Next Article in Journal
Hybrid Feature Reduction Using PCC-Stacked Autoencoders for Gold/Oil Prices Forecasting under COVID-19 Pandemic
Previous Article in Journal
Application of Novel AC–AC Matrix VFD for Power Factor Improvement in Conventional AC–DC–AC VFD-Loaded Power Distribution Lines
 
 
Font Type:
Arial Georgia Verdana
Font Size:
Aa Aa Aa
Line Spacing:
Column Width:
Background:
Article

Mechanism Analysis of a Subsequent Commutation Failure and a DC Power Recovery Speed Control Strategy

State Key Laboratory of Alternate Electrical Power System with Renewable Energy Sources, North China Electric Power University, Beijing 102206, China
*
Author to whom correspondence should be addressed.
Electronics 2022, 11(7), 998; https://doi.org/10.3390/electronics11070998
Submission received: 18 February 2022 / Revised: 17 March 2022 / Accepted: 20 March 2022 / Published: 23 March 2022
(This article belongs to the Section Industrial Electronics)

Abstract

:
A subsequent commutation failure (SCF) of the Line-Commutated Converter–High-Voltage Direct Current (LCC-HVDC) may occur during the recovery after the clearance of an AC fault, seriously threatening the safe and stable operation of the LCC-HVDC and the entire post-fault AC/DC hybrid power system. In this study, the mechanism of an SCF as affected by the transient stability was analyzed, and a DC power recovery speed control strategy is proposed as an additional form of control to prevent the occurrence of SCFs. First, the sending-end and receiving-end power systems were modeled as synchronous generators instead of ideal voltage sources, and the mechanism of an SCF as affected by the transient stability was analyzed and verified. Second, the ramp function was adopted to describe the recovery characteristic of DC power, and a model of its recovery was established. Then, the recovery speed control strategy is presented based on the mechanism analysis of SCFs, which can not only be used to avoid the occurrence of SCFs but also increase the transient stability margin of the sending-end power system. Finally, the effectiveness and robustness of the proposed control strategy were validated by using a hybrid electromechanical–electromagnetic model and the full electromagnetic model of the IEEE 39-bus asynchronous interconnection test power system. With the implementation of the proposed control strategy, the safe and stable operation of the LCC-HVDC and AC/DC hybrid power system can be guaranteed. The adaptive DC power recovery speed control strategy will be further investigated in future research work.

1. Introduction

For the purpose of optimizing the energy structure and resource allocation, promoting the consumption of new sources of energy, such as wind power [1], and reducing carbon emissions [2], Line-Commutated Converter–High-Voltage Direct Current (LCC-HVDC) transmission technology has been rapidly developed due to its advantages in long-distance bulk power transmission and the interconnection of regional power grids [3]. Differently from fully controlled power electronic devices such as Insulated Gate Bipolar Transistors (IGBTs) [4], the thyristors adopted by LCC-HVDC are semi-controlled power electronic devices. Consequently, an inverter bus voltage is needed for the commutation process between the thyristor-based valves, and a deterioration in the inverter bus voltage will lead to the occurrence of a commutation failure (CF) of the LCC-HVDC [5]. In addition, CFs and the DC power fluctuations caused by CFs will bring about new challenges to the safe and stable operation of LCC-HVDC and AC/DC hybrid power systems [6].
The first commutation failure (CF) is unavoidable, and a subsequent commutation failure (SCF) may occur when an AC fault occurs in the receiving-end power system [7]. An SCF of the LCC-HVDC will not only cause overcurrent issues with the converter valves, resulting in the shortening of their service life [8], but also severe DC power fluctuations in a short period of time [9], seriously threatening the transient stability of the sending-end power system [10]. Additionally, an SCF may occur during the AC fault [11] or during the recovery after the clearance of the AC fault [12]. Moreover, an SCF may occur due to another AC fault, such as a cascading failure or a reclosure on a permanent AC fault [13]. Therefore, SCFs are divided into Category 1, Category 2, and Category 3 SCFs. The occurrence mechanisms of the three categories of SCFs are not the same, so the prevention control strategies are different.
Category 3 SCFs can only be prevented by avoiding the occurrence of a cascading failure [14] or adopting adaptive reclosing instead of the DC control system itself [15].
Regarding Category 1 SCFs, the mechanism of an SCF as affected by improper interactions between DC controllers was deeply analyzed in [11], and the recovery control strategy of an adaptive extinction angle was employed to avoid the occurrence of SCFs. The recovery performance of a CF was improved in order to prevent the occurrence of SCFs by modifying the lower and upper limits of a Constant Extinction Angle (CEA) controller in [16]. Based on an analysis of the controller response and AC/DC interaction, an early warning system for SCFs was developed by considering the risks of controller regulation and the variations in electrical quantities in [17,18], and an emergency advanced control strategy was proposed with an adjustment of the inverter beta in [17]. In addition, the impact of the conventional Phase-Locked Loop (PLL) on SCFs during an AC fault was analyzed. In [19], a novel PLL was presented that supplies a precise phase reference for the DC control system, thereby reducing the probability of SCFs. The output of the extinction angle or DC voltage control was modified to mitigate the SCF by taking the error between the AC voltage phase and the PLL’s output angle into account in [20]. Moreover, in order to inhibit the SCF during an AC fault, a Commutation Failure Inhibition Module (CFIM) with a high response speed was designed in order to modify the firing angle by direct measurement of the overlapping area in [7]. A Controllable Commutation Failure Inhibitor (CCFI) was established in order to make the fault current rely on a reduced extinction angle in [21].
Category 2 SCFs are mainly related to the inverter bus voltage during the recovery after the clearance of an AC fault. On the one hand, by installing a Static Var Compensator (SVC) [22], the inverter bus voltage can be effectively supported during the recovery after the clearance of the AC fault, which will reduce the probability of SCFs, but additional investment is required. On the other hand, the DC control system could be optimized in order to prevent the occurrence of SCFs. In [23], an adaptive Voltage-Dependent Current Order Limiter (VDCOL) based on granular computing and fuzzy rules was applied to lower the reactive power consumption during low-voltage periods. In [12], the VDCOL was replaced with a novel current order control strategy on the basis of the relationship between the DC current order, the inverter bus voltage, and the inverter reactive power in order to improve the recovery performance.
In the above-mentioned studies on the mechanisms and prevention control strategies of SCFs, due to the fact that scholars have mainly focused on the LCC-HVDC itself, and not on the entire AC/DC hybrid power system, almost all receiving-end power systems are modeled as ideal voltage sources instead of synchronous generators, so the dynamic interaction characteristics between the AC system and the DC system are neglected. However, from the perspective of an AC/DC hybrid power system, the fluctuation in the DC power caused by the SCF has negative impact on the transient stability of the post-fault AC/DC hybrid power system, and the deterioration of the transient stability also affects the inverter bus voltage, which may cause additional SCFs to occur. Therefore, the sending-end and receiving-end power systems should be modeled as synchronous generators instead of ideal voltage sources. As a result, the mechanism of an SCF as affected by the transient stability can be analyzed and a corresponding control strategy can be proposed in order to prevent the occurrence of SCFs and guarantee the safe and stable operation of the LCC-HVDC and AC/DC hybrid power system.
In Section 2, the three categories of SCFs and their impacts on transient stability are further discussed. In Section 3, the mechanism of an SCF as affected by transient stability is analyzed based on the transient stability of the receiving-end power system and the reactive power characteristics of the inverter station and then validated by simulation results. In Section 4, a DC power recovery model is established by adopting the ramp function, and a recovery speed control strategy is presented that can be used to not only avoid the occurrence of SCFs but also increase the transient stability margin of the sending-end power system. In Section 5, a hybrid electromechanical–electromagnetic model and the full electromagnetic model of the IEEE 39-bus asynchronous interconnection test power system are adopted to confirm the effectiveness and robustness, respectively, of the proposed control strategy. Section 6 concludes this paper.

2. Definition of an SCF

The commutation process in an inverter station can be represented in the following manner [24]:
γ = π α I μ = β μ
where αI is the firing angle, β is the advanced firing angle, μ is the commutation angle, and γ is the extinction angle.
During the operation of the inverter, when the time (extinction angle γ) of application of negative voltage to the thyristor that has just been turned off is shorter than the time (inherent extinction angle γ min ) required for it to restore the blocking capability and the thyristor is turned on again when positive voltage is applied, a commutation failure of the inverter will occur, and the occurrence of repeated commutation failures in a short period of time is called an SCF. The SCF may occur during an AC fault or occur during the recovery after the clearance of an AC fault. In addition, an SCF may occur due to another AC fault, such as a cascading failure or a reclosure on a permanent AC fault. Therefore, SCFs are divided into three categories according to the occurrence time of the SCF and the AC fault conditions. Definitions for the three categories of SCFs are given below.
Category 1: The AC fault occurs in the receiving-end power system, causing the occurrence of the first CF. The SCF occurs during the recovery when the AC fault has not yet been cleared.
Category 2: The AC fault occurs in the receiving-end power system, causing the occurrence of the first CF. The SCF occurs during the recovery after the clearance of the AC fault.
Category 3: The first CF and the SCF are caused by multiple AC faults, such as a cascading failure or a reclosure on a permanent AC fault. The first and second AC faults cause the occurrence of the first CF and the SCF, respectively.
Regarding the transient stability analysis, we are most concerned with the external characteristics of converter stations, especially DC power. The simulation results of SCFs corresponding to the three categories are shown in Figure 1.
As shown in Figure 1a, the fault duration is the same, but the fault types are a single-phase resistance grounding fault and a three-phase short circuit fault, respectively. It can be seen from Figure 1aI that the SCF corresponding to Category 1 does not have a significant negative impact on the DC power during the AC fault. In contrast, it can be seen from Figure 1a (the red dotted line) and (b) that the SCFs corresponding to Category 2 and Category 3 cause severe fluctuations in the DC power and seriously affect the transient stability of the power system. To sum up, the order of the impact of the SCFs on the transient stability is Category 3 > Category 2 > Category 1. Next, we discuss the SCFs corresponding to Category 2.

3. Mechanism Analysis of an SCF

There is a high probability that an SCF as affected by transient stability will occur when the transient stability of the receiving-end power system has seriously deteriorated. The deterioration of the transient stability will affect the support capability of the inverter bus voltage during the recovery after the clearance of the AC fault and indirectly affect the reactive power recovery characteristics, resulting in the occurrence of a Category 2 SCF.

3.1. Impact of the Transient Stability of a Post-Fault Receiving-End Power System on an SCF

An equivalent model of the receiving-end power system was established and is shown in Figure 2 [25].
An infinite model of the single machine can be obtained as follows:
M eq d 2 δ d t 2 = P M P E
M eq = M 1 M 2 M 1 + M 2
P M = 1 M 1 + M 2 ( M 2 P m 1 M 1 P m 2 )
P E = 1 M 1 + M 2 ( M 2 P e 1 M 1 P e 2 )
where Pm1 and Pm2 are the mechanical power of G1 and G2, respectively; Pe1 and Pe2 are the electromagnetic power of G1 and G2, respectively; M1 and M2 are the inertia constant of G1 and G2, respectively; and δ1 and δ2 are the rotor angle of G1 and G2, respectively.
δ ˙ 0 δ ˙ t c d δ ˙ = 0 t c P M M eq d t δ 0 δ t c d δ = 0 t c P M M eq t d t δ t c = δ 0 + 1 2 P M M eq t c 2
A three-phase short-circuit fault was set at the Bus-3 inverter bus and the fault duration is tc, so PE = 0 for the duration of the fault. Then, the relative rotor angle δ(tc) of the receiving-end power system at tc can be derived based on Equation (6).
Assuming that the internal electromotive force of G1 and G2 is U1δ(tc) and U2 ∠0°, respectively, the AC that is fed into the receiving-end power system by the inverter station is Ii-ac, and the internal impedance and the load of generators are ignored, the equation for the relationship between the voltage U3 of the inverter bus and the relative rotor angle δ(tc) of the receiving-end power system can be derived based on the superposition theorem as follows.
U ˙ 3 = x 23 x 13 + x 23 U ˙ 1 + x 13 x 13 + x 23 U ˙ 2 + x 13 x 23 x 13 + x 23 I ˙ i - ac = U ˙ 31 + x 13 x 23 x 13 + x 23 I ˙ i - ac
U 31 2 = x 13 2 U 2 2 + x 23 2 U 1 2 x 13 + x 23 2 + 2 x 13 x 23 U 1 U 2 x 13 + x 23 2 cos δ t c
where x12 and x23 are the reactance between Bus-1 and Bus-2 and Bus-2 and Bus-3, respectively.
It can be seen from Equations (6)–(8) that the longer the fault lasts, the larger the relative rotor angle of the post-fault receiving-end power system is, and the weaker the support capability of the inverter bus voltage will be, resulting in a higher probability of the occurrence of an SCF. The above conclusions were verified by the AC/DC asynchronous interconnection power system shown in Figure 2. The simulation results are shown in Figure 3.

3.2. Impact of Reactive Power Characteristics of the Inverter Station on an SCF

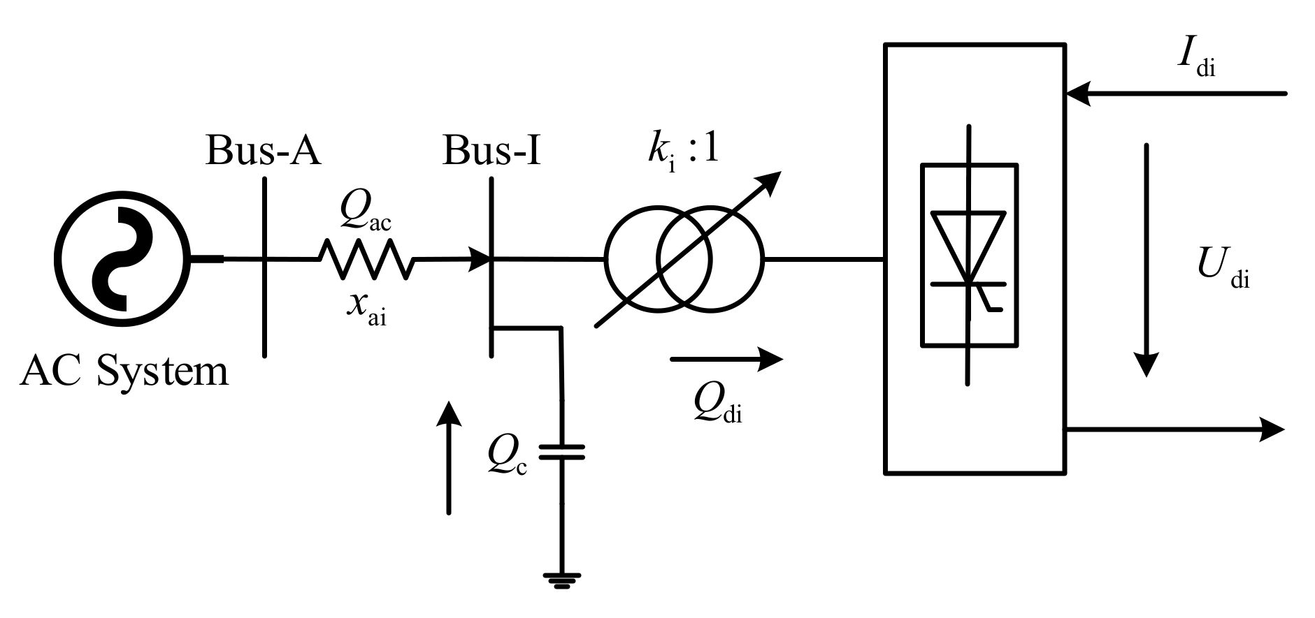
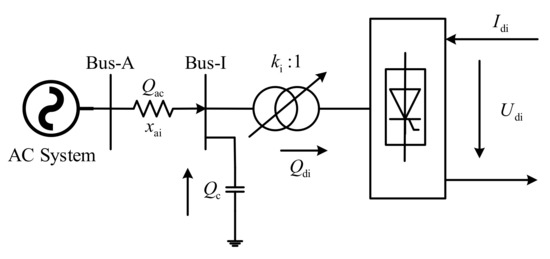
The reactive power exchange characteristics between the inverter station and the receiving-end power system are given in Figure 4 [26].
The following equation can be obtained from Figure 5.
Q ac = Q di Q c
where Qac is the reactive power flowing from the receiving-end power system to the inverter station, Qc is the reactive power generated by the reactive power compensation equipment at the inverter bus, and Qdi is the reactive power expended by the inverter station.
It can be further seen from Figure 5 that
U ˙ LI = U ˙ A d U ˙ = U ˙ A Δ U j Δ U
where ULI is the voltage of Bus-I and UA is the voltage of Bus-A.
Equation (11) can be deduced by ignoring the line resistance and ΔU’ on the basis of Equations (9) and (10).
U LI = U A Q ac x ai U LI = U A Q di Q c x ai U LI
where xai is the reactance between Bus-I and Bus-A.
In addition, the reactive power Qdi expended by the inverter side can be represented by:
Q di = P di tan φ i = P di tan arccos U di U di 0 = U di I di U di 0 2 U di 2 U di = I di U di 0 2 U di 2 = I di 3 2 π k i N p U LI 2 3 2 π k i N p U LI cos γ 3 π x ci I di 2
where Udi is the DC voltage, Udi0 is the ideal no-load DC voltage, Idi is the DC current, Pdi is the DC power, φi is the power factor, xci is the commutation reactance, Np represents the number of poles, and ki represents the ratio of the converter transformer.
Finally, the partial derivative of ULI and Idi can be deduced as follows:
U LI I d i = U LI Q d i Q d i I d i < 0
It can be further seen from Equation (13) that the inverter bus voltage ULI will decrease with an increase in the DC current Idi. In conclusion, the probability of the occurrence of an SCF will greatly increase due to the larger increase in the DC current when the switching of inverter controllers occurs during the recovery after the clearance of the AC fault.
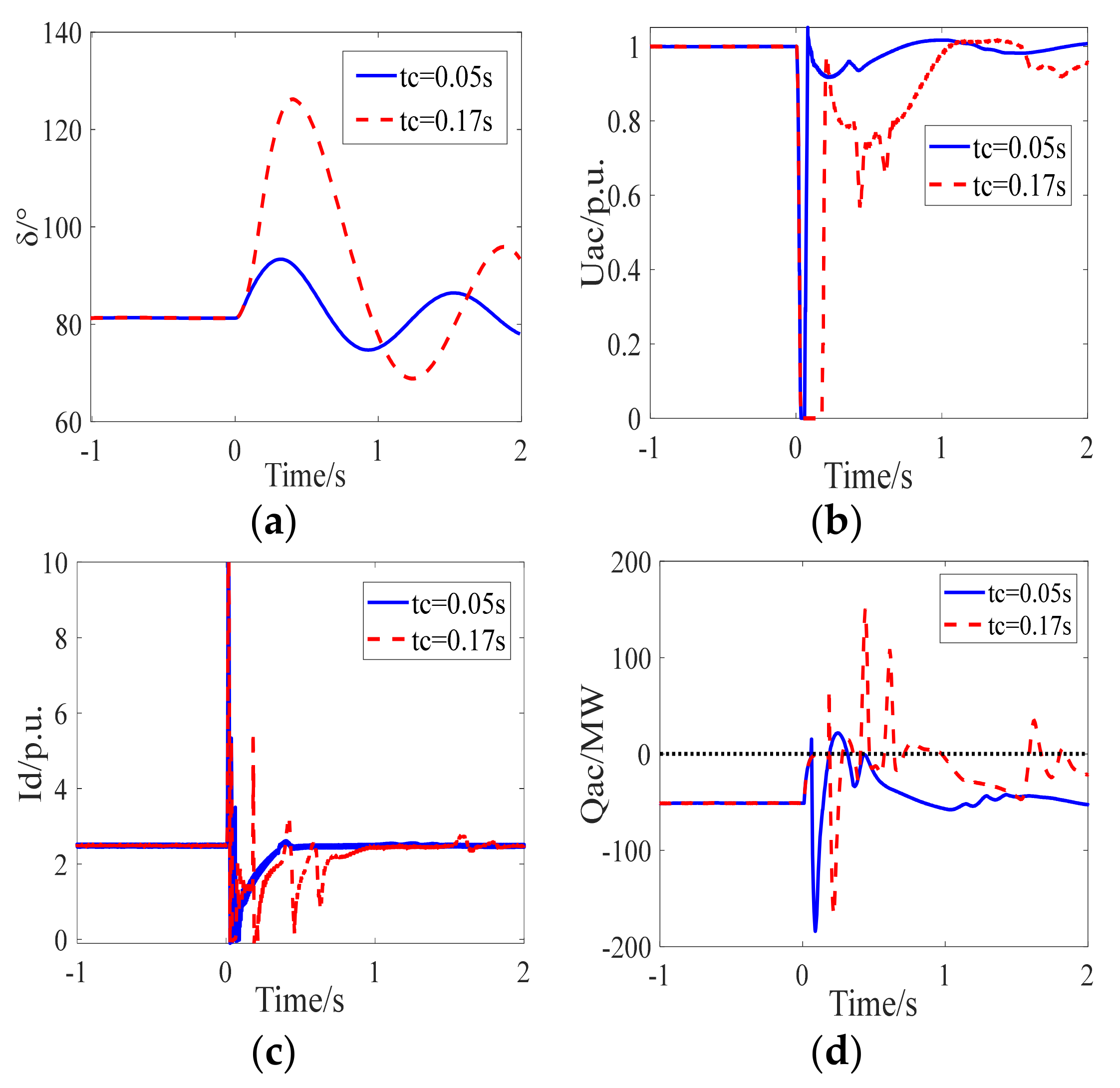
Figure 5. Comparison of the results of simulations with different fault durations. (a) Relative rotor angle, (b) inverter bus voltage, (c) DC current, and (d) reactive power.
Figure 5. Comparison of the results of simulations with different fault durations. (a) Relative rotor angle, (b) inverter bus voltage, (c) DC current, and (d) reactive power.
Electronics 11 00998 g005

3.3. Simulation Verification

A three-phase short circuit fault was set at the inverter bus in the AC/DC asynchronous interconnection power system, and the fault durations were tc = 0.05 s and tc = 0.17 s, respectively. A comparison of the simulation results is shown in Figure 6, which verifies the correctness of the mechanism analysis for SCFs as affected by transient stability.
As shown in Figure 5a,b, the relative rotor angle of the receiving-end power system is larger when the fault duration increases, resulting in a decrease in the support capability of the inverter bus voltage based on Equation (8). Furthermore, it can be seen from the red dotted line shown in Figure 5c that the DC current increases rapidly when the DC controllers switch during the recovery. The reason for this is that the support capability of the inverter bus voltage is weak while the recovery level of the DC current is relatively high. Then, based on Equation (12), the reactive power expended by the inverter side increases significantly, causing the reactive power to flow in the reverse direction between the inverter station and the receiving-end power system and further weakening the support capability of the inverter bus voltage (based on Equation (13)) as shown in Figure 5d. As a result, an SCF as affected by the transient stability occurs during the recovery after the clearance of the AC fault, causing a severe fluctuation in the DC power.
Next, we discuss the rapid increase in the DC current caused by the switching of DC controllers during the recovery. The DC control system based on the Cigre Benchmark model of LCC-HVDC is given in Figure 6 [27].
The simulation results of the inverter side during the recovery are shown in Figure 7.
In Figure 7a, the blue solid line depicts the extinction angle of the inverter station. In Figure 7b, the black, yellow, and blue dotted lines depict the firing angle output of the inverter current controller, the inverter gamma controller, and the inverter control system, respectively. In Figure 7c, the blue solid line depicts the DC voltage of the inverter station. In Figure 7d, the blue solid line depicts the DC current of the inverter station.
It can be seen from Figure 7b that the DC controllers switch during the recovery. At the first red dotted line, the inverter control system switches from the inverter current controller to the inverter gamma controller. Then, the firing angle of the inverter station begins to decrease. Therefore, the DC voltage of the inverter station decreases, causing an increase in the DC voltage difference between the rectifier side and the inverter side. Meanwhile, the DC current increases quickly within a very short period of time and reaches the maximum value at the second red dotted line. During the period between the first red dotted line and the second red dotted line, the rapid increase in the DC current causes an increase in the reactive power consumption of the inverter station and a decrease in the inverter bus voltage. Then, the DC current begins to decrease with the regulation of the rectifier current controller, while the extinction angle of the inverter station begins to increase as shown in Figure 7a,c,d. At the third red dotted line, the inverter control system switches from the inverter gamma controller to the inverter current controller and finally enters into a normal state of operation with the regulation of the inverter gamma controller.
In conclusion, the rapid increase in the DC current caused by the switching of DC controllers cannot be avoided during the recovery after the clearance of the AC fault, and the increase in the amplitude of the DC current differs. The amplitude of the DC current will greatly increase when the support capacity of the inverter bus voltage is weak due to the deterioration of the transient stability of the receiving-end power system and the recovery level of the DC current is relatively high, resulting in the occurrence of an SCF as affected by transient stability. Therefore, it is essential to limit the recovery speed in order to prevent the occurrence of Category 2 SCFs when the transient stability of the receiving-end power system has seriously deteriorated. Moreover, the transient stability margin of the sending-end power system can be increased by avoiding the severe fluctuation in the DC power that is caused by an SCF.

4. Derivation of a Prevention Control Strategy for Category 2 SCFs

In this section, a DC power recovery speed control strategy is proposed as an additional form of control to prevent the occurrence of Category 2 SCFs. In order to determine whether an SCF will occur during the recovery after the clearance of an AC fault, a risk assessment index for SCFs is deduced based on a quasi-steady-state model of the DC control system. A DC power recovery model is then established based on the ramp function, and the impact of DC controller parameters on the DC power recovery speed is analyzed. Finally, the DC power recovery speed control strategy is used to limit the recovery speed by modifying the output DC current order to prevent the occurrence of the SCF once the risk of it occurring during the recovery after the clearance of the AC fault has been assessed.

4.1. Risk Assessment of SCFs

When the AC fault is removed, the DC system recovers steadily with the regulation of the DC controllers. According to the mechanism analysis presented in Section 3, the SCFs as affected by transient stability mainly occur in the middle period or the later period of the recovery after the clearance of the AC fault. In order to simplify the derivation process, the quasi-steady-state model of the DC control system was employed to deduce the risk assessment index for SCFs.
The quasi-steady-state model of the DC control system can be represented by
U dr = N p U dr 0 cos α I d 3 π x cr U dr 0 = 3 2 π k r U LR U di = N p U di 0 cos γ I d 3 π x ci U di 0 = 3 2 π k i U LI I d = U dr U di / R l
where Udr and Udi represent the DC voltage on the rectifier side and the inverter side, respectively, Udr0 and Udi0 are the ideal no-load DC voltage of the rectifier and the inverter, respectively, Id is the DC current, Rl is the resistance of the DC line, xcr and xci are the commutation reactance of the rectifier and the inverter, respectively, and kr and ki are the ratio of the converter transformer of the rectifier and the inverter, respectively.
Moreover, Udi can be represented by
U di = N p U di 0 cos γ + cos β 2
Based on Equations (14) and (15), we can obtain:
U LImin = 2 I d x ci k i cos γ min cos β
Then, Id can be rewritten in the following manner.
I d = N p U dr 0 cos α U di 0 cos γ / N p R cr + R l + N p R ci R cr = 3 π x cr R ci = 3 π x ci
where NpRcr and NpRci are the equivalent resistance of the rectifier station and the inverter station, respectively.
Equation (18) was derived based on Equations (16) and (17).
U LImin = 2 x ci N p U dr 0 cos α k i R cr + R l + R ci cos γ min cos β + 6 π x ci N p cos γ min
There is a high risk of the occurrence of an SCF when ULI < ULImin during the recovery after the clearance of the AC fault, and the proposed control strategy should be enabled when Equation (19) is satisfied.
U LI < U LImin = ς 1 U LIe ,   t > t c
where ULIe is the rated inverter bus voltage and ς1 is the threshold coefficient.
In addition, the enabling criterion was further improved in order to avoid the impact of the deterioration of the inverter bus voltage caused by harmonics during the early period of recovery.
U LI < ς 1 U LIe ,   t > t c + 3 T e
where Te = 1/fe = 0.02 s.

4.2. Recovery Speed Control Strategy

According to the mechanism analysis presented in Section 3, the recovery speed of the DC control system can be limited in order to prevent the occurrence of an SCF when there is a risk that an SCF will occur during the recovery after the clearance of the AC fault. Therefore, DC power recovery speed control is investigated in this paper. According to the external features of the inverter station, a recovery model of DC power was built, which is shown as the blue solid line in Figure 8. The ramp function was employed to describe the recovery characteristic of DC power as given in Equation (21).
According to the presented mechanism analysis of an SCF as affected by the transient stability of the receiving-end power system, the longer the fault clearing time tc is, the lower the transient stability of the receiving-end power system will be, resulting in a weakening of the inverter bus voltage’s support capability. Consequently, an SCF will occur during the recovery after the clearance of the AC fault, which is shown as the red solid line in Figure 8. It is essential to limit the recovery speed in the DC control system when the transient stability of the receiving-end power system has seriously deteriorated. Therefore, a DC power recovery speed control strategy is proposed in order to avoid the occurrence of an SCF as affected by transient stability.
P d = P d 1 P d 2 P d 2 + P D ramp ( k , t t c ) t 0 < t t 0 < t < t c t c < t
where k is the recovery speed of DC power.
When the AC fault is cleared, the Voltage-Dependent Current Limit Control (VDCOL) limits the DC current according to the DC voltage level during the recovery, thereby affecting the recovery speed of DC power. A mathematical model of the VDCOL is given in Figure 9, where Udi is the DC voltage, Tin is the time constant of the filter loop, Udlow is the start voltage, Udhigh is the exit voltage, Iomin is the minimum current order, Io is the rated DC current, and Iolim is the output DC current order [28].
It can be seen from Figure 9 that the output relationship of the VDCOL can be deduced in the following manner.
U di = 3 2 π k i N p U LI cos γ 3 π x ci I di
U din = U di 1 e t T in
I olim = I omin U d i n < U dlow I omin + I o I omin U dhigh U dlow ( U d i n U dlow ) U dlow < U d i n < U dhigh I o U dhigh < U d i n
Assuming that the commutation loss is ignored and the VDCOL is ideal, i.e., Idi = Iolim during the recovery, the DC power Pdi fed into the receiving-end power system through the inverter station can be represented by
P di = U di · I olim
Then, the recovery speed k of DC power can be obtained by deriving DC power Pdi with respect to time t.
k = U di ( I omin + I o I omin U dhigh U dlow ( 2 U din U dlow ) ) + I o I omin U di 2 U dhigh U dlow T in e t T in
Finally, the partial derivative of k with respect to the control parameter Io can be derived as follows.
k I o = U di 2 U din U dlow U dhigh U dlow + U di 2 U dhigh U dlow T in e t T in > 0
It can be seen from Equation (27) that the recovery speed k of the DC power is proportional to the control parameter Io of the VDCOL, and the DC power recovery speed k can be controlled by modifying Io. As shown in Figure 10, the larger the Io is, the faster the recovery speed of the DC power will be, which conforms to the theoretical analysis.
When it is detected that there is a high probability of the occurrence of an SCF based on Equation (20), DC power recovery speed control will be enabled to prevent the occurrence of an SCF. In practice, the control parameter Io of the VDCOL cannot be modified in real time. Instead, the recovery speed of DC power can be controlled by modifying the output DC current order Iolim to be Iolim = ς2Iolim as given in Equation (28).
I olim = I olim   Enabling   criterion = 0 ς 2 I olim   Enabling   criterion = 1
where ς2 is a constant coefficient.
Additionally, in order to avoid the severe fluctuation in the DC power caused by disabling the proposed control strategy, the time at which it is disabled must be carefully selected. As shown in Figure 7, the DC current decreases while the extinction angle increases during the period between the second red dotted line and the third red dotted line, indicating that the risk of an SCF occurring is reduced and the proposed control strategy can be disabled at this time. In addition, if the DC power recovery speed control fails when the DC current begins to decrease, the DC current order Iolim will change from Iolim = ς2Iolim to Iolim = Iolim, which will be larger than the DC current Idi at this time, thereby avoiding the decrease in the DC current Idi and the severe fluctuation in DC power. The disabling criterion is given in Equation (29), and a time window was added to improve the reliability of the proposed disabling criterion.
d I di / d t < 0   lasts   for   T e / 4
In conclusion, when the AC fault is cleared, the DC power recovery speed control will be enabled when a risk that an SCF will occur is detected based on Equation (20). Then, the DC current order output of the VDCOL is modified based on Equation (28) to limit the recovery speed of the DC power, thereby preventing the occurrence of an SCF as affected by transient stability. Then, the proposed control strategy is disabled based on Equation (29) to avoid the DC power fluctuation caused by disabling it. A detailed procedure flowchart for the proposed control strategy is given in Figure 11. In addition, AC fault information can be provided by relay protection devices [29].

5. Results and Discussion

5.1. Test Power System

A simulation model of the IEEE 39-bus AC/DC asynchronous interconnection power system was built in the Advanced Digital Power System Simulator (ADPSS) to verify the effectiveness and robustness of the DC power recovery speed control strategy presented in this paper. The network topology is given in Figure 12. The AC transmission lines between Bus-1 and Bus-39, and between Bus-3 and Bus-4, were cleared. The AC transmission line between Bus-16 and Bus-17 was replaced by LCC-HVDC, where Bus-16 is the rectifier station bus and Bus-17 is the inverter station bus. The ADPSS was developed by the Chinese Electric Power Research Institute [30] and includes an electromechanical transient simulation module (Power System Analysis Software Package, PSASP) and an electromagnetic transient simulation module (Electromagnetic Transient Simulator for DC and AC power systems, ETSDAC) [31].
Generally, the time scale of the electromagnetic transient process ranges from microseconds to milliseconds, while the time scale of the electromechanical transient process ranges from milliseconds to seconds. In addition, a commutation failure of LCC-HVDC is an electromagnetic transient process, which requires an electromagnetic model in order to characterize the dynamics of the DC system, while the transient stability of synchronous generators is an electromechanical transient process, which means that the electromechanical model is able to characterize the dynamics of the AC system. The typical simulation steps of the electromagnetic model and the electromechanical model are 50 us and 10 ms. Therefore, the DC system adopted the electromagnetic model on ETSDAC, and the AC system adopted the electromechanical model on PSASP. The total simulation time T was 5 s, and the simulation time steps of PSASP and ETSDAC were 10 ms and 50 us, respectively. The damping coefficient of the generators was μ = Di/TJi, and a CF occurred when γ < γmin = 7°.
As shown in Figure 12, an AC fault was set near the inverter station in the receiving-end power system, and the fault duration was long enough to cause an SCF in the DC system during the recovery after the clearance of the AC fault. Then, the Maximum Relative Rotor Angle (MRRA) of the generators in the post-fault sending-end power system was employed to assess the transient stability margin, where the generators, except for the generator at Bus-39 (Group B), were grouped into Group A according to the coherence situation when the AC fault occurred. The smaller the relative rotor angle of the post-fault power system during the first swing is, the larger the transient stability margin of the post-fault power system will be.
Finally, two control strategies for the DC control system were defined and employed in different scenarios to verify the effectiveness and robustness of the proposed control strategy.
Control Strategy 1 (CS-1): The DC control system adopts the standard control strategy given in Figure 6.
Control Strategy 2 (CS-2): Based on CS-1, the proposed DC power recovery speed control strategy is employed as an additional form of control by the DC control system. Here, the parameters of the proposed control strategy are ς1 = 0.9 and ς2 = 0.5.
Scenario 1: A three-phase short circuit fault is set at Bus-17, which starts at t = 0 s and lasts for 0.17 s.
The inverter bus voltage, extinction angle, DC power, and relative rotor angle of the sending-end power system are shown in Figure 13a–d. The occurrence of the AC fault causes the first CF of LCC-HVDC. After the clearance of the AC fault, it can be seen from the blue solid line in Figure 13a that the post-fault voltage of the inverter bus decreases rapidly and to a great extent, which indicates that the transient stability of the post-fault receiving-end power system has seriously deteriorated. The SCF (the blue solid line shown in Figure 13b) occurs during the recovery when the DC control system adopts CS-1, demonstrating the correctness of the mechanism analysis of SCFs as affected by transient stability. Moreover, it can be seen from the red dotted line that the SCF is effectively prevented during the recovery when the DC control system adopts CS-2. In CS-2, the proposed control strategy is adopted as an additional form of control. The additional control (the red dotted line shown in Figure 13a) is enabled when Equation (20) is satisfied, while the DC power recovery speed is limited by modifying the output DC current order Iolim to Iolim = ς2Iolim, so that the occurrence of the SCF is prevented. Then, the additional control is disabled based on Equation (29). Due to the occurrence of the SCF, it can be seen from the blue solid line in Figure 13c that the DC power fluctuates seriously during the recovery. When the proposed control strategy is employed, the recovery characteristic of the DC power is improved, which increases the transient stability margin of the sending-end power system as shown in Figure 13d. The effectiveness of the proposed control strategy is confirmed by the simulation results.
Scenario 2: A single-phase grounding fault is set at Bus-17, which starts at t = 0 s and lasts for 0.36 s.
As shown in Figure 14a,d, the occurrence of the AC fault causes the first CF of LCC-HVDC. After the clearance of the AC fault, an SCF occurs when the DC control system adopts CS-1, while the SCF is prevented when the DC control system adopts CS-2, indicating the effectiveness of the proposed control strategy. As shown Figure 14c,d, the transient stability margin of the sending-end power system is increased due to the fact that the severe fluctuation in DC power caused by an SCF is avoided. A comparison with Scenario 1 verified the effectiveness of the proposed control strategy in different scenarios.

5.2. Comparative Analysis with Different Fault Types and Locations

The definition of robustness is that the control strategy has the ability to maintain a certain level of performance under uncertain disturbances. In order to investigate the robustness of the proposed control strategy, at different buses in the test power system shown in Figure 12, different types of AC faults were set near the inverter station, where the first CF caused by the AC fault was simulated. The fault duration was set to be long enough to cause an SCF in the DC system during the recovery after the clearance of the AC fault, and CS-1 and CS-2 were employed by the DC control system. The results are given in Table 1.
Compared with the simulation results of the DC control system that adopted CS-1 in different scenarios, the occurrence of an SCF was prevented, demonstrating the robustness of the proposed control strategy. Due to the fact that the severe fluctuation in DC power was avoided, the maximum relative rotor angle of the post-fault sending-end power system when the DC control system adopted CS-2 is lower than that of the post-fault sending-end power system when the DC control system adopted CS-1, indicating an improvement in the transient stability margin of the sending-end power system when the DC control system adopted CS-2.

5.3. Comparative Analysis with Different SCRs

In addition, different types of AC faults were set at Bus-17 in the receiving-end system with different SCRs (high-SCR power systems, SCR > 3; low-SCR power systems, SCR ≤ 3) [32]. The fault duration was set to be long enough to cause an SCF in the DC system during the recovery after the clearance of the AC fault, and CS-1 and CS-2 were employed by the DC control system. The simulation results are given in Table 2.
Compared with the simulation results of the DC control system that adopted CS-1 in the receiving-end system with different SCRs, the occurrence of an SCF was prevented, and the transient stability margin of the sending-end power system was improved when the DC control system adopted CS-2, validating the robustness of the proposed control strategy.

5.4. Discussion

Although the electromechanical model is able to characterize the dynamics of synchronous generators, the electromagnetic model of the AC system was also employed to investigate the effectiveness and robustness of the proposed control strategy. The full electromagnetic model of the IEEE 39-bus test power system integrated with LCC-HVDC was built on ETSDAC. The simulation time step of ETSDAC was 50 us, and CS-1 and CS-2 were employed by the DC control system in the following scenarios. Due to the phase difference between the primary and secondary sides of the transformer, the steady-state rotor angles of the generators in the full electromagnetic model were different from those in the hybrid electromechanical–electromagnetic model.
Scenario 1: A three-phase short circuit fault is set at Bus-17, which starts at t = 0 s and lasts for 0.17 s.
As shown in Figure 15a,b, the occurrence of the AC fault causes the first CF of LCC-HVDC. After the clearance of the AC fault, it can be seen from the blue solid lines given in Figure 15a,b that an SCF occurs during the recovery when the transient stability of the post-fault receiving-end power system seriously deteriorates, demonstrating the correctness of the mechanism analysis of SCFs as affected by transient stability. When CS-2 is adopted by the DC control system, the SCF is prevented from occurring during the recovery, indicating the effectiveness of the proposed control strategy. In addition, as shown by the red dotted line in Figure 15c, the recovery characteristic of the DC power is improved due to the fact that the SCF had been prevented. Consequently, the maximum relative rotor angle of the post-fault sending-end power system when the DC control system adopted CS-2 is smaller than that of the post-fault sending-end power system when the DC control system adopted CS-1 as shown in Figure 15d. The effectiveness of the proposed control strategy is confirmed by the simulation results.
Scenario 2: A two-phase short circuit grounding fault is set at Bus-17, which starts at t = 0 s and lasts for 0.22 s.
As shown in Figure 16a,b, the occurrence of the AC fault causes the first CF of LCC-HVDC. After the clearance of the AC fault, the SCF is prevented when the DC control system adopts CS-2, indicating the effectiveness of the proposed recovery speed control strategy. As shown Figure 16c, the DC power recovers steadily with the regulation of the proposed control strategy. Meanwhile, the transient stability margin of the sending-end power system is improved as shown in Figure 16d.
At different buses in the test power system shown in Figure 12, different types of AC faults were set near the inverter station, where the first CF caused by the AC fault was simulated. The fault duration was set to be long enough to cause an SCF in the DC system during the recovery after the clearance of the AC fault, and CS-1 and CS-2 were employed by the DC control system. The simulation results are shown in Table 3.
Compared with the simulation results of the DC control system that adopted CS-1 in the different scenarios, the occurrence of the SCF was prevented, and the transient stability margin of the sending-end power system was improved when the DC control system adopted CS-2, validating the effectiveness and robustness of proposed control strategy.
Compared with the simulation results when the DC system adopted the electromagnetic model and the AC system adopted the electromechanical model or the electromagnetic model in the test power system, the proposed DC power recovery speed control strategy was able to prevent the occurrence of a Category 2 SCF. Moreover, the transient stability of the post-fault sending-end power system was improved due to the fact that the severe DC power fluctuation caused by the SCF had been avoided. Therefore, the effectiveness and robustness of the proposed control strategy are verified.

6. Conclusions

In this study, the mechanism of an SCF as affected by transient stability was analyzed, and a DC power recovery speed control strategy is presented as an additional form of control to prevent the occurrence of an SCF. In addition, the transient stability of the sending-end power system was improved due to the fact that the severe DC power fluctuation caused by the SCF was avoided. Therefore, the safe and stable operation of the post-fault LCC-HVDC and AC/DC hybrid power system is guaranteed.
The dynamic interaction characteristics between the AC system and the DC system were investigated by modeling the sending-end and receiving-end power systems as synchronous generators instead of ideal voltage sources. It was found that an SCF will occur during the recovery after the clearance of the AC fault on the condition that the transient stability of the receiving-end power system has seriously deteriorated, and the recovery speed of the DC system should be limited in order to prevent its occurrence.
A risk assessment index for SCF was deduced based on a quasi-steady-state model of the DC system, a DC power recovery model was established based on the ramp function, and the impact of DC controller parameters on the DC power recovery speed was analyzed. Then, the DC power recovery speed control strategy was used to limit the recovery speed by modifying the output DC current order to prevent the occurrence of an SCF when there is a risk that one will occur during the recovery after the clearance of the AC fault.
In the proposed control strategy, the DC power recovery speed is limited by modifying the output DC current order Iolim to Iolim = ς2Iolim. Here, ς2 is a constant parameter, which could be further optimized to be an adaptive parameter in future work. Based on the premise that the occurrence of SCFs can be prevented, the value of parameter ς2 should be as large as possible, which represents a higher DC power recovery speed and will further increase the transient stability of the post-fault AC/DC hybrid power system.

Author Contributions

Conceptualization, T.W.; methodology, T.W.; software, B.Z.; validation, Z.W.; formal analysis, B.Z.; investigation, B.Z.; resources, T.W. and Z.W.; data curation, J.H.; writing—original draft preparation, B.Z.; writing—review and editing, B.Z.; visualization, J.H.; supervision, T.W. and Z.W.; project administration, Z.W.; funding acquisition, Z.W. All authors have read and agreed to the published version of the manuscript.

Funding

This research received no external funding.

Conflicts of Interest

The authors declare no conflict of interest.

References

  1. Agrebi, H.; Benhadj, N.; Chaieb, M.; Sher, F.; Amami, R.; Neji, R.; Mansfield, N. Integrated optimal design of permanent magnet synchronous generator for smart wind turbine using genetic algorithm. Energies 2021, 14, 4642. [Google Scholar] [CrossRef]
  2. Khzouz, M.; Gkanas, E.I.; Shao, J.; Sher, F.; Beherskyi, D.; El-Kharouf, A.; Al Qubeissi, M. Life cycle costing analysis: Tools and applications for determining hydrogen production cost for fuel cell vehicle technology. Energies 2020, 13, 3783. [Google Scholar] [CrossRef]
  3. Shu, Y.; Chen, G.; Yu, Z.; Zhang, J.; Wang, C.; Zheng, C. Characteristic analysis of UHVAC/DC hybrid power grids and construction of power system protection. CSEE J. Power Energy Syst. 2017, 3, 325–333. [Google Scholar] [CrossRef]
  4. Sher, F.; Chen, S.; Raza, A.; Rasheed, T.; Erten, B. Novel strategies to reduce engine emissions and improve energy efficiency in hybrid vehicles. Clean. Eng. Technol. 2021, 2021, 100074. [Google Scholar] [CrossRef]
  5. Lu, J.; Yuan, X.; Hu, J.; Zhang, M.; Yuan, H. Motion equation modeling of LCC-HVDC stations for analyzing DC and AC network interactions. IEEE Trans. Power Deliv. 2020, 35, 1563–1574. [Google Scholar] [CrossRef]
  6. Xiao, H.; Li, Y.; Gole, A.M.; Duan, X. Computationally efficient and accurate approach for commutation failure risk areas identification in multi-infeed LCC-HVDC systems. IEEE Trans. Power Electron. 2020, 35, 5238–5253. [Google Scholar] [CrossRef]
  7. Mirsaeidi, S.; Dong, X. An enhanced strategy to inhibit commutation failure in line-commutated converters. IEEE Trans. Ind. Electron. 2020, 67, 340–349. [Google Scholar] [CrossRef]
  8. Guo, C.; Liu, Y.; Zhao, C.; Wei, X.; Xu, W. Power component fault detection method and improved current order limiter control for commutation failure mitigation in HVDC. IEEE Trans. Power Deliv. 2015, 30, 1585–1593. [Google Scholar] [CrossRef]
  9. Tu, J.; Pan, Y.; Zhang, J.; Jia, J.; Qin, X.; Yi, J. Study on the stability mechanism of the sending-side three-machine-group system after multiple HVDC commutation failure. J. Eng. 2017, 2017, 1140–1145. [Google Scholar] [CrossRef]
  10. Wang, W.; Xiong, X.; Li, M.; Yu, R. A flexible control strategy to prevent sending-end power system from transient instability under HVDC repetitive commutation failures. IEEE Trans. Power Syst. 2020, 35, 4445–4458. [Google Scholar] [CrossRef]
  11. Liu, L.; Lin, S.; Liu, J.; Sun, P.; Liao, K.; Li, X.; He, Z. Analysis and prevention of subsequent commutation failures caused by improper inverter control interactions in HVDC systems. IEEE Trans. Power Deliv. 2020, 35, 2841–2852. [Google Scholar] [CrossRef]
  12. Wang, J.; Huang, M.; Fu, C.; Li, H.; Xu, S.; Li, X. A new recovery strategy of HVDC system during ac faults. IEEE Trans. Power Deliv. 2019, 34, 486–495. [Google Scholar] [CrossRef]
  13. Hu, J.; Wang, T.; Wang, Z.; Liu, J.; Bi, J. Switching System’s MLE Based Transient Stability Assessment of AC/DC hybrid system considering continuous commutation failure. IEEE Trans. Power Syst. 2021, 36, 757–768. [Google Scholar] [CrossRef]
  14. Mirsaeidi, S.; Dong, X. An integrated control and protection scheme to inhibit blackouts caused by cascading fault in large-scale hybrid AC/DC power grids. IEEE Trans. Power Electron. 2019, 34, 7278–7291. [Google Scholar] [CrossRef]
  15. Xie, C.; Li, F. Adaptive comprehensive auto-reclosing scheme for shunt reactor-compensated transmission lines. IEEE Trans. Power Deliv. 2020, 35, 2149–2158. [Google Scholar] [CrossRef]
  16. Hong, L.; Zhou, X.; Liu, Y.; Xia, H.; Yin, H.; Chen, Y.; Zhou, L.; Xu, Q. Analysis and improvement of the multiple controller interaction in LCC-HVDC for mitigating repetitive commutation failure. IEEE Trans. Power Deliv. 2021, 36, 1982–1991. [Google Scholar] [CrossRef]
  17. Ouyang, J.; Zhang, Z.; Li, M.; Pan, M.; Xiong, X.; Diao, Y. A predictive method of LCC-HVDC continuous commutation failure based on threshold commutation voltage under grid fault. IEEE Trans. Power Syst. 2021, 36, 118–126. [Google Scholar] [CrossRef]
  18. Tian, D.; Xiong, X.; Xiao, C. Early Warning and Inhibition of HVDC subsequent commutation failure during recovery process under grid fault. IEEE Trans. Power Deliv. 2021, 36, 1051–1062. [Google Scholar] [CrossRef]
  19. Wang, J.; Gong, Y.; Fu, C.; Wen, Z.; Wu, Q. A novel phase-locked loop for mitigating the subsequent commutation failures of LCC-HVDC systems. IEEE Trans. Power Deliv. 2021, 36, 1756–1767. [Google Scholar] [CrossRef]
  20. Lu, J.; Yuan, X.; Zhang, M.; Hu, J. A supplementary control for mitigation of successive commutation failures considering the influence of PLL dynamics in LCC-HVDC systems. CSEE J. Power Energy Syst. 2020, 1–8, (Early Access). [Google Scholar] [CrossRef]
  21. Mirsaeidi, S.; Tzelepis, D.; He, J.; Dong, X.; Said, D.M.; Booth, C. A controllable thyristor-based commutation failure inhibitor for LCC-HVDC transmission systems. IEEE Trans. Power Electron. 2021, 36, 3781–3792. [Google Scholar] [CrossRef]
  22. Burr, J.; Finney, S.; Booth, C. Comparison of different technologies for improving commutation failure immunity index for LCC HVDC in weak AC systems. In Proceedings of the 11th IET International Conference on AC and DC Power Transmission, Birmingham, UK, 10–12 February 2015; pp. 1–8. [Google Scholar]
  23. Yao, S.; Huang, W.; Hao, W.; Guo, W. Adaptive VDCOL control strategy for the recovery of the UHVDC SPC system. J. Eng. 2019, 2019, 1754–1758. [Google Scholar] [CrossRef]
  24. Shao, Y.; Tang, Y. Fast evaluation of commutation failure risk in multi-infeed HVDC systems. IEEE Trans. Power Syst. 2018, 33, 646–653. [Google Scholar] [CrossRef]
  25. Xu, Y.; Dong, Z.Y.; Zhao, J.; Xue, Y.; Hill, D.J. Trajectory sensitivity analysis on the equivalent one-machine-infinite-bus of multi-machine systems for preventive transient stability control. IET Gener. Transm. Distrib. 2015, 9, 276–286. [Google Scholar] [CrossRef]
  26. Xue, Y.; Zhang, X. Reactive power and AC voltage control of LCC-HVDC system with controllable capacitors. IEEE Trans. Power Syst. 2017, 32, 753–764. [Google Scholar] [CrossRef] [Green Version]
  27. Manitoba Hydro International Ltd. Monopole HVDC Transmission System Cigre Benchmark Example. 2012. Available online: https://www.pscad.com/knowledge-base/article/189 (accessed on 10 January 2022).
  28. Cheng, F.; Yao, L.; Xu, J. A comprehensive AC fault ride-through strategy for HVDC link with serial-connected LCC-VSC hybrid inverter. CSEE J. Power Energy Syst. 2022, 8, 175–187. [Google Scholar]
  29. Wang, T.; Liu, J.; Zhu, S.; Wang, Z. Analytical on-line method of determining transient stability margin using protection information for asymmetric faults. IET Gener. Transm. Distrib. 2020, 14, 191–199. [Google Scholar] [CrossRef]
  30. Hu, J.; Wang, T.; Wang, Z. Transient stability margin assessment of AC/DC hybrid system with commutation failure involved. Int. J. Electr. Power Energy Syst. 2021, 131, 107056. [Google Scholar] [CrossRef]
  31. China Electric Power Research Institute. User’s Manual for ADPSS. 2021. Available online: https://download.csdn.net/download/weixin_29005971/22450129 (accessed on 10 January 2022).
  32. IEEE Std 1204-1997; IEEE Guide for Planning DC Links Terminating at AC Locations Having Low Short-Circuit Capacities. IEEE: Piscataway, NJ, USA, 1997.
Figure 1. Simulation results of SCFs. (a) SCF corresponding to Category 1 and Category 2, (I) Extinction angle and (II) DC power; (b) SCF corresponding to Category 3, (I) Extinction angle and (II) DC power.
Figure 1. Simulation results of SCFs. (a) SCF corresponding to Category 1 and Category 2, (I) Extinction angle and (II) DC power; (b) SCF corresponding to Category 3, (I) Extinction angle and (II) DC power.
Electronics 11 00998 g001aElectronics 11 00998 g001b
Figure 2. Equivalent model of the receiving-end power system.
Figure 2. Equivalent model of the receiving-end power system.
Electronics 11 00998 g002
Figure 3. Simulation results of the receiving-end power system.
Figure 3. Simulation results of the receiving-end power system.
Electronics 11 00998 g003
Figure 4. Equivalent model of the inverter station.
Figure 4. Equivalent model of the inverter station.
Electronics 11 00998 g004
Figure 6. DC control system.
Figure 6. DC control system.
Electronics 11 00998 g006
Figure 7. Simulation results of the DC control system. (a) Extinction angle, (b) Outputs of inverter controllers, (c) DC voltage, and (d) DC current.
Figure 7. Simulation results of the DC control system. (a) Extinction angle, (b) Outputs of inverter controllers, (c) DC voltage, and (d) DC current.
Electronics 11 00998 g007
Figure 8. DC power recovery speed model.
Figure 8. DC power recovery speed model.
Electronics 11 00998 g008
Figure 9. Mathematical model of the VDCOL.
Figure 9. Mathematical model of the VDCOL.
Electronics 11 00998 g009
Figure 10. Different Io values of the VDCOL.
Figure 10. Different Io values of the VDCOL.
Electronics 11 00998 g010
Figure 11. Procedure flowchart for the DC power recovery speed control.
Figure 11. Procedure flowchart for the DC power recovery speed control.
Electronics 11 00998 g011
Figure 12. AC/DC asynchronous interconnection power system.
Figure 12. AC/DC asynchronous interconnection power system.
Electronics 11 00998 g012
Figure 13. Simulation results of Scenario 1. (a) Inverter bus voltage, (b) extinction angle, (c) DC power, and (d) relative rotor angle.
Figure 13. Simulation results of Scenario 1. (a) Inverter bus voltage, (b) extinction angle, (c) DC power, and (d) relative rotor angle.
Electronics 11 00998 g013
Figure 14. Simulation results of Scenario 2. (a) Inverter bus voltage, (b) extinction angle, (c) DC power, (d) relative rotor angle.
Figure 14. Simulation results of Scenario 2. (a) Inverter bus voltage, (b) extinction angle, (c) DC power, (d) relative rotor angle.
Electronics 11 00998 g014aElectronics 11 00998 g014b
Figure 15. Simulation results of Scenario 1. (a) Inverter bus voltage, (b) extinction angle, (c) DC power, (d) relative rotor angle.
Figure 15. Simulation results of Scenario 1. (a) Inverter bus voltage, (b) extinction angle, (c) DC power, (d) relative rotor angle.
Electronics 11 00998 g015
Figure 16. Simulation results of Scenario 2. (a) Inverter bus voltage, (b) extinction angle, (c) DC power, (d) relative rotor angle.
Figure 16. Simulation results of Scenario 2. (a) Inverter bus voltage, (b) extinction angle, (c) DC power, (d) relative rotor angle.
Electronics 11 00998 g016aElectronics 11 00998 g016b
Table 1. Comparison of simulation results by different control strategies in different scenarios.
Table 1. Comparison of simulation results by different control strategies in different scenarios.
Fault Type Fault
Location
Fault
Duration/s
Control Strategy 1Control Strategy 2
SCFMRRA/°SCFRelative MRRA/°
f 1 17 0.36Y92.89N88.15
25 %   of   l 1 0.36Y90.23N86.56
50 %   of   l 1 0.36Y90.27N85.87
25 %   of   l 2 0.40Y94.68N91.56
f 1 , 1 30.21Y86.31N81.61
170.22Y90.87N85.95
180.23Y89.47N84.30
270.20Y88.78N84.52
f 3 30.16Y86.74N80.91
170.17Y89.88N85.13
180.18Y89.81N84.90
270.15Y87.07N82.62
Note that l1 and l2 represent the AC transmission lines between buses 17–18 and buses 17–27, respectively.
Table 2. Comparison of simulation results by different control strategies at different SCRs.
Table 2. Comparison of simulation results by different control strategies at different SCRs.
SCRFault TypeFault Duration/sControl Strategy 1Control Strategy 2
SCFMRRA/°SCFMRRA/°
2.75 f 1 0.18Y88.72N81.35
f 1 , 1 0.12Y87.84N80.87
f 3 0.09Y87.84N80.97
3.36 f 1 0.20Y87.28N81.79
f 1 , 1 0.13Y89.61N82.48
f 3 0.10Y88.91N82.96
4.00 f 1 0.36Y92.89N88.15
f 1 , 1 0.22Y90.87N85.95
f 3 0.17Y89.88N85.13
Table 3. Comparison of simulation results by different control strategies in the full electromagnetic model.
Table 3. Comparison of simulation results by different control strategies in the full electromagnetic model.
Fault Type Fault LocationFault Duration/sControl Strategy 1Control Strategy 2
SCFMRRA/°SCFMRRA/°
f 1 17 0.50Y34.59N32.60
10 %   of   l 1 0.55Y51.36N48.36
5 %   of   l 2 0.62Y52.90N49.84
f 1 , 1 170.22Y55.31N52.70
180.25Y60.00N56.73
270.24Y58.74N56.15
f 3 170.17Y45.55N42.59
180.18Y54..94N48.19
270.15Y48.81N45.47
Note that l1 and l2 represent the AC transmission lines between buses 17–18 and buses 17–27, respectively.
Publisher’s Note: MDPI stays neutral with regard to jurisdictional claims in published maps and institutional affiliations.

Share and Cite

MDPI and ACS Style

Zheng, B.; Hu, J.; Wang, T.; Wang, Z. Mechanism Analysis of a Subsequent Commutation Failure and a DC Power Recovery Speed Control Strategy. Electronics 2022, 11, 998. https://doi.org/10.3390/electronics11070998

AMA Style

Zheng B, Hu J, Wang T, Wang Z. Mechanism Analysis of a Subsequent Commutation Failure and a DC Power Recovery Speed Control Strategy. Electronics. 2022; 11(7):998. https://doi.org/10.3390/electronics11070998

Chicago/Turabian Style

Zheng, Bowen, Jiawei Hu, Tong Wang, and Zengping Wang. 2022. "Mechanism Analysis of a Subsequent Commutation Failure and a DC Power Recovery Speed Control Strategy" Electronics 11, no. 7: 998. https://doi.org/10.3390/electronics11070998

APA Style

Zheng, B., Hu, J., Wang, T., & Wang, Z. (2022). Mechanism Analysis of a Subsequent Commutation Failure and a DC Power Recovery Speed Control Strategy. Electronics, 11(7), 998. https://doi.org/10.3390/electronics11070998

Note that from the first issue of 2016, this journal uses article numbers instead of page numbers. See further details here.

Article Metrics

Back to TopTop