Analysis of the Applicable Range of the Standard Lambertian Model to Describe the Reflection in Visible Light Communication
Abstract
:1. Introduction
- The inappropriate index Q of the standard Lambertian model is defined for the first time;
- The relationship between the Q and the position of the LED is simulated in some different situations with only the first reflection considered;
- The range of LED positions, for which the standard Lambertian models can be used to describe the reflection of an empty room with plaster walls applicably, is determined.
2. Standard Lambertian Model
2.1. Definition of the Standard Lambertian Model
2.2. Origin of the Standard Lambertian Model in VLC
- Using an infrared light with a wavelength of 950 nm to measure the reflected luminous intensity distribution of a white plaster wall, Figure 3 was drawn, where the letters indicate the incident angle, and the dotted circle is the luminous intensity distribution characteristic diagram of the standard Lambertian surface;
- The reflection characteristics are generally composed of a diffuse and a specular component, the latter becoming significant with very shallow angles of the incident radiation;
- Typical values of the reflection coefficient for plaster walls vary between 0.7 and 0.85 depending on the surface texture and angle of incidence, and the radiation characteristics are a close fit to a Lambertian distribution.
3. Simplified Analysis
3.1. One Infinitely Long Wall
3.1.1. Situation Description
3.1.2. Calculation Setting
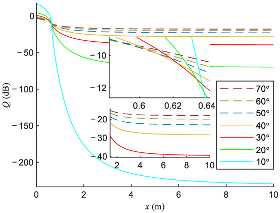
3.1.3. Calculation Results
3.2. A Corner between Two Infinitely Long Walls
3.2.1. Situation Description
3.2.2. Calculation Results
3.3. A Square Empty Room with an LED Installed in the Center of the Ceiling
3.3.1. Situation Description
3.3.2. Calculation Results
4. Detailed Analysis
4.1. Situation Description
4.2. Calculation Setting
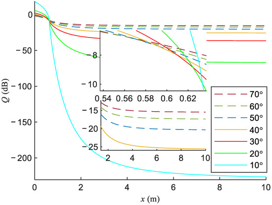
4.3. Calculation Results
5. Conclusions
- When the LED is close to the wall, the inappropriateness of the standard Lambertian model is relatively high;
- With an increase in distance, the inappropriateness decreases gradually;
- When the distance between the LED and the wall reaches 0.685 m, the inappropriateness decreases sharply and reaches the minimum;
- When the distance is greater than 0.685 m, the standard Lambertian model can be adopted completely. When the distance is less than 0.685 m, other more complex models need to be adopted according to the actual situation.
Author Contributions
Funding
Conflicts of Interest
Appendix A

Appendix A.1. FW

Appendix A.2. FL
Appendix A.2.1. 0 < θW ≤ θL

Appendix A.2.2. θL < θW < π/2

Appendix B
Appendix B.1. FW

Appendix B.2. FL
Appendix B.2.1. 0 < θW ≤ θL

Appendix B.2.2. θL < θW < π/2

Appendix C
Appendix C.1. FW
Appendix C.2. FL
Appendix D


Appendix D.1. FW

Appendix D.2. FL


Appendix D.2.1. 0 < θW1 ≤ θL
Appendix D.2.2. θL < θW1 ≤ θL,π/4,P
Appendix D.2.3. θL,π/4,P < θW1 ≤ π/2
References
- Gfeller, F.; Bapst, U. Wireless in-house data communication via diffuse infrared radiation. Proc. IEEE 1979, 67, 1474–1486. [Google Scholar] [CrossRef]
- Komine, T.; Nakagawa, M. Fundamental analysis for visible-light communication system using LED lights. IEEE Trans. Consum. Electron. 2004, 50, 100–107. [Google Scholar] [CrossRef]
- Pathak, P.H.; Feng, X.; Hu, P.; Mohapatra, P. Visible Light Communication, Networking, and Sensing: A Survey, Potential and Challenges. IEEE Commun. Surv. Tutor. 2015, 17, 2047–2077. [Google Scholar] [CrossRef]
- Karunatilaka, D.; Zafar, F.; Kalavally, V.; Parthiban, R. LED Based Indoor Visible Light Communications: State of the Art. IEEE Commun. Surv. Tutor. 2015, 17, 1649–1678. [Google Scholar] [CrossRef]
- Younus, S.H.; Al-Hameed, A.A.; Hussein, A.T.; Alresheedi, M.T.; Elmirghani, J. Parallel Data Transmission in Indoor Visible Light Communication Systems. IEEE Access 2018, 7, 1126–1138. [Google Scholar] [CrossRef]
- Miramirkhani, F.; Uysal, M. Channel Modeling and Characterization for Visible Light Communications. IEEE Photon. J. 2015, 7, 1–16. [Google Scholar] [CrossRef]
- Ramirez-Aguilera, A.; Luna-Rivera, J.; Guerra, V.; Rabadan, J.; Perez-Jimenez, R.; Lopez-Hernandez, F. A Review of Indoor Channel Modeling Techniques for Visible Light Communications. In Proceedings of the 2018 IEEE 10th Latin-American Conference on Communications (LATINCOM), Guadalajara, Mexico, 14–16 November 2018. [Google Scholar]
- Miramirkhani, F.; Uysal, M. Channel Modelling for Indoor Visible Light Communications. Philos. Trans. R. Soc. A Math. Phys. Eng. Sci. 2020, 378, 1–35. [Google Scholar] [CrossRef] [PubMed] [Green Version]
- Mmbaga, P.F.; Thompson, J.; Haas, H. Performance Analysis of Indoor Diffuse VLC MIMO Channels Using Angular Diver-sity Detectors. J. Lightwave Technol. 2016, 34, 1254–1266. [Google Scholar] [CrossRef] [Green Version]
- Rodríguez, S.P.; Perez-Jimenez, R.; Mendoza, B.R.; Hernández, F.J.L.; Alfonso, A.J.A. Simulation of impulse response for indoor visible light communications using 3D CAD models. EURASIP J. Wirel. Commun. Netw. 2013, 2013, 7. [Google Scholar] [CrossRef] [Green Version]
- Behlouli; Combeau, P.; Sahuguede, S.; Julien-Vergonjanne, A.; Le Bas, C.; Aveneau, L. Impact of physical and geometrical parameters on visible light communication links. In Proceedings of the 2017 Advances in Wireless and Optical Communications (RTUWO), Riga, Latvia, 2–3 November 2017. [Google Scholar]
- Rufo, J.; Rabadan, J.; Guerra, V.; Perez-Jimenez, R. BRDF Models for the Impulse Response Estimation in Indoor Optical Wireless Channels. IEEE Photon.-Technol. Lett. 2017, 29, 1431–1434. [Google Scholar] [CrossRef]
- Zhang, X.; Zhao, N.; Al-Turjman, F.; Khan, M.; Yang, X. An Optimization of the Signal-to-Noise Ratio Distribution of an Indoor Visible Light Communication System Based on the Conventional Layout Model. Sustainability 2020, 12, 9006. [Google Scholar] [CrossRef]
- Nicodemus, F.E. Directional Reflectance and Emissivity of an Opaque Surface. Appl. Opt. 1965, 4, 767–775. [Google Scholar] [CrossRef]
- He, X.D.; Torrance, K.E.; Sillion, F.X.; Greenberg, D.P. A comprehensive physical model for light reflection. ACM SIGGRAPH Comput. Graph. 1991, 25, 175–186. [Google Scholar] [CrossRef]













| Item | Data |
|---|---|
| The height of the LED hLED | 2.50 m |
| The height of the receiving plane hr | 0.75 m |
| The distance between the LED and wall x | 0.05:0.05:10 m |
| The axial luminous intensity of the LED I0 | 0.73 cd |
| The semi-luminous intensity angle of the LED θ1/2 | 10:10:70° |
| The maximum incidence angle to the standard Lambertian model θL,Max | 70° (7π/18 rad) |
Publisher’s Note: MDPI stays neutral with regard to jurisdictional claims in published maps and institutional affiliations. |
© 2022 by the authors. Licensee MDPI, Basel, Switzerland. This article is an open access article distributed under the terms and conditions of the Creative Commons Attribution (CC BY) license (https://creativecommons.org/licenses/by/4.0/).
Share and Cite
Zhang, X.; Yang, X.; Zhao, N.; Khan, M.B. Analysis of the Applicable Range of the Standard Lambertian Model to Describe the Reflection in Visible Light Communication. Electronics 2022, 11, 1514. https://doi.org/10.3390/electronics11091514
Zhang X, Yang X, Zhao N, Khan MB. Analysis of the Applicable Range of the Standard Lambertian Model to Describe the Reflection in Visible Light Communication. Electronics. 2022; 11(9):1514. https://doi.org/10.3390/electronics11091514
Chicago/Turabian StyleZhang, Xiangyang, Xiaodong Yang, Nan Zhao, and Muhammad Bilal Khan. 2022. "Analysis of the Applicable Range of the Standard Lambertian Model to Describe the Reflection in Visible Light Communication" Electronics 11, no. 9: 1514. https://doi.org/10.3390/electronics11091514
APA StyleZhang, X., Yang, X., Zhao, N., & Khan, M. B. (2022). Analysis of the Applicable Range of the Standard Lambertian Model to Describe the Reflection in Visible Light Communication. Electronics, 11(9), 1514. https://doi.org/10.3390/electronics11091514

