3.1.2. Interference Analysis
3.2. Outage Probability in Direct Mode
3.3. Overall Outage Probability
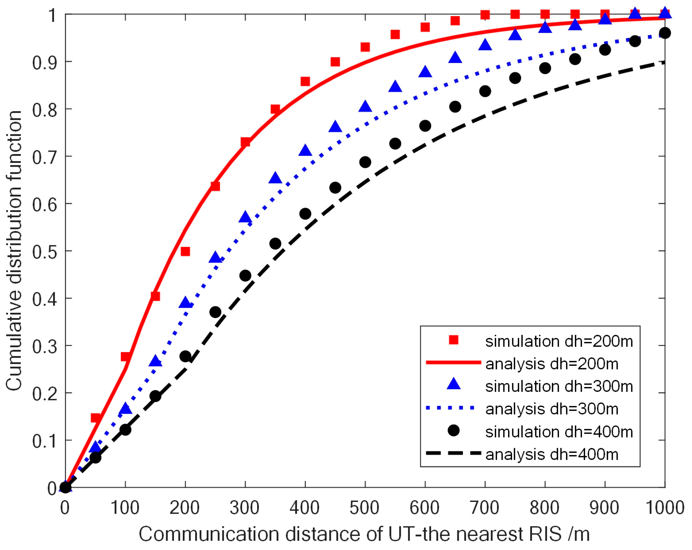
4. Simulation Results
5. Conclusions
Author Contributions
Funding
Data Availability Statement
Conflicts of Interest
References
- Jameel, F.; Wyne, S.; Nawaz, S.J.; Chang, Z. Propagation Channels for MmWave Vehicular Communications: State-of-the-Art and Future Research Directions. IEEE Wirel. Commun. 2018, 26, 144–150. [Google Scholar] [CrossRef]
- Shafi, M.; Molisch, A.F.; Smith, P.J.; Haustein, T.; Zhu, P.; De Silva, P.; Tufvesson, F.; Benjebbour, A.; Wunder, G. 5G: A Tutorial Overview of Standards, Trials, Challenges, Deployment, and Practice. IEEE J. Sel. Areas Commun. 2017, 35, 1201–1221. [Google Scholar] [CrossRef]
- Sheng, Z.; Pressas, A.; Ocheri, V.; Ali, F.; Rudd, R.; Nekovee, M. Intelligent 5G Vehicular Networks: An Integration of DSRC and MmWave Communications. In Proceedings of the 2018 International Conference on Information and Communication Technology Convergence (ICTC), Jeju, Republic of Korea, 17–19 October 2018; IEEE: Piscataway, NJ, USA; pp. 571–576. [Google Scholar]
- Shimizu, T.; Va, V.; Bansal, G.; Heath, R.W. Millimeter Wave V2X Communications: Use Cases and Design Considerations of Beam Management. In Proceedings of the 2018 Asia-Pacific Microwave Conference (APMC), Kyoto, Japan, 6–9 November 2018; IEEE: Piscataway, NJ, USA; pp. 183–185. [Google Scholar]
- Sulyman, A.I.; Nassar, A.T.; Samimi, M.K.; MacCartney, G.R.; Rappaport, T.S.; Alsanie, A. Radio Propagation Path Loss Models for 5G Cellular Networks in the 28 GHz and 38 GHz Millimeter-Wave Bands. IEEE Commun. Mag. 2014, 52, 78–86. [Google Scholar] [CrossRef]
- Gapeyenko, M.; Samuylov, A.; Gerasimenko, M.; Moltchanov, D.; Singh, S.; Akdeniz, M.R.; Aryafar, E.; Himayat, N.; Andreev, S.; Koucheryavy, Y. On the Temporal Effects of Mobile Blockers in Urban Millimeter-Wave Cellular Scenarios. IEEE Trans. Veh. Technol. 2017, 66, 10124–10138. [Google Scholar] [CrossRef]
- You, C.; Kang, Z.; Zeng, Y.; Zhang, R. Enabling Smart Reflection in Integrated Air-Ground Wireless Network: IRS Meets UAV. IEEE Wirel. Commun. 2021, 28, 138–144. [Google Scholar] [CrossRef]
- ElMossallamy, M.A.; Zhang, H.; Song, L.; Seddik, K.G.; Han, Z.; Li, G.Y. Reconfigurable Intelligent Surfaces for Wireless Communications: Principles, Challenges, and Opportunities. IEEE Trans. Cogn. Commun. Netw. 2020, 6, 990–1002. [Google Scholar] [CrossRef]
- Noor-A-Rahim, M.; Liu, Z.; Lee, H.; Khyam, M.O.; He, J.; Pesch, D.; Moessner, K.; Saad, W.; Poor, H.V. 6G for Vehicle-to-Everything (V2X) Communications: Enabling Technologies, Challenges, and Opportunities. Proc. IEEE 2022, 110, 712–734. [Google Scholar] [CrossRef]
- Sainath, B.; Mehta, N.B. Generalizing the Amplify-and-Forward Relay Gain Model: An Optimal SEP Perspective. IEEE Trans. Wirel. Commun. 2012, 11, 4118–4127. [Google Scholar] [CrossRef]
- Wu, Q.; Zhang, S.; Zheng, B.; You, C.; Zhang, R. Intelligent Reflecting Surface-Aided Wireless Communications: A Tutorial. IEEE Trans. Commun. 2021, 69, 3313–3351. [Google Scholar] [CrossRef]
- Wu, Q.; Zhang, R. Towards Smart and Reconfigurable Environment: Intelligent Reflecting Surface Aided Wireless Network. IEEE Commun. Mag. 2019, 58, 106–112. [Google Scholar] [CrossRef]
- Liaskos, C.; Nie, S.; Tsioliaridou, A.; Pitsillides, A.; Ioannidis, S.; Akyildiz, I. A New Wireless Communication Paradigm through Software-Controlled Metasurfaces. IEEE Commun. Mag. 2018, 56, 162–169. [Google Scholar] [CrossRef]
- Qi, F.; Liu, Q.; Li, W.; Yu, P.; Qiu, X. Enhanced 5G Mobile Broadcasting Service With Shape-Adaptive RIS. IEEE Trans. Broadcast. 2022, 68, 704–711. [Google Scholar] [CrossRef]
- Yang, Z.; Zhang, Y. Beamforming Optimization for RIS-Aided SWIPT in Cell-Free MIMO Networks. China Commun. 2021, 18, 175–191. [Google Scholar] [CrossRef]
- Basar, E.; Di Renzo, M.; De Rosny, J.; Debbah, M.; Alouini, M.-S.; Zhang, R. Wireless Communications through Reconfigurable Intelligent Surfaces. IEEE Access 2019, 7, 116753–116773. [Google Scholar] [CrossRef]
- Yang, L.; Meng, F.; Wu, Q.; Da Costa, D.B.; Alouini, M.-S. Accurate Closed-Form Approximations to Channel Distributions of RIS-Aided Wireless Systems. IEEE Wirel. Commun. Lett. 2020, 9, 1985–1989. [Google Scholar] [CrossRef]
- Van Chien, T.; Papazafeiropoulos, A.K.; Tu, L.T.; Chopra, R.; Chatzinotas, S.; Ottersten, B. Outage Probability Analysis of IRS-Assisted Systems under Spatially Correlated Channels. IEEE Wirel. Commun. Lett. 2021, 10, 1815–1819. [Google Scholar] [CrossRef]
- Han, Y.; Tang, W.; Jin, S.; Wen, C.-K.; Ma, X. Large Intelligent Surface-Assisted Wireless Communication Exploiting Statistical CSI. IEEE Trans. Veh. Technol. 2019, 68, 8238–8242. [Google Scholar] [CrossRef]
- Boulogeorgos, A.-A.A.; Alexiou, A. Ergodic Capacity Analysis of Reconfigurable Intelligent Surface Assisted Wireless Systems. In Proceedings of the 2020 IEEE 3rd 5G World Forum (5GWF), Bangalore, India, 10–12 September 2020; IEEE: Piscataway, NJ, USA, 2020; pp. 395–400. [Google Scholar]
- Li, J.; Liu, J. Sum Rate Maximization via Reconfigurable Intelligent Surface in UAV Communication: Phase Shift and Trajectory Optimization. In Proceedings of the 2020 IEEE/CIC International Conference on Communications in China (ICCC), Chongqing, China, 9–11 August 2020; IEEE: Piscataway, NJ, USA, 2020; pp. 124–129. [Google Scholar]
- Chen, Y.; Wang, Y.; Zhang, J.; Di Renzo, M. QoS-Driven Spectrum Sharing for Reconfigurable Intelligent Surfaces (RISs) Aided Vehicular Networks. IEEE Trans. Wirel. Commun. 2021, 20, 5969–5985. [Google Scholar] [CrossRef]
- Makarfi, A.U.; Rabie, K.M.; Kaiwartya, O.; Li, X.; Kharel, R. Physical Layer Security in Vehicular Networks with Reconfigurable Intelligent Surfaces. In Proceedings of the 2020 IEEE 91st Vehicular Technology Conference (VTC2020-Spring), Antwerp, Belgium, 25–28 May 2020; IEEE: Piscataway, NJ, USA, 2020; pp. 1–6. [Google Scholar]
- Al-Hilo, A.; Samir, M.; Elhattab, M.; Assi, C.; Sharafeddine, S. Reconfigurable Intelligent Surface Enabled Vehicular Communication: Joint User Scheduling and Passive Beamforming. IEEE Trans. Veh. Technol. 2022, 71, 2333–2345. [Google Scholar] [CrossRef]
- Pan, Q.; Wu, J.; Nebhen, J.; Bashir, A.K.; Su, Y.; Li, J. Artificial Intelligence-Based Energy Efficient Communication System for Intelligent Reflecting Surface-Driven Vanets. IEEE Trans. Intell. Transp. Syst. 2022, 23, 19714–19726. [Google Scholar] [CrossRef]
- Wang, J.; Zhang, W.; Bao, X.; Song, T.; Pan, C. Outage Analysis for Intelligent Reflecting Surface Assisted Vehicular Communication Networks. In Proceedings of the GLOBECOM 2020-2020 IEEE Global Communications Conference, Taipei, Taiwan, 7–11 December 2020; IEEE: Piscataway, NJ, USA, 2020; pp. 1–6. [Google Scholar]
- Ni, Y.; Liu, Y.; Zhou, J.; Wang, Q.; Zhao, H.; Zhu, H. Performance Analysis for Large Intelligent Surface Assisted Vehicular Networks. China Commun. 2021, 18, 1–17. [Google Scholar] [CrossRef]
- Li, X.; Zhou, L.; Zhou, S.; Xu, Y. Deployment Optimization Based on Hybrid Intelligent Algorithms for UAV Communications. In Proceedings of the 2019 IEEE Globecom Workshops (GC Wkshps), Waikoloa, HI, USA, 9–13 December 2019; IEEE: Piscataway, NJ, USA, 2019; pp. 1–6. [Google Scholar]
- Haenggi, M. Stochastic Geometry for Wireless Networks; Cambridge University Press: Cambridge, UK, 2012. [Google Scholar]
- Shafique, T.; Tabassum, H.; Hossain, E. Stochastic Geometry Analysis of IRS-Assisted Downlink Cellular Networks. IEEE Trans. Commun. 2022, 70, 1442–1456. [Google Scholar] [CrossRef]
- Karagiannidis, G.K.; Sagias, N.C.; Mathiopoulos, P.T. N∗Nakagami: A Novel Stochastic Model for Cascaded Fading Channels. IEEE Trans. Commun. 2007, 55, 1453–1458. [Google Scholar] [CrossRef]
- Ansari, I.S.; Al-Ahmadi, S.; Yilmaz, F.; Alouini, M.-S.; Yanikomeroglu, H. A New Formula for the BER of Binary Modulations with Dual-Branch Selection over Generalized-K Composite Fading Channels. IEEE Trans. Commun. 2011, 59, 2654–2658. [Google Scholar] [CrossRef]
- Agrawal, N.; Bansal, A.; Singh, K.; Li, C.-P. Performance Evaluation of RIS-Assisted UAV-Enabled Vehicular Communication System with Multiple Non-Identical Interferers. IEEE Trans. Intell. Transp. Syst. 2021, 23, 9883–9894. [Google Scholar] [CrossRef]
- Belmekki, B.E.Y.; Hamza, A.; Escrig, B. On the Outage Probability of Vehicular Communications at Intersections over Nakagami-m Fading Channels. In Proceedings of the 2020 IEEE 91st Vehicular Technology Conference (VTC2020-Spring), Antwerp, Belgium, 25–28 May 2020; IEEE: Piscataway, NJ, USA, 2020; pp. 1–5. [Google Scholar]
- Al-Hourani, A.; Evans, R.J.; Kandeepan, S. Nearest Neighbor Distance Distribution in Hard-Core Point Processes. IEEE Commun. Lett. 2016, 20, 1872–1875. [Google Scholar] [CrossRef]
- Tassi, A.; Egan, M.; Piechocki, R.J.; Nix, A. Modeling and Design of Millimeter-Wave Networks for Highway Vehicular Communication. IEEE Trans. Veh. Technol. 2017, 66, 10676–10691. [Google Scholar] [CrossRef]
- Yi, W.; Liu, Y.; Deng, Y.; Nallanathan, A.; Heath, R.W. Modeling and Analysis of MmWave V2X Networks with Vehicular Platoon Systems. IEEE J. Sel. Areas Commun. 2019, 37, 2851–2866. [Google Scholar] [CrossRef]









Disclaimer/Publisher’s Note: The statements, opinions and data contained in all publications are solely those of the individual author(s) and contributor(s) and not of MDPI and/or the editor(s). MDPI and/or the editor(s) disclaim responsibility for any injury to people or property resulting from any ideas, methods, instructions or products referred to in the content. |
© 2023 by the authors. Licensee MDPI, Basel, Switzerland. This article is an open access article distributed under the terms and conditions of the Creative Commons Attribution (CC BY) license (https://creativecommons.org/licenses/by/4.0/).
Share and Cite
Li, K.; Zhou, S.; Tan, G. Performance Analysis of a Reconfigurable-Intelligent-Surfaces-Assisted V2V Communication System. Electronics 2023, 12, 2383. https://doi.org/10.3390/electronics12112383
Li K, Zhou S, Tan G. Performance Analysis of a Reconfigurable-Intelligent-Surfaces-Assisted V2V Communication System. Electronics. 2023; 12(11):2383. https://doi.org/10.3390/electronics12112383
Chicago/Turabian StyleLi, Kainan, Siyuan Zhou, and Guoping Tan. 2023. "Performance Analysis of a Reconfigurable-Intelligent-Surfaces-Assisted V2V Communication System" Electronics 12, no. 11: 2383. https://doi.org/10.3390/electronics12112383
APA StyleLi, K., Zhou, S., & Tan, G. (2023). Performance Analysis of a Reconfigurable-Intelligent-Surfaces-Assisted V2V Communication System. Electronics, 12(11), 2383. https://doi.org/10.3390/electronics12112383
