Abstract
In this paper, the pulse wave (PW) rectifier of the Schottky diode is theoretically analyzed using the microwave equivalent circuit. It is found that the duty cycle of PW is inversely proportional to the load resistance of the rectifier when the amplitude of the input pulse is the same. Therefore, a stable high-efficiency rectifier can be designed by changing the value of the load resistance when the duty cycles are different. A grounded coplanar waveguide (GCPW) rectifier for the pulse wave is designed to verify this rule. The rectifier is simulated by ADS software and verified by the measurements. When the duty cycle of PW varies from 0.01 to 1 and the input pulse amplitude is stable at the operation frequency of 2.38 GHz, the measured rectifying efficiency can be maintained at the peak efficiency of 76.1% by adjusting the load resistance. However, when the input signal of the rectifier is the continuous wave (CW), the rectifying efficiency is only 3.9% at the same input power amplitude. The proposed rectifier has a simple structure so that it can obtain a high efficiency and has a compact size of 0.22λ0 × 0.11λ0. It can be a good candidate for simultaneous wireless information and power transmission (SWIPT) for low-power electronic devices in the Internet of Things (IoT).
1. Introduction
With the rapid development of wireless communication technology, the Internet of Things (IoT), wireless sensor networks (WSNs) and 5G/6G communication are widely studied and applied. Simultaneous wireless information and power transfer (SWIPT) technology is becoming more and more viable and necessary because electronic devices can be wirelessly powered during communication and the battery can be abandoned [,,]. A rectenna, consisting of a receiving antenna and a rectifier, is the crucial component of the SWIPT system. The rectifier converts the received power efficiently into dc (direct current) energy to power the electronic device. At present, the microwave-direct current (mw-dc) conversion efficiency, called the rectifying efficiency, can reach about 80% [,,]. Based on the continuous wave (CW), Chang’s group proposed the theoretical equations of the input impedance and the rectifying efficiency of the rectifying diode []. As is known, only the modulated waves carry the information. Rectifying the modulated waves with a high efficiency is a main feature of SWIPT.
The approaches of designing modulated signal rectifiers can be classified into three types. The first one is measurements. After designing the rectifiers based on the theory of the CW rectifier, the efficiencies of modulated signals were measured [,,,,]. The measured peak mw-dc efficiency of the CW in [] was 78.7%, while that of the QPSK signal was 72.4%. The rectifier in [] measured a maximum efficiency of 64.6% for CW and a peak efficiency of 61.4% for the BPSK signal. In [], the CW and AM-PM signal obtained the highest rectifying efficiencies of 52% and 46%, respectively. Apparently, the efficiencies of the modulated waves were lower than that of the CW wave, which is explained by the fact that the peak-to-average power ratios (PAPRs) of the CW and modulated waves were the same. Experimental research has found that the modulated waves with high PAPR would obtain high efficiency when the input power was low [,]. Pham et al. measured the maximum efficiencies of 74.7% for pulse wave (PW) and 8.3% for CW when the input power was −15 dBm and the load resistance was 100 kΩ []. In [], the measured results showed that the OFDM, white noise and chaotic signals had a higher efficiency than CW at the input power of −10 dBm.
The second classification is combining simulations with measurements. After simulating the designed rectifiers with ADS software, they were fabricated and measured [,,]. The mutisine signal obtained a peak efficiency of 72.6% with input power of 16 dBm []. The PW rectifier in [] measured a peak efficiency of 64% under the average input power of 4 dBm, while that in [] had an efficiency of 59.6% at −2.84 dBm input power.
The third classification is combining theoretical analysis, simulations and measurements. After analyzing the rectifiers theoretically, the conclusions obtained were verified by simulations and measurements. Firstly, the rectifiers were analyzed theoretically. Secondly, the conclusions obtained in the theoretical analysis were verified by simulations and measurements. By providing a theoretical analysis on the load of the rectifier, the authors of [] concluded that the optimal load of rectifiers for modulated waves would increase with the raise of the wave PAPR. Based on the equivalent circuit model and the derivation in [], the authors of [] gave the theoretical formula of rectifying efficiency for power-optimized waveforms when the input PAPR of the rectifier is greater than 1. It was concluded that the efficiency would improve with the input PAPR increasing from 2 to 200 when the input power is low. The theoretical analyses in [,] were verified by ADS simulations and measurements.
Apart from the PAPR of the modulated wave, other parameters also influence the peak efficiency of the rectifier. In this paper, the rectifying theory of the PW is analyzed theoretically. It is concluded that maximum efficiency can be obtained when the duty cycle and the load are inversely proportional under the same input PW amplitude. A GCPW (grounded coplanar waveguide) PW rectifier is designed, simulated and measured to validate the rule. The rectifier could be applied in SWIPT systems.
2. Theoretical Analysis of the PW Rectifier
The rectifier of PW is theoretically analyzed taking the voltage doubler rectifier as an example. The equivalent circuit model of the voltage doubler diodes is demonstrated in Figure 1 [], where Rs is the equivalent series resistance, Cj is the junction capacitance, CL is the dc filter capacitance and RL is the load resistance.

Figure 1.
Equivalent circuit model of the voltage doubler diode.
The time-domain waveform of PW with a repetition period of Ta is shown in Figure 2. The CW power is concentrated in a partial duration of ΔT. The ratio of ΔT to Ta is defined as the duty cycle α. The pulse time ΔT contains M consecutive sine periods (M = 3 in Figure 2).

Figure 2.
Waveform of PW in the time domain.
The voltage Vd across the diode is given by:
in which Vd0 is the dc component of Vd across a diode, Vd1 is the amplitude of fundamental voltage across the diode, VT is the forward turn-on voltage of the diode and φ is the phase difference between Vd and Vout, as shown in Figure 3. Assuming that V0 is the dc component of the voltage across RL and V1 is the amplitude of input PW, the voltage Vn of the node between the two diodes is:

Figure 3.
Vd and Vout in the time domain.
The output voltage Vout is described by:
Vd,dc is the average value of Vd in a complete period. It can be calculated by:
in which θ = ωt − φ and θon is the phase angle that the diode is turned on. It is obvious that the value of M is eliminated in (5), which indicates that M is unrelated to Vd,dc.
According to the Kirchhoff law, the output dc voltage and the voltage across the diode have the relationship:
The input voltage and current should be described as the root mean square (RMS) value. The RMS voltage of fundamental is calculated in:
The current across each diode is complex, so it is illustrated as:
in which only the real part IRcos(θ) is taken into account because the imaginary part does not consume electric energy. The real current is:
where IR (θon, φ) is a function of θon and φ. Therefore, the RMS current across each diode is:
The total input power can be obtained as:
Hence, the rectifying efficiency η is described as:
It can be found from Equation (11) that the rectifying efficiency of a PW rectifier is related to the production of the duty cycle α and the load resistance RL. When the peak input voltage V1 remains a constant value and the product of α and RL does not change, the maximum efficiency of the rectifier remains unchanged. In other words, under different duty cycles, the PW rectifier can maintain high rectifying efficiency by changing the load. CW can be regarded as a special PW with the duty cycle α being 1. Once the optimal load of the CW rectifier RLCW and that of the PW rectifier RLPW have the relationship RLCW = α × RLPW, the peak rectifying efficiencies of the two types of waveforms are the same when the amplitude remains the same.
The rectifying efficiency of PW rectifier is calculated using the following formula:
Considering a duty cycle of PW, the input pulse power Ppw and the average input power Pin have the following relationship:
In the view of power, Pin should be applied while calculating PW’s rectifying efficiency. It can be concluded that PW can obtain a higher efficiency at low average input power because the PW concentrates the power of CW in a partial time so that it can obtain a higher amplitude under the same relatively low value of Pin.
3. PW Rectifier Design and Measurement
In order to verify the conclusions drawn from the theoretical analysis of PW rectification in the previous section, a PW rectifier is designed. The schematic of a voltage doubling rectifier is shown in Figure 4. The rectifier consists of an impedance matching network, two rectifying diodes, a dc filter and a load resistance.

Figure 4.
Schematic of the voltage doubling rectifier.
The structure of the designed rectifier is presented in Figure 5. The GCPW transmission line is employed in the proposed rectifier to provide a dc path to diodes without vias, which have parasitic effects in rectifiers using microstrip lines. The Schottky diode HSMS-2862 is selected as the rectifying diode. HSMS-2862 consists of two diodes of HSMS-2860, which has a low junction capacitance of Cj0 = 0.18 pF, a low forward bias voltage of VT = 0.35 V and a reverse breakdown voltage of Vbr = 4 V []. The series capacitor C1 with a value of 47 pF acts as a dc block to prevent the dc signal from flowing back to the input source. To suppress the high-order harmonics and smooth the output dc voltage, the dc filter is designed by using capacitors C2 and C3 with a value of 470 pF, which are connected in parallel across the GCPW transmission line. The substrate is F4B with the relative dielectric constant εr of 2.65, the loss tangent tanδ of 0.001 and thickness h of 0.8 mm. The rectifier is simulated using ADS software. The parameters of the rectifier are w1 = 2.1 mm, w2 = 0.7 mm, w3 = 4 mm, g1 = 1 mm and g2 = 1.7 mm. The proposed rectifier operates at 2.4 GHz and has a compact size of 0.22 λ0 × 0.11 λ0 (28 × 14 mm2).

Figure 5.
Structure of the proposed rectifier.
The schematic and the actual measurement system are shown in Figure 6. CW and PW are both generated by the signal source AV1431. The output voltage across the load was measured with a voltage meter.

Figure 6.
Measurement system of the rectifier: (a) schematic (b) actual.
3.1. Measurements under the Same Voltage Amplitude
When the peak input voltage of the rectifier is the same, the rectifying efficiency versus load under different duty cycles is illustrated in Figure 7. Good agreement is achieved between simulated and measured results. The simulated operating frequency of the rectifier is 2.4 GHz as the input pulse power Ppw is 17 dBm. The average input power Pin can be calculated according to (13). The highest simulated rectifying efficiency remains above 77%, at the duty cycles of 0.01, 0.1, 0.5 and 1 and the corresponding loads of 50 kΩ, 5 kΩ, 1 kΩ and 0.5 kΩ. With the increase of duty cycle, the corresponding optimal load value decreases and the inverse relationship between the duty cycle and the load is satisfied. As the measured operating frequency is 2.38 GHz and the optimal input power Ppw is 20 dBm, the highest rectifying efficiency is generally maintained at 76%. The corresponding loads are 50 kΩ, 5 kΩ, 1 kΩ and 0.5 kΩ. Compared with the simulation results, the measured maximum rectifying efficiency is slightly decreased, but the trend of the curve remains the same. The diodes, capacitors and SMA connector are all soldered manually by ourselves, which leads to parasitic effects such as parasitic capacitors and inductances in the experimental measurements. Parasitic effects may cause the frequency offset. Therefore, the simulated and measured frequencies are 2.4 GHz and 2.38 GHz, respectively.

Figure 7.
Simulation and measurement of rectifying efficiency at the same input voltage.
Figure 8 shows the relationship between the duty cycle α and the load RL through calculations (shown in Appendix A), simulations and measurements when the PW rectifier reaches the maximum rectifying efficiency and the input voltage is stable. It is observed that when the PW rectifier obtains the highest rectifying efficiency under the same input voltage amplitude, the duty cycle α is proportional to the load reciprocal 1/RL so that the product of α and RL is a fixed value, which verifies the theoretical analysis.

Figure 8.
1/RL versus α at the same input voltage under the peak rectifying efficiency.
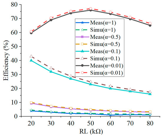
3.2. Measurements under the Same Average Input Power
Under different duty cycles, the efficiency of the rectifier varying with the load under the same average input power Pin is shown in Figure 9. The simulated operating frequency of the rectifier is 2.4 GHz and the measured frequency is 2.38 GHz. The simulated and measured average input power are –3 dBm and 0 dBm, respectively. The load range is 20–80 kΩ. As the duty cycle increases, the highest rectification efficiency gradually decreases. Compared with the simulation results, the actual measurement has the same change trend and the efficiency is slightly reduced. When α and RL are 0.01 and 50 kΩ, respectively, the highest rectification efficiency is 76.1%.

Figure 9.
Simulation and measurement of rectifying efficiency at the same average input power.
3.3. Formatting of Mathematical Components
Under different duty cycles, the rectifying efficiency versus the average input power is shown in Figure 10. The measured operating frequency is 2.38 GHz, the load is 50 kΩ and the values of duty cycle α are 0.01, 0.1 and 1. When the duty cycle is 0.01, the measured highest rectifying efficiency is 76.1%, which is much greater than the highest rectification efficiencies of 3.9% and 28.4% when α is 1 and 0.1, respectively.

Figure 10.
Measurement of rectifying efficiency at the same load resistance.
4. Discussions
According to measurements under the same voltage amplitude, the conclusion of theoretical analysis is verified. When the peak input voltage is maintained, the peak rectifying efficiency of the PW remains unchanged and the product of α and RL is a fixed value. CW can be regarded as a special PW with the duty cycle α being 1. Therefore, a CW rectifier can be changed into a PW rectifier by changing the duty cycle and load.
The measured optimal input power and load corresponding to α = 1 are Pin = 20 dBm and RL = 0.5 kΩ, respectively, while those corresponding to α = 0.01 are Pin = 20 + 10log0.01 = 0 dBm and RL = 50 kΩ when the peak efficiencies are obtained. Therefore, the PW rectifier has a rectifying efficiency higher than 76% in the input power range of 0–20 dBm and the load range of 0.5–50 kΩ when α varies from 0.01 to 1. It is known that when the input voltages of PW and CW are the same, the duty cycle and load can be adjusted to obtain high rectifying efficiency in a wide input power range and a wide load range.
From measurements under the same input power and the same load, it can be concluded that due to the concentrated energy of PW, the rectification efficiency of PW is greater than that of CW (α = 1) under the conditions of low input power and high load resistance.
The performances of PW rectifiers in the literature are summarized in Table 1. It can be observed that this work has the following advantages. First, the PW rectifier is analyzed theoretically. It is concluded that the duty cycle of PW is inversely proportional to the load resistance of the rectifier when the amplitude of the input pulse is the same. The conclusion is validated by simulations and measurements. Second, the proposed rectifier has a simple structure so that the efficiency exceeds those in the literature and the size is compact.

Table 1.
Comparison of the proposed PW rectifier with others in the literature.
5. Conclusions
This paper studies PW rectification theoretically and designs a GCPW rectifier that obtains high-efficiency rectification. Based on the theory of the rectifier, the efficiency of PW rectification is analyzed. When the amplitude of the input voltage is the same, the inverse relationship between the duty cycle and the load is obtained. Therefore, high-efficiency rectification can be obtained under different duty cycles by changing the load. The rectifier adopts a voltage-doubling topology and a transmission line of ground coplanar waveguide. When the measured operating frequency is 2.38 GHz, the average input power is 0 dBm, the load is 50 kΩ and the duty cycle is 0.01, the highest rectifying efficiency reaches 76.1%. CW (α = 1), which has the same amplitude, has an equal highest rectifying efficiency at 500 Ω. In addition, PW can obtain a higher rectifying efficiency than CW under low input power and high load conditions. In the future, research on the PW rectifier can expand the application range of microwave power transmission and can be combined with information transmission to realize SWIPT.
Author Contributions
Conceptualization, B.X.; experiment design, B.X.; experiment performance, B.X.; data analysis, B.X. and X.Y.; writing—original draft preparation, B.X. and X.Y. All authors have read and agreed to the published version of the manuscript.
Funding
This research was funded by the National Natural Science Foundation of China, grant number 62171270.
Institutional Review Board Statement
Not applicable.
Informed Consent Statement
Not applicable.
Data Availability Statement
The data presented in this study are openly available.
Conflicts of Interest
The authors declare no conflict of interest.
Appendix A
The theoretical analysis in Section 2 can be verified as follows. The phase angle θon is described by:
Assume that the junction resistance of the diode is very large when the diode is off. Therefore, the voltage across the series resistance Rs is shown by:
The junction capacitance Cj is calculated by taking a Fourier series where:
in which the term higher than the second harmonic can be neglected. Substituting (A3) into (A2), it can be seen that:
Since (A4) should hold during the off period of the diode, each term in (A4) is separately zero:
Substituting (5) and (A4) into (A6), φ is described as:
in which Ceff is the effective capacitance and can be seen as Ceff ≈ Cj [].
The relationship between θon, Rs, RL and α is obtained by substituting (5), (A1), (A5) and (A6) into (4), so it is shown as:
V1 is calculated according to:
where V1eff is the effective value of input voltage and the relationship between V1eff and V1 is V1 = V1eff.
When the input impedance Zin is matched with the internal resistance Zs of the signal source, its value is:
Ppw = 20 dBm is substituted into (A9) and (A10) to obtain V1 = 3.16 V.
Taking Ceff ≈ Cj0, substituting frequency f = 2.4 GHz, diode’s junction resistance Rs = 6 Ω and the zero-bias capacitance Cj0 = 0.18 pF into Formula (A7), the phase difference φ = 0.0163 can be obtained.
In order to obtain the highest rectifying efficiency, the output voltage is V0 = Vbr = 4 V []. VT = 0.35 V, (A5) and (A6) are substituted into (A1) to obtain the conduction angle θon = 0.7329. Different duty cycles α can be substituted into (A8) to obtain the corresponding load resistance RL for different values of α so that the result of the calculation in Figure 8 is obtained.
Finally, substituting all the known conditions above and using (13), the theoretical maximum rectifying efficiency of PW under different duty cycles is obtained. The calculated peak rectifying efficiency is 83.4%.
References
- Jin, Y.; Kwak, K.S.; Yoo, S.-J. A Novel Energy Supply Strategy for Stable Sensor Data Delivery in Wireless Sensor Networks. IEEE Syst. J. 2020, 14, 3418–3429. [Google Scholar] [CrossRef]
- Gustavsson, U.; Frenger, P.; Fager, C.; Eriksson, T.; Zirath, H.; Dielacher, F.; Studer, C.; Pärssinen, A.; Correia, R.; Matos, J.N.; et al. Implementation Challenges and Opportunities in Beyond-5G and 6G Communication. IEEE J. Microw. 2021, 1, 86–100. [Google Scholar] [CrossRef]
- Ponnimbaduge Perera, T.D.; Jayakody, D.N.K.; Sharma, S.K.; Chatzinotas, S.; Li, J. Simultaneous Wireless Information and Power Transfer (SWIPT): Recent Advances and Future Challenges. IEEE Commun. Surv. Tutor. 2018, 20, 264–302. [Google Scholar] [CrossRef] [Green Version]
- Rodenbeck, C.T.; Jaffe, P.I.; Strassner, B.H., II; Hausgen, P.E.; McSpadden, J.O.; Kazemi, H.; Shinohara, N.; Tierney, B.B.; DePuma, C.B.; Self, A.P. Microwave and Millimeter Wave Power Beaming. IEEE J. Microw. 2021, 1, 229–259. [Google Scholar] [CrossRef]
- Chen, Z.N.; Liu, D.; Nakano, H.; Qing, X.; Zwick, T. Antennas in Microwave Wireless Power Transmission. In Handbook of Antenna Technologies; Springer Publishing Company: Berlin/Heidelberg, Germany, 2016; pp. 3033–3076. [Google Scholar]
- Yoo, T.; Chang, K. Theoretical and experimental development of 10 and 35 GHz rectennas. IEEE Trans. Microw. Theory Tech. 1992, 40, 1259–1266. [Google Scholar] [CrossRef]
- Zhu, G.; Du, J.; Yang, X.; Zhou, Y.; Gao, S. Dual-Polarized Communication Rectenna Array for Simultaneous Wireless Information and Power Transmission. IEEE Access 2019, 7, 141978–141986. [Google Scholar] [CrossRef]
- Jiang, Z.; Wang, Z.; Leach, M.; Lim, E.G.; Zhang, H.; Pei, R.; Huang, Y. Symbol-Splitting-Based Simultaneous Wireless Information and Power Transfer System for WPAN Applications. IEEE Microw. Wirel. Compon. Lett. 2020, 30, 713–716. [Google Scholar] [CrossRef]
- Rajabi, M.; Pan, N.; Claessens, S.; Pollin, S.; Schreurs, D. Modulation Techniques for Simultaneous Wireless Information and Power Transfer with an Integrated Rectifier–Receiver. IEEE Trans. Microw. Theory Tech. 2018, 66, 2373–2385. [Google Scholar] [CrossRef]
- Pham, V.-D.; Takhedmit, H.; Cirio, L. Waveform Optimization Using RF Pulse Signal on Voltage-Doubler Broadband Rectenna. IEEE J. Rad. Freq. Ident. 2021, 5, 139–147. [Google Scholar] [CrossRef]
- Collado, A.; Georgiadis, A. Optimal Waveforms for Efficient Wireless Power Transmission. IEEE Microw. Wirel. Compon. Lett. 2014, 24, 354–356. [Google Scholar] [CrossRef]
- Liu, Z.; Zhong, Z.; Guo, Y. In Vivo High-Efficiency Wireless Power Transfer with Multisine Excitation. IEEE Trans. Microw. Theory Tech. 2017, 65, 3530–3540. [Google Scholar] [CrossRef]
- Ibrahim, R.; Voyer, D.; Zoghbi, M.E.; Huillery, J.; Bréard, A.; Vollaire, C.; Allard, B.; Zaatar, Y. Novel Design for a Rectenna to Collect Pulse Waves at 2.4 GHz. IEEE Trans. Microw. Theory Tech. 2018, 66, 357–365. [Google Scholar] [CrossRef]
- Yang, C.; Yang, Y.; Lo, C. Subnanosecond Pulse Generators for Impulsive Wireless Power Transmission and Reception. IEEE Trans. Circuits Syst. Express Briefs 2011, 58, 817–821. [Google Scholar] [CrossRef]
- Bolos, F.; Blanco, J.; Collado, A.; Georgiadis, A. RF Energy Harvesting from Multi-Tone and Digitally Modulated Signals. IEEE Trans. Microw. Theory Tech. 2016, 64, 1918–1927. [Google Scholar] [CrossRef]
- Valenta, C.R.; Morys, M.M.; Durgin, G.D. Theoretical Energy-Conversion Efficiency for Energy-Harvesting Circuits Under Power-Optimized Waveform Excitation. IEEE Trans. Microw. Theory Tech. 2015, 63, 1758–1767. [Google Scholar] [CrossRef]
- Valenta, C.R.; Peterson, C.W. Theoretical energy-conversion efficiency for multi-stage RF energy harvesters. In Proceedings of the IEEE International Conference on RFID (RFID), Orlando, FL, USA, 3–5 May 2016. [Google Scholar]
- HSMS-286x Surface Mount RF Schottky Barrier Diodes. Available online: https://html.alldatasheetcn.com/html-pdf/729560/AVAGO/HSMS-2862/310/2/HSMS-2862.html (accessed on 12 March 2022).
Publisher’s Note: MDPI stays neutral with regard to jurisdictional claims in published maps and institutional affiliations. |
© 2022 by the authors. Licensee MDPI, Basel, Switzerland. This article is an open access article distributed under the terms and conditions of the Creative Commons Attribution (CC BY) license (https://creativecommons.org/licenses/by/4.0/).