Statistical Description of SaO2–SpO2 Relationship for Model of Oxygenation in Premature Infants
Abstract
:1. Introduction
2. Materials and Methods
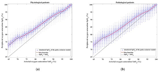
2.1. SaO2–SpO2 Bias
- For the SaO2 range 0–70%:
- For the SaO2 range 70–96%:
- For the SaO2 range 96–100%:
2.2. SpO2 Measurement Noise
2.2.1. Data Processing
2.2.2. Median Filter Window Size
2.2.3. Integration of SaO2–SpO2 Bias with SpO2 Measurement Noise
3. Results
4. Discussion
5. Conclusions
Author Contributions
Funding
Data Availability Statement
Acknowledgments
Conflicts of Interest
Appendix A
| SpO2 Noise Level (%) | CDF for Physiological Patients (–) | CDF for Pathological Patients (–) | ||||
|---|---|---|---|---|---|---|
| All SaO2 Values | SaO2 ≤ 96% | SaO2 ≥ 97% | All SaO2 Values | SaO2 ≤ 96% | SaO2 ≥ 97% | |
| −6 | 0.0007 | 0.0009 | 0.0006 | 0.0085 | 0.0112 | 0.0060 |
| −5 | 0.0020 | 0.0025 | 0.0015 | 0.0217 | 0.0284 | 0.0157 |
| −4 | 0.0056 | 0.0076 | 0.0039 | 0.0418 | 0.0544 | 0.0305 |
| −3 | 0.0138 | 0.0186 | 0.0095 | 0.0738 | 0.0947 | 0.0551 |
| −2 | 0.0461 | 0.0589 | 0.0346 | 0.1316 | 0.1642 | 0.1025 |
| −1 | 0.2295 | 0.2436 | 0.2167 | 0.2830 | 0.3171 | 0.2524 |
| 0 | 0.7786 | 0.7333 | 0.8198 | 0.7052 | 0.6247 | 0.7773 |
| 1 | 0.9683 | 0.9457 | 0.9889 | 0.9132 | 0.8512 | 0.9688 |
| 2 | 0.9932 | 0.9863 | 0.9995 | 0.9711 | 0.9429 | 0.9964 |
| 3 | 0.9980 | 0.9957 | 1.0000 | 0.9893 | 0.9774 | 1.0000 |
| 4 | 0.9992 | 0.9984 | – | 0.9962 | 0.9920 | – |
| 5 | 0.9998 | 0.9997 | – | 0.9989 | 0.9977 | – |
| 6 | 1.0000 | 1.0000 | – | 1.0000 | 1.0000 | – |
References
- Fathabadi, O.S.; Gale, T.J.; Olivier, J.C.; Dargaville, P.A. Automated control of inspired oxygen for preterm infants: What we have and what we need. Biomed. Signal Process. Control 2016, 28, 9–18. [Google Scholar] [CrossRef]
- Claure, N.; Bancalari, E. Closed-loop control of inspired oxygen in premature infants. Semin. Fetal Neonatal Med. 2015, 20, 198–204. [Google Scholar] [CrossRef] [PubMed]
- Sanchez-Morillo, D.; Olaby, O.; Fernandez-Granero, M.A.; Leon-Jimenez, A. Physiological closed-loop control in intelligent oxygen therapy: A review. Comput. Methods Programs Biomed. 2017, 146, 101–108. [Google Scholar] [CrossRef] [PubMed]
- Mitra, S.; Singh, B.; El-Naggar, W.; McMillan, D.D. Automated versus manual control of inspired oxygen to target oxygen saturation in preterm infants: A systematic review and meta-analysis. J. Perinatol. 2018, 38, 351–360. [Google Scholar] [CrossRef]
- Sturrock, S.; Williams, E.; Dassios, T.; Greenough, A. Closed loop automated oxygen control in neonates—A review. Acta Paediatr. 2019, 109, 914–922. [Google Scholar] [CrossRef]
- Dani, C. Automated control of inspired oxygen (FiO2) in preterm infants: Literature review. Pediatr. Pulmonol. 2019, 54, 358–363. [Google Scholar] [CrossRef]
- Morozoff, E.P.; Saif, M. Oxygen therapy control of neonates—Part I: A model of neonatal oxygen transport. Control Intell. Syst. 2008, 36, 227–237. [Google Scholar] [CrossRef]
- Rafl, J.; Bachman, T.E.; Martinek, T.; Tejkl, L.; Huttova, V.; Kudrna, P.; Roubik, K. Design and Demonstration of a Complex Neonatal Physiological Model for Testing of Novel Closed-Loop Inspired Oxygen Fraction Controllers. In World Congress on Medical Physics and Biomedical Engineering 2018, Proceedings of the IUPESM World Congress on Medical Physics and Biomedical Engineering, Prague, Czech Republic, 3–8 June 2018; Lhotska, L., Sukupova, L., Lacković, I., Ibbott, G., Eds.; Springer: Singapore, 2019; pp. 725–729. [Google Scholar] [CrossRef]
- Rafl, J.; Huttova, V.; Möller, K.; Bachman, T.E.; Tejkl, L.; Kudrna, P.; Rozanek, M.; Roubik, K. Computer model of oxygenation in neonates. Curr. Dir. Biomed. Eng. 2019, 5, 73–76. [Google Scholar] [CrossRef]
- Dargaville, P.A.; Marshall, A.P.; McLeod, L.; Salverda, H.H.; te Pas, A.B.; Gale, T.J. Automation of oxygen titration in preterm infants: Current evidence and future challenges. Early Hum. Dev. 2021, 162, 105462. [Google Scholar] [CrossRef]
- Ross, P.A.; Newth, C.J.L.; Khemani, R.G. Accuracy of Pulse Oximetry in Children. Pediatrics 2014, 133, 22–29. [Google Scholar] [CrossRef] [Green Version]
- Bohnhorst, B.; Peter, C.S.; Poets, C.F. Detection of hyperoxaemia in neonates: Data from three new pulse oximeters. Arch. Dis. Child Fetal Neonatal Ed. 2002, 87, F217–F219. [Google Scholar] [CrossRef] [PubMed] [Green Version]
- Gerstmann, D.; Berg, R.; Haskell, R.; Brower, C.; Wood, K.; Yoder, B.; Greenway, L.; Lassen, G.; Ogden, R.; Stoddard, R.; et al. Operational Evaluation of Pulse Oximetry in NICU Patients with Arterial Access. J. Perinatol. 2003, 23, 378–383. [Google Scholar] [CrossRef] [PubMed] [Green Version]
- Rosychuk, R.J.; Hudson-Mason, A.; Eklund, D.; Lacaze-Masmonteil, T. Discrepancies between Arterial Oxygen Saturation and Functional Oxygen Saturation Measured with Pulse Oximetry in Very Preterm Infants. Neonatology 2012, 101, 14–19. [Google Scholar] [CrossRef] [PubMed]
- Harris, B.U.; Char, D.S.; Feinstein, J.A.; Verma, A.; Shiboski, S.C.; Ramamoorthy, C. Accuracy of Pulse Oximeters Intended for Hypoxemic Pediatric Patients. Pediatr. Crit. Care Med. 2016, 17, 315–320. [Google Scholar] [CrossRef] [PubMed]
- Harris, B.U.; Stewart, S.; Verma, A.; Hoen, H.; Stein, M.L.; Wright, G.; Ramamoorthy, C. Accuracy of a portable pulse oximeter in monitoring hypoxemic infants with cyanotic heart disease. Cardiol. Young 2019, 29, 1025–1029. [Google Scholar] [CrossRef] [PubMed]
- Murphy, D.; Pak, Y.; Cleary, J.P. Pulse Oximetry Overestimates Oxyhemoglobin in Neonates with Critical Congenital Heart Disease. Neonatology 2016, 109, 213–218. [Google Scholar] [CrossRef]
- Bachman, T.E.; Newth, C.J.L.; Ross, P.A.; Iyer, N.P.; Khemani, R.G. Characterization of the bias between oxygen saturation measured by pulse oximetry and calculated by an arterial blood gas analyzer in critically ill neonates. Lek. Technol. 2017, 47, 130–134. [Google Scholar]
- Griksaitis, M.J.; Scrimgeour, G.E.; Pappachan, J.V.; Baldock, A.J. Accuracy of the Masimo SET® LNCS neo peripheral pulse oximeter in cyanotic congenital heart disease. Cardiol. Young 2016, 26, 1183–1186. [Google Scholar] [CrossRef]
- Lakshminrusimha, S.; Manja, V.; Mathew, B.; Suresh, G.K. Oxygen targeting in preterm infants: A physiological interpretation. J. Perinatol. 2015, 35, 8–15. [Google Scholar] [CrossRef] [Green Version]
- Jubran, A. Pulse oximetry. Crit. Care 2015, 19, 272. [Google Scholar] [CrossRef] [Green Version]
- Shiao, S.Y. Effects of fetal hemoglobin on accurate measurements of oxygen saturation in neonates. J. Perinat. Neonatal Nurs. 2005, 19, 348–361. [Google Scholar] [CrossRef] [PubMed]
- Petterson, M.T.; Begnoche, V.L.; Graybeal, J.M. The Effect of Motion on Pulse Oximetry and Its Clinical Significance. Anesth. Analg. 2007, 105, S78–S84. [Google Scholar] [CrossRef] [PubMed]
- Sola, A.; Golombek, S.G.; Montes Bueno, M.T.; Lemus-Varela, L.; Zuluaga, C.; Domínguez, F.; Baquero, H.; Young Sarmiento, A.E.; Natta, D.; Rodriguez Perez, J.M.; et al. Safe oxygen saturation targeting and monitoring in preterm infants: Can we avoid hypoxia and hyperoxia? Acta Paediatr. 2014, 103, 1009–1018. [Google Scholar] [CrossRef]
- Fine, J.; Branan, K.L.; Rodriguez, A.J.; Boonya-Ananta, T.; Ramella-Roman, J.C.; McShane, M.J.; Coté, G.L.. Sources of Inaccuracy in Photoplethysmography for Continuous Cardiovascular Monitoring. Biosensors 2021, 11, 126. [Google Scholar] [CrossRef] [PubMed]
- Lee, J.; Kim, M.; Park, H.-K.; Kim, I.Y. Motion Artifact Reduction in Wearable Photoplethysmography Based on Multi-Channel Sensors with Multiple Wavelengths. Sensors 2020, 20, 1493. [Google Scholar] [CrossRef] [PubMed] [Green Version]
- Sabeti, E.; Reamaroon, N.; Mathis, M.; Gryak, J.; Sjoding, M.; Najarian, K. Signal quality measure for pulsatile physiological signals using morphological features: Applications in reliability measure for pulse oximetry. Inform. Med. Unlocked 2019, 16, 100222. [Google Scholar] [CrossRef] [PubMed]
- Pereira, T.; Gadhoumi, K.; Ma, M.; Liu, X.; Xiao, R.; Colorado, R.A.; Keenan, K.J.; Meisel, K.; Hu, X. A Supervised Approach to Robust Photoplethysmography Quality Assessment. IEEE J. Biomed. Health Inform. 2020, 24, 649–657. [Google Scholar] [CrossRef]
- Morozoff, E.P.; Smyth, J.A.; Saif, M. Applying Computer Models to Realize Closed-Loop Neonatal Oxygen Therapy. Anesth. Analg. 2017, 124, 95–103. [Google Scholar] [CrossRef]
- Huttova, V.; Rafl, J.; Möller, K.; Bachman, T.E.; Kudrna, P.; Rozanek, M.; Roubik, K. Model of SpO2 signal of the neonate. Curr. Dir. Biomed. Eng. 2019, 5, 549–552. [Google Scholar] [CrossRef]
- Wellington, G.; Elder, D.; Campbell, A. 24-hour oxygen saturation recordings in preterm infants: Editing artefact. Acta Paediatr. 2018, 107, 1362–1369. [Google Scholar] [CrossRef]
- Cha, S.-H.; Srihari, S.N. On measuring the distance between histograms. Pattern Recognit. 2002, 35, 1355–1370. [Google Scholar] [CrossRef] [Green Version]
- Rad-97™ Pulse CO-Oximeter—Operator’s Manual. Available online: https://techdocs.masimo.com/globalassets/techdocs/pdf/lab-9275d_master.pdf (accessed on 23 February 2022).
- Ouahabi, A. (Ed.) Signal and Image Multiresolution Analysis; ISTE-Wiley: London, UK; Hoboken, NJ, USA, 2013. [Google Scholar]
- Haneche, H.; Boudraa, B.; Ouahabi, A. A new way to enhance speech signal based on compressed sensing. Measurement 2020, 151, 107117. [Google Scholar] [CrossRef]
- Hallenberger, A.; Poets, C.F.; Horn, W.; Seyfang, A.; Urschitz, M.S. Closed-Loop Automatic Oxygen Control (CLAC) in Preterm Infants: A Randomized Controlled Trial. Pediatrics 2014, 133, e379–e385. [Google Scholar] [CrossRef] [PubMed] [Green Version]
- Tobin, R.M.; Pologe, J.A.; Batchelder, P.B. A Characterization of Motion Affecting Pulse Oximetry in 350 Patients. Anesth. Analg. 2002, 94, S54–S61. [Google Scholar] [PubMed]
- Fletcher, J.; Page, M.; Jeffery, H.E. Sleep States and Neonatal Pulse Oximetry. Sleep 1998, 21, 305–310. [Google Scholar] [CrossRef] [PubMed] [Green Version]
- Sands, S.A.; Edwards, B.A.; Kelly, V.J.; Davidson, M.R.; Wilkinson, M.H.; Berger, P.J. A Model Analysis of Arterial Oxygen Desaturation during Apnea in Preterm Infants. PLoS Comput. Biol. 2009, 5, e1000588. [Google Scholar] [CrossRef]
- Poets, C.F.; Southall, D.P. Patterns of oxygenation during periodic breathing in preterm infants. Early Hum. Dev. 1991, 26, 1–12. [Google Scholar] [CrossRef]










Publisher’s Note: MDPI stays neutral with regard to jurisdictional claims in published maps and institutional affiliations. |
© 2022 by the authors. Licensee MDPI, Basel, Switzerland. This article is an open access article distributed under the terms and conditions of the Creative Commons Attribution (CC BY) license (https://creativecommons.org/licenses/by/4.0/).
Share and Cite
Rafl-Huttova, V.; Rafl, J.; Möller, K.; Bachman, T.E.; Kudrna, P.; Rozanek, M. Statistical Description of SaO2–SpO2 Relationship for Model of Oxygenation in Premature Infants. Electronics 2022, 11, 1314. https://doi.org/10.3390/electronics11091314
Rafl-Huttova V, Rafl J, Möller K, Bachman TE, Kudrna P, Rozanek M. Statistical Description of SaO2–SpO2 Relationship for Model of Oxygenation in Premature Infants. Electronics. 2022; 11(9):1314. https://doi.org/10.3390/electronics11091314
Chicago/Turabian StyleRafl-Huttova, Veronika, Jakub Rafl, Knut Möller, Thomas E. Bachman, Petr Kudrna, and Martin Rozanek. 2022. "Statistical Description of SaO2–SpO2 Relationship for Model of Oxygenation in Premature Infants" Electronics 11, no. 9: 1314. https://doi.org/10.3390/electronics11091314
APA StyleRafl-Huttova, V., Rafl, J., Möller, K., Bachman, T. E., Kudrna, P., & Rozanek, M. (2022). Statistical Description of SaO2–SpO2 Relationship for Model of Oxygenation in Premature Infants. Electronics, 11(9), 1314. https://doi.org/10.3390/electronics11091314

