Use of Thermochromic Properties of VO2 for Reconfigurable Frequency Selection
Abstract
1. Introduction
2. Materials and Methods
2.1. Measurement Setup
2.2. Phase Pattern Formation
3. Results
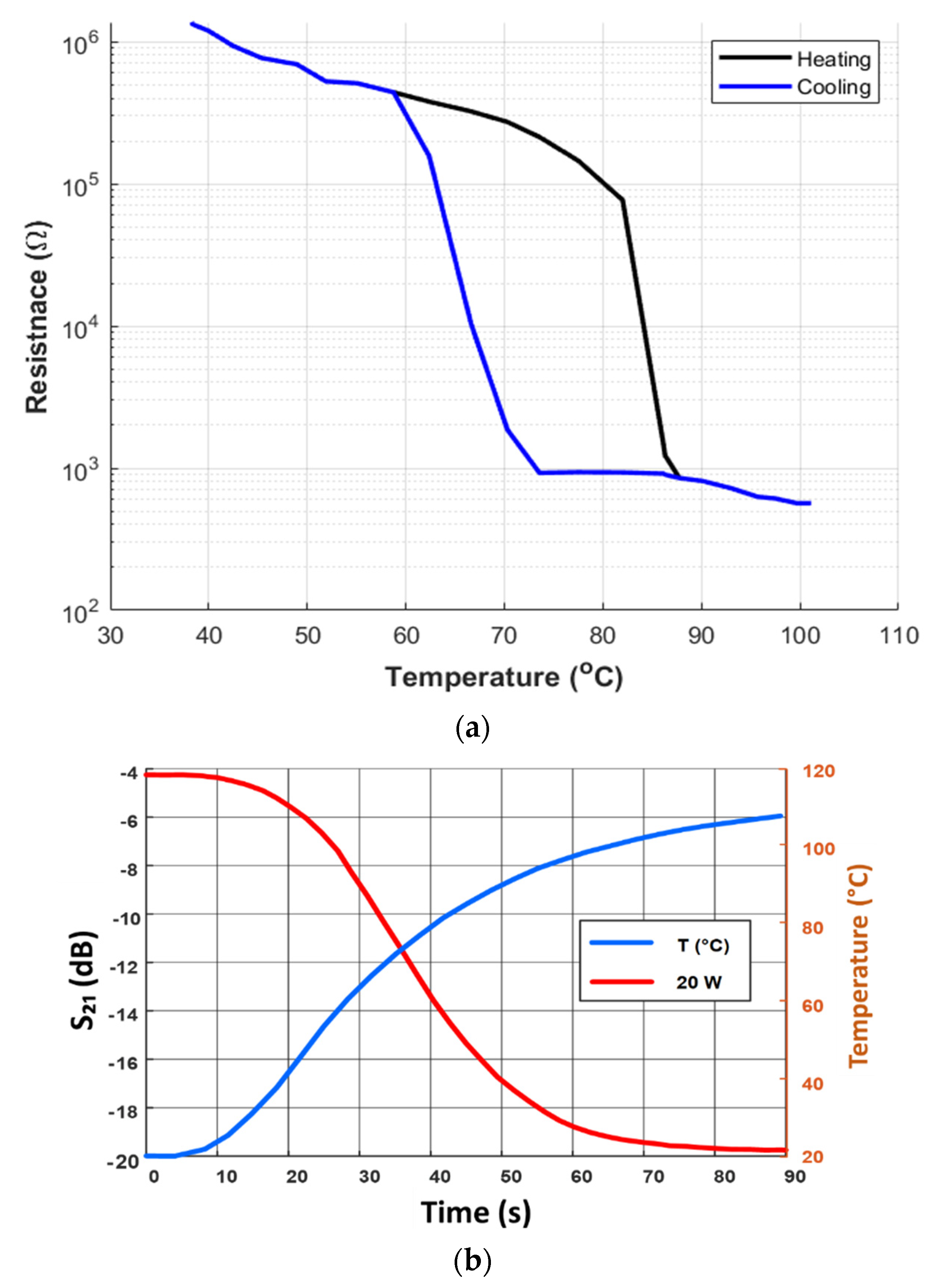
3.1. Material Thermal Property
3.2. Microwave Properties
3.2.1. Single Dipole Unit Cell
3.2.2. Two (Double) Dipole Unit Cell
3.2.3. Full Dipole Array
4. Conclusions
Author Contributions
Funding
Data Availability Statement
Conflicts of Interest
References
- ISO-ISO 12567-1:2000-Thermal Performance of Windows and Doors—Determination of Thermal Transmittance by Hot Box Method—Part 1: Complete Windows and Doors. Available online: https://www.iso.org/standard/2533.html (accessed on 11 August 2021).
- Handbook of Energy Efficiency in Buildings; Elsevier: Amsterdam, The Netherlands, 2019. [CrossRef]
- Karlessi, T.; Santamouris, M.; Apostolakis, K.; Synnefa, A.; Livada, I. Development and testing of thermochromic coatings for buildings and urban structures. Sol. Energy 2009, 83, 538–551. [Google Scholar] [CrossRef]
- Doumanis, E.; Goussetis, G.; Papageorgiou, G.; Fusco, V.; Cahill, R.; Linton, D. Design of Engineered Reflectors for Radar Cross Section Modification. IEEE Trans. Antennas Propag. 2012, 61, 232–239. [Google Scholar] [CrossRef]
- Pendry, J.B.; Schurig, D.; Smith, D.R. Controlling Electromagnetic Fields. Science 2006, 312, 1780–1782. [Google Scholar] [CrossRef] [PubMed]
- Chen, H.; Chan, C.T.; Sheng, P. Transformation optics and metamaterials. Nat. Mater. 2010, 9, 387–396. [Google Scholar] [CrossRef] [PubMed]
- Schurig, D.; Mock, J.J.; Justice, B.J.; Cummer, S.A.; Pendry, J.B.; Starr, A.F.; Smith, D.R. Metamaterial Electromagnetic Cloak at Microwave Frequencies. Science 2006, 314, 977–980. [Google Scholar] [CrossRef] [PubMed]
- Gric, T. Spoof plasmons in corrugated transparent conducting oxides. J. Electromagn. Waves Appl. 2016, 30, 721–727. [Google Scholar] [CrossRef]
- Anagnostou, D.E.; Torres, D.; Teeslink, T.S.; Sepulveda, N. Vanadium Dioxide for Reconfigurable Antennas and Microwave Devices: Enabling RF Reconfigurability through Smart Materials. IEEE Antennas Propag. Mag. 2020, 62, 58–73. [Google Scholar] [CrossRef]
- Anagnostou, D.E.; Teeslink, T.S.; Torres, D.; Sepulveda, N. Vanadium dioxide reconfigurable slot antenna. In Proceedings of the 2016 IEEE International Symposium on Antennas and Propagation (APSURSI), Fajardo, PR, USA, 26 June–1 July 2016; pp. 1055–1056. [Google Scholar] [CrossRef]
- Teeslink, T.S.; Torres, D.; Ebel, J.L.; Sepulveda, N.; Anagnostou, D.E. Reconfigurable Bowtie Antenna Using Metal-Insulator Transition in Vanadium Dioxide. IEEE Antennas Wirel. Propag. Lett. 2015, 14, 1381–1384. [Google Scholar] [CrossRef]
- Casu, E.A.; Ionescu, A.M.; Oliva, N.; Cavalieri, M.; Muller, A.A.; Fumarola, A.; Vitale, W.A.; Krammer, A.; Schuler, A.; Fernandez-Bolanos, M. Tunable RF Phase Shifters Based on Vanadium Dioxide Metal Insulator Transition. IEEE J. Electron. Devices Soc. 2018, 6, 965–971. [Google Scholar] [CrossRef]
- Gerislioglu, B.; Ahmadivand, A.; Karabiyik, M.; Sinha, R.; Pala, N. VO2-Based Reconfigurable Antenna Platform with Addressable Microheater Matrix. Adv. Electron. Mater. 2017, 3, 1700170. [Google Scholar] [CrossRef]
- Earl, S.K.; James, T.D.; Davis, T.J.; McCallum, J.C.; Marvel, R.E.; Haglund, R.F.; Roberts, A. Tunable optical antennas enabled by the phase transition in vanadium dioxide. Opt. Express 2013, 21, 27503–27508. [Google Scholar] [CrossRef] [PubMed]
- Figueroa, J.; Cao, Y.; Dsouza, H.; Pastrana, J.; Sepúlveda, N. A Simplified Approach for Obtaining Optical Properties of VO2 Thin Films, and Demonstration of Infrared Shape-Shifting Devices. Adv. Mater. Technol. 2019, 4, 1800599. [Google Scholar] [CrossRef]
- Figueroa, J.; Dsouza, H.; Pastrana, J.; Torres, D.; Hall, H.; Leedy, K.; Sepúlveda, N. VO2-based micro-electro-mechanical tunable optical shutter and modulator. Opt. Express 2021, 29, 25242. [Google Scholar] [CrossRef] [PubMed]
- Cui, T.J.; Qi, M.Q.; Wan, X.; Zhao, J.; Cheng, Q. Coding metamaterials, digital metamaterials and programmable metamaterials. Light. Sci. Appl. 2014, 3, e218. [Google Scholar] [CrossRef]
- Shao, L.; Zhu, W.; Leonov, M.Y.; Rukhlenko, I.D. Dielectric 2-bit coding metasurface for electromagnetic wave manipulation. J. Appl. Phys. 2019, 125, 203101. [Google Scholar] [CrossRef]
- Cui, T.-J.; Liu, S.; Li, L.-L. Information entropy of coding metasurface. Light. Sci. Appl. 2016, 5, e16172. [Google Scholar] [CrossRef]
- Zhang, L.; Liu, S.; Li, L.; Cui, T.J. Spin-Controlled Multiple Pencil Beams and Vortex Beams with Different Polarizations Generated by Pancharatnam-Berry Coding Metasurfaces. ACS Appl. Mater. Interfaces 2017, 9, 36447–36455. [Google Scholar] [CrossRef]
- Shabanpour, J.; Beyraghi, S.; Cheldavi, A. Ultrafast reprogrammable multifunctional vanadium-dioxide-assisted metasurface for dynamic THz wavefront engineering. Sci. Rep. 2020, 10, 8950. [Google Scholar] [CrossRef]
- Ding, F.; Yang, Y.; Bozhevolnyi, S.I. Dynamic Metasurfaces Using Phase-Change Chalcogenides. Adv. Opt. Mater. 2019, 7, 1801709. [Google Scholar] [CrossRef]
- Xu, J.; Yang, R.; Fan, Y.; Fu, Q.; Zhang, F. A Review of Tunable Electromagnetic Metamaterials With Anisotropic Liquid Crystals. Front. Phys. 2021, 9, 633104. [Google Scholar] [CrossRef]
- Che, Y.; Wang, X.; Song, Q.; Zhu, Y.; Xiao, S. Tunable optical metasurfaces enabled by multiple modulation mechanisms. Nanophotonics 2020, 9, 4407–4431. [Google Scholar] [CrossRef]
- Howes, A.; Zhu, Z.; Curie, D.; Avila, J.R.; Wheeler, V.D.; Haglund, R.F.; Valentine, J.G. Optical Limiting Based on Huygens’ Metasurfaces. Nano Lett. 2020, 20, 4638–4644. [Google Scholar] [CrossRef] [PubMed]
- Wang, X.; Ma, C.; Xiao, L.; Li, X.; Yu, J.; Xiao, B. Dynamically tunable broadband absorber/reflector based ongraphene and VO2 metamaterials. Appl. Opt. 2022, 61, 1646–1651. [Google Scholar] [CrossRef]
- Tripathi, A.; John, J.; Kruk, S.; Zhang, Z.; Nguyen, H.S.; Berguiga, L.; Romeo, P.R.; Orobtchouk, R.; Ramanathan, S.; Kivshar, Y.; et al. Tunable Mie-Resonant Dielectric Metasurfaces Based on VO2 Phase-Transition Materials. ACS Photon 2021, 8, 1206–1213. [Google Scholar] [CrossRef]
- Zhang, R.; Fu, Q.S.; Yin, C.Y.; Li, C.; Chen, X.H.; Qian, G.; Lu, C.L.; Yuan, S.L.; Zhao, X.J.; Tao, H.Z. Understanding of metal-insulator transition in VO2 based on experimental and theoretical investigations of magnetic features. Sci. Rep. 2018, 8, 17093. [Google Scholar] [CrossRef]
- Liou, Y.-J.; Huang, W.-J. High Temperature Phase Transitions of Graphene Oxide Paper from Graphite Oxide Solution. J. Mater. Sci. Technol. 2014, 30, 1088–1091. [Google Scholar] [CrossRef]
- Vinod, E.M.; Ramesh, K.; Sangunni, K.S. Structural transition and enhanced phase transition properties of Se doped Ge2Sb2Te5 alloys. Sci. Rep. 2015, 5, srep08050. [Google Scholar] [CrossRef]
- Gaebler, A.; Moessinger, A.; Goelden, F.; Manabe, A.; Goebel, M.; Follmann, R.; Koether, D.; Modes, C.; Kipka, A.; Deckelmann, M.; et al. Liquid Crystal-Reconfigurable Antenna Concepts for Space Applications at Microwave and Millimeter Waves. Int. J. Antennas Propag. 2009, 2009, 876989. [Google Scholar] [CrossRef]
- Laverock, J.; Kittiwatanakul, S.; Zakharov, A.A.; Niu, Y.R.; Chen, B.; Wolf, S.A.; Lu, J.W.; Smith, K.E. Direct Observation of Decoupled Structural and Electronic Transitions and an Ambient Pressure Monocliniclike Metallic Phase of VO2. Phys. Rev. Lett. 2014, 113, 216402. [Google Scholar] [CrossRef]
- Lv, Y.-H.; Ding, X.; Wang, B.-Z.; Anagnostou, D.E. Scanning Range Expansion of Planar Phased Arrays Using Metasurfaces. IEEE Trans. Antennas Propag. 2020, 68, 1402–1410. [Google Scholar] [CrossRef]
- Muskens, O.; Bergamini, L.; Wang, Y.; Gaskell, J.M.; Zabala, N.; de Groot, C.; Sheel, D.W.; Aizpurua, J. Antenna-assisted picosecond control of nanoscale phase transition in vanadium dioxide. Light. Sci. Appl. 2016, 5, e16173. [Google Scholar] [CrossRef]
- Earl, S.K.; James, T.D.; Gómez, D.E.; Marvel, R.E.; Haglund, R.F., Jr.; Roberts, A. Switchable polarization rotation of visible light using a plasmonic metasurface. APL Photon 2017, 2, 016103. [Google Scholar] [CrossRef]
- Shao, Z.; Cao, X.; Luo, H.; Jin, P. Recent progress in the phase-transition mechanism and modulation of vanadium dioxide materials. NPG Asia Mater. 2018, 10, 581–605. [Google Scholar] [CrossRef]
- Cueff, S.; John, J.; Zhang, Z.; Parra, J.; Sun, J.; Orobtchouk, R.; Ramanathan, S.; Sanchis, P. VO2 nanophotonics. APL Photon 2020, 5, 110901. [Google Scholar] [CrossRef]
- Kats, M.A.; Sharma, D.; Lin, J.; Genevet, P.; Blanchard, R.; Yang, Z.; Qazilbash, M.M.; Basov, D.N.; Ramanathan, S.; Capasso, F. Ultra-thin perfect absorber employing a tunable phase change material. Appl. Phys. Lett. 2012, 101, 221101. [Google Scholar] [CrossRef]
- Rensberg, J.; Zhou, Y.; Richter, S.; Wan, C.; Zhang, S.; Schöppe, P.; Schmidt-Grund, R.; Ramanathan, S.; Capasso, F.; Kats, M.A.; et al. Epsilon-Near-Zero Substrate Engineering for Ultrathin-Film Perfect Absorbers. Phys. Rev. Appl. 2017, 8, 014009. [Google Scholar] [CrossRef]
- Kats, M.A.; Blanchard, R.; Zhang, S.; Genevet, P.; Ko, C.; Ramanathan, S.; Capasso, F. Vanadium Dioxide as a Natural Disordered Metamaterial: Perfect Thermal Emission and Large Broadband Negative Differential Thermal Emittance. Phys. Rev. X 2013, 3, 041004. [Google Scholar] [CrossRef]
- Bouyge, D.; Crunteanu, A.; Orlianges, J.-C.; Passerieux, D.; Champeaux, C.; Catherinot, A.; Velez, A.; Bonache, J.; Martin, F.; Blondy, P. Reconfigurable bandpass filter based on split ring resonators and vanadium dioxide (VO2) microwave switches. In Proceedings of the 2009 Asia Pacific Microwave Conference 2009, Singapore, 7–10 December 2009; pp. 2332–2335. [Google Scholar] [CrossRef]
- Liu, L.; Kang, L.; Mayer, T.S.; Werner, D.H. Hybrid metamaterials for electrically triggered multifunctional control. Nat. Commun. 2016, 7, 13236. [Google Scholar] [CrossRef]
- Zhu, Z.; Evans, P.G.; Haglund, R.F., Jr.; Valentine, J.G. Dynamically Reconfigurable Metadevice Employing Nanostructured Phase-Change Materials. Nano Lett. 2017, 17, 4881–4885. [Google Scholar] [CrossRef]
- Kim, Y.; Wu, P.C.; Sokhoyan, R.; Mauser, K.A.; Glaudell, R.; Shirmanesh, G.K.; Atwater, H.A. Phase Modulation with Electrically Tunable Vanadium Dioxide Phase-Change Metasurfaces. Nano Lett. 2019, 19, 3961–3968. [Google Scholar] [CrossRef]
- Wang, N.; Peh, Y.K.; Magdassi, S.; Long, Y. Surface engineering on continuous VO2 thin films to improve thermochromic properties: Top-down acid etching and bottom-up self-patterning. J. Colloid Interface Sci. 2017, 512, 529–535. [Google Scholar] [CrossRef] [PubMed]
- Dong, K.; Hong, S.; Deng, Y.; Ma, H.; Li, J.; Wang, X.; Yeo, J.; Wang, L.; Lou, S.; Tom, K.B.; et al. A Lithography-Free and Field-Programmable Photonic Metacanvas. Adv. Mater. 2017, 30, 1703878. [Google Scholar] [CrossRef] [PubMed]
- Sanphuang, V.; Ghalichechian, N.; Nahar, N.K.; Volakis, J.L. Equivalent circuit for VO2 phase change material film in reconfigurable frequency selective surfaces. Appl. Phys. Lett. 2015, 107, 253106. [Google Scholar] [CrossRef]
- Newton, L.; Nahar, N.K. Equivalent Circuit Model for Reconfigurable Far-Infrared Filter Employing Vanadium Dioxide. In Proceedings of the 2019 IEEE International Symposium on Antennas and Propagation and USNC-URSI Radio Science Meeting, Atlanta, GA, USA, 7–12 July 2019; pp. 513–514. [Google Scholar] [CrossRef]
- Sanphuang, V.; Ghalichechian, N.; Nahar, N.K.; Volakis, J.L. Reconfigurable THz Filters Using Phase-Change Material and Integrated Heater. IEEE Trans. Terahertz Sci. Technol. 2016, 6, 583–591. [Google Scholar] [CrossRef]
- Chen, Y.; Cheng, J.; Liang, C. Switchable Terahertz Band-Pass/Band-Stop Filter Enabled by Hybrid Vanadium Dioxide Metamaterial. Adv. Condens. Matter Phys. 2020, 2020, 3902835. [Google Scholar] [CrossRef]
- Nouman, M.T.; Hwang, J.H.; Faiyaz, M.; Lee, K.-J.; Noh, D.-Y.; Jang, J.-H. Vanadium dioxide based frequency tunable metasurface filters for realizing reconfigurable terahertz optical phase and polarization control. Opt. Express 2018, 26, 12922–12929. [Google Scholar] [CrossRef]
- Polozov, V.; Maklakov, S.S.; Mishin, A.; Petrov, D.; Baskov, K.; Politiko, A.; Chistyaev, V.; Semenenko, V.; Kisel, V. Thermally Tunable Frequency-Selective Surface Based on VO2 Thin Film. Phys. Status Solidi (a) 2020, 217, 2000452. [Google Scholar] [CrossRef]
- Vitale, W.A.; Petit, L.; Moldovan, C.F.; Fernández-Bolaños, M.; Paone, A.; Schüler, A.; Ionescu, A.M. Electrothermal actuation of vanadium dioxide for tunable capacitors and microwave filters with integrated microheaters. Sens. Actuators A Phys. 2016, 241, 245–253. [Google Scholar] [CrossRef]
- Yang, S.; Li, W.; Vaseem, M.; Shamim, A. Additively Manufactured Dual-Mode Reconfigurable Filter Employing VO2-Based Switches. IEEE Trans. Compon. Packag. Manuf. Technol. 2020, 10, 1738–1744. [Google Scholar] [CrossRef]
- Gonçalves, F.J.F.; Pinto, A.G.M.; Mesquita, R.C.; Silva, E.J.; Brancaccio, A. Free-Space Materials Characterization by Reflection and Transmission Measurements using Frequency-by-Frequency and Multi-Frequency Algorithms. Electronics 2018, 7, 260. [Google Scholar] [CrossRef]
- Dhondt, G.; De Zutter, D.; Martens, L. An improved free-space technique modelling for measuring dielectric properties of materials. In Proceedings of the IEEE Antennas and Propagation Society International Symposium, Baltimore, MD, USA, 21–26 July 2002; Volume 1, pp. 180–183. [Google Scholar] [CrossRef]
- Kim, G.; Domínguez-Caballero, J.A.; Menon, R. Design and analysis of multi-wavelength diffractive optics. Opt. Express 2012, 20, 2814–2823. [Google Scholar] [CrossRef] [PubMed]
- Wyrowski, F.; Bryngdahl, O. Iterative Fourier-transform algorithm applied to computer holography. J. Opt. Soc. Am. A 1988, 5, 1058–1065. [Google Scholar] [CrossRef]
- Gerhberg, R.W.; Saxton, W.O. A practical algorithm for the determination of phase from image and diffraction plane picture. Optik 1972, 35, 237–246. [Google Scholar]
- Whyte, G.; Courtial, J. Experimental demonstration of holographic three-dimensional light shaping using a Gerchberg–Saxton algorithm. New J. Phys. 2005, 7, 117. [Google Scholar] [CrossRef]
- Anwar, R.S.; Mao, L.; Ning, H. Frequency Selective Surfaces: A Review. Appl. Sci. 2018, 8, 1689. [Google Scholar] [CrossRef]
- Glybovski, S.B.; Tretyakov, S.A.; Belov, P.A.; Kivshar, Y.S.; Simovski, C.R. Metasurfaces: From microwaves to visible. Phys. Rep. 2016, 634, 1–72. [Google Scholar] [CrossRef]
- Andreev, V.N.; Chudnovskii, F.A.; Petrov, A.V.; Terukov, E.I. Thermal conductivity of VO2, V3O5, and V2O3. Phys. Status Solidi 1978, 48, K153–K156. [Google Scholar] [CrossRef]
- Oh, D.-W.; Ko, C.; Ramanathan, S.; Cahill, D.G. Thermal conductivity and dynamic heat capacity across the metal-insulator transition in thin film VO2. Appl. Phys. Lett. 2010, 96, 151906. [Google Scholar] [CrossRef]
- Li, D.; Wang, Q.; Xu, X. Thermal Conductivity of VO2 Nanowires at Metal-Insulator Transition Temperature. Nanomaterials 2021, 11, 2428. [Google Scholar] [CrossRef]
- Steinberg, D.S. Cooling Techniques for Electronic Equipment; Wiley: New York, NY, USA, 1991; p. 483. [Google Scholar]



















Publisher’s Note: MDPI stays neutral with regard to jurisdictional claims in published maps and institutional affiliations. |
© 2022 by the authors. Licensee MDPI, Basel, Switzerland. This article is an open access article distributed under the terms and conditions of the Creative Commons Attribution (CC BY) license (https://creativecommons.org/licenses/by/4.0/).
Share and Cite
Abdullahi, Q.; Dzipalski, A.; Raguenes, C.; Sepulveda, N.; Jose, G.; Shanim, A.; Goussetis, G.; Hand, D.; Anagnostou, D.E. Use of Thermochromic Properties of VO2 for Reconfigurable Frequency Selection. Electronics 2022, 11, 4099. https://doi.org/10.3390/electronics11244099
Abdullahi Q, Dzipalski A, Raguenes C, Sepulveda N, Jose G, Shanim A, Goussetis G, Hand D, Anagnostou DE. Use of Thermochromic Properties of VO2 for Reconfigurable Frequency Selection. Electronics. 2022; 11(24):4099. https://doi.org/10.3390/electronics11244099
Chicago/Turabian StyleAbdullahi, Qassim, Adrian Dzipalski, Clement Raguenes, Nelson Sepulveda, Gin Jose, Atif Shanim, George Goussetis, Duncan Hand, and Dimitris E. Anagnostou. 2022. "Use of Thermochromic Properties of VO2 for Reconfigurable Frequency Selection" Electronics 11, no. 24: 4099. https://doi.org/10.3390/electronics11244099
APA StyleAbdullahi, Q., Dzipalski, A., Raguenes, C., Sepulveda, N., Jose, G., Shanim, A., Goussetis, G., Hand, D., & Anagnostou, D. E. (2022). Use of Thermochromic Properties of VO2 for Reconfigurable Frequency Selection. Electronics, 11(24), 4099. https://doi.org/10.3390/electronics11244099

