Design of a Quadruple Band-Notched Ultra-Wideband (UWB) Antenna Using Curled C-Shaped Structures and Interdigital Inductance Slots
Abstract
1. Introduction
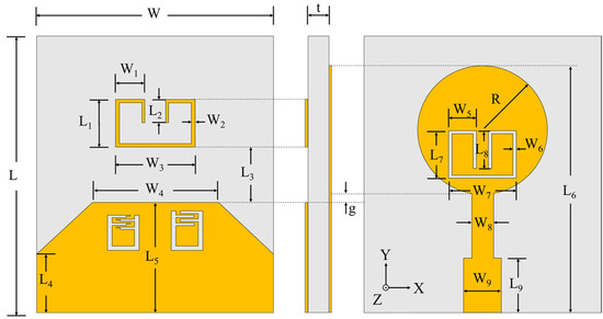
2. Proposed UWB Antenna with Quadruple Band Rejections
2.1. Antenna Frequency Broadening
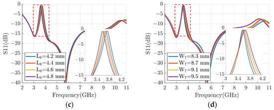
2.2. Design of Band-Notched Structures
2.3. Input Impedance and Equivalent Circuit Model Analysis
2.4. Performance Analysis and Current Distribution
3. Measurement and Discussion
4. Conclusions
Author Contributions
Funding
Data Availability Statement
Conflicts of Interest
References
- Elmansouri, M.A.; Friedrichs, G.R. An X-Band Through Ka-Band Thinned All-Metal Vivaldi Phased Array. IEEE Trans. Antennas Propag. 2021, 69, 7613–7623. [Google Scholar] [CrossRef]
- Masoumi, M.; Dalili, O.; Hamid, R.; Mohammadi Shirkolaei, M. Substrate integrated waveguide leaky wave antenna with circular polarization and improvement of the scan angle. Microw. Opt. Technol. Lett. 2022, 64, 137–141. [Google Scholar] [CrossRef]
- Mohammadi Shirkolaei, M.; Ghalibafan, J. Magnetically scannable slotted waveguide antenna based on the ferrite with gain enhancement. Waves Random Complex Media 2021, 1–11. [Google Scholar] [CrossRef]
- Moayyed, F.; Dalili, O.; Hamid, R.; Mohammadi Shirkolaei, M. High Gain and Wideband Multi-Stack Multilayer Anisotropic Dielectric Antenna. Prog. Electromagn. Res. Lett. 2021, 99, 103–109. [Google Scholar] [CrossRef]
- Mohammadi Shirkolaei, M.; Dalili Oskouei, H.R.; Abbasi, M. Design of 1*4 Microstrip Antenna Array on the Human Thigh with Gain Enhancement. IETE J. Res. 2021, 1–7. [Google Scholar] [CrossRef]
- Holland, S.S.; Schaubert, D.H.; Vouvakis, M.N. A 7–21 GHz Dual-Polarized Planar Ultrawideband Modular Antenna (PUMA) Array. IEEE Trans. Antennas Propag. 2012, 60, 4589–4600. [Google Scholar] [CrossRef]
- Li, P.; Liang, J.; Chen, X.D. Study of printed elliptical/circular slot antennas for ultrawideband applications. IEEE Trans. Antennas Propag. 2006, 54, 1670–1675. [Google Scholar] [CrossRef]
- Zhong, Z.P.; Liang, J.J.; Fan, M.L.; Huang, G.L.; He, W.; Chen, X.C.; Yuan, T. A compact CPW-fed UWB antenna with quadruple rejected bands. Microw. Opt. Technol. Lett. 2019, 61, 2795–2800. [Google Scholar] [CrossRef]
- Li, W.T.; Shi, X.W.; Hei, Y.Q. Novel planar UWB monopole antenna with triple band-notched characteristics. IEEE Antennas Wirel. Propag. Lett. 2009, 8, 1094–1098. [Google Scholar]
- Li, Y.; Yang, X.; Liu, C.; Jiang, T. Compact CPW-fed ultra-wideband antenna with band-notched characteristic. Electron. Lett. 2010, 46, 1533–1534. [Google Scholar] [CrossRef]
- Li, L.; Nan, J.; Liu, J.; Tao, C. A compact UWB antenna with triple band notch reconfigurability. Int. J. Microw. Wireless Technol. 2021, 13, 826–832. [Google Scholar] [CrossRef]
- Chu, H.; Lan, S.; Qiu, J.; Fu, Y. Design and investigation of a compact slot antenna with WLAN band rejection for UWB systems. In Proceedings of the 2016 IEEE International Symposium on Antennas and Propagation (APSURSI), Fajardo, PR, USA, 6 June–1 July 2016; pp. 1773–1774. [Google Scholar]
- Li, X.P.; Xu, G.; Ma, M.R.; Duan, C.J. UWB dual-band-notched lanky-leaf-shaped antenna with loaded half-square-like slots for communication system. Electronics 2021, 10, 1991. [Google Scholar] [CrossRef]
- Sarkar, D.; Khan, T.; Talukdar, F.A. Multi-adaptive neuro-fuzzy inference system modelling for prediction of band-notched behaviour of slotted-UWB antennas optimised using evolutionary algorithms. IETMicrow. Antennas Propag. 2020, 14, 1396–1403. [Google Scholar] [CrossRef]
- Horestani, A.K.; Shaterian, Z.; Naqui, J.; Martin, F.; Fumeaux, C. Reconfigurable and tunable S-shaped split-ring resonators and application in band-notched UWB antennas. IEEE Trans. Antennas Propag. 2016, 64, 3766–3776. [Google Scholar] [CrossRef]
- Siddiqui, J.Y.; Saha, C.; Sarkar, C.; Shaik, L.A.; Antar, Y. Ultra-wideband antipodal tapered slot antenna with integrated frequency-notch characteristics. IEEE Trans. Antennas Propag. 2018, 66, 1534–1539. [Google Scholar] [CrossRef]
- Luo, S.; Chen, Y.; Wang, D.; Liao, Y.; Li, Y. A monopole UWB antenna with sextuple band-notched based on SRRs and U-shaped parasitic strips. AEU-Int. J. Electron. Commun. 2020, 120, 153206. [Google Scholar] [CrossRef]
- Zaker, R.; Ghobadi, C.; Nourinia, J. Bandwidth enhancement of novel compact single and dual band-notched printed monopole antenna with a pair of L-shaped slots. IEEE Trans. Antennas Propag. 2009, 57, 3978–3983. [Google Scholar] [CrossRef]
- Hong, C.Y.; Ling, C.W.; Tarn, I.Y.; Chung, S.J. Design of a planar ultrawideband antenna with a new band-notch structure. IEEE Trans. Antennas Propag. 2007, 55, 3391–3397. [Google Scholar] [CrossRef]
- Jiang, W.; Che, W. A novel UWB antenna with dual notched bands for WiMAX and WLAN applications. IEEE Antennas Wirel. Propag. Lett. 2012, 11, 293–296. [Google Scholar] [CrossRef]
- Peng, Y.; Zhang, W.X. Compact sub-wavelength microstrip band-reject filter based on inter-digital capacitance loaded loop resonators. Microw. Opt. Technol. Lett. 2010, 52, 166–169. [Google Scholar] [CrossRef]
- Lin, X.Q.; Cui, T.J. Controlling the bandwidth of split ring resonators. IEEE Microw. Wirel. Compon. Lett. 2008, 18, 245–247. [Google Scholar]
- Xu, J.; Shen, D.; Zhang, X.; Wu, K. A compact disc ultrawideband (UWB) antenna with quintuple band rejections. IEEE Antennas Wirel. Propag. Lett. 2012, 11, 1517–1520. [Google Scholar]
- Zhu, F.; Gao, S.; Ho, A.T.; Abd-Alhameed, R.A.; See, C.H.; Brown, T.W.; Xu, J. Multiple band-notched UWB antenna with band-rejected elements integrated in the feed line. IEEE Trans. Antennas Propag. 2013, 61, 3952–3960. [Google Scholar] [CrossRef]
- Emadian, S.R.; Ahmadi-Shokouh, J. Very small dual band-notched rectangular slot antenna with enhanced impedance bandwidth. IEEE Trans. Antennas Propag. 2015, 63, 4529–4534. [Google Scholar] [CrossRef]
- Pandey, G.K.; Singh, H.S.; Bharti, P.K.; Meshram, M.K. Design and analysis of Ψ-shaped UWB antenna with dual band notched characteristics. Wirel. Pers. Commun. 2016, 89, 79–92. [Google Scholar] [CrossRef]
- Devana, V.K.R.; Rao, A.M. A compact flower slotted dual band notched ultrawideband antenna integrated with Ku band for ultrawideband, medical, direct broadcast service, and fixed satellite service applications. Microw. Opt. Technol. Lett. 2021, 63, 556–563. [Google Scholar] [CrossRef]
- Nan, J.C.; Zhao, J.Y. A Compact 8-States Frequency Reconfigurable UWB Antenna. IEEE Access 2021, 9, 144257–144263. [Google Scholar] [CrossRef]
- Puri, S.C.; Das, S.; Tiary, M.G. UWB monopole antenna with dual-band-notched characteristics. Microw. Opt. Technol. Lett. 2020, 62, 1222–1229. [Google Scholar] [CrossRef]
- Han, L.P.; Cheng, G.; Han, G.R. Reconfigurable ultra-wideband monopole antenna with single-, dual-, and triple-band notched functions. Int. J. RF Microw. Comput. Aided Eng. 2019, 29, e21837. [Google Scholar] [CrossRef]
- Sharma, M.; Kumar, R.; Kaur, P. Design and analysis of on-demand reconfigurable WiMAX / WLAN high isolation 2 × 2 MIMO antenna oriented adjacent/orthogonally for imaging applications in UWB-X band. Int. J. RF Microw. Comput. Aided Eng. 2022, 32, e22928. [Google Scholar] [CrossRef]
- Wang, M.Y.; Wang, H.B.; Chen, P. A butterfly-like slot UWB antenna with WLAN band-notch characteristics for MIMO applications. IEICE Electron. Express. 2022, 14, 20220233. [Google Scholar] [CrossRef]

















| Circuit. | BW (MHz) | R (Ω) | L (nH) | C (fF) | Q0 |
|---|---|---|---|---|---|
| Curled C-shaped slot | 40 | 1.95 | 7.7 | 266 | 87.5 |
| Interdigital inductance slots 1 | 40 | 9.49 | 37.7 | 24.9 | 129.8 |
| Interdigital inductance slots 2 | 50 | 9.23 | 29.4 | 25.6 | 116 |
| Curled split-ring resonator | 110 | 11.51 | 16.6 | 26.2 | 69.09 |
| Ref. | UWB Band/GHz | Size/mm2 | Unwanted Bands (Bandwidth)/GHz | Rejection Bands (Bandwidth)/GHz | Band Error/% | Bandwidth Error/% |
|---|---|---|---|---|---|---|
| [8] | 2.7–10.7 | 25 × 22 | 3.3–3.7 (0.4) | 3.58–4.32 (0.74) | 8.5, 16.8 | 85 |
| 5.15–5.35 (0.2) | 5.36–5.57 (0.21) | 4.1, 4.1 | 5 | |||
| 5.725–5.825 (0.1) | 5.98–6.10 (0.12) | 4.5, 4.7 | 20 | |||
| 7.8–8.2 (0.4) | 8.12–8.85 (0.73) | 4.1, 7.9 | 83 | |||
| [13] | 2.8–10 | 32 × 27 | 3.3–3.7 (0.4) | 3.06–3.83 (0.77) | 7.2, 3.5 | 93 |
| 5.15–5.35 (0.2) | 5.05–N/A (N/A) | 1.9, N/A | N/A | |||
| 5.725–5.825 (0.1) | NA–5.96 (N/A) | N/A, 2.3 | N/A | |||
| [20] | 2.8–11 | N/A | 3.3–3.7 (0.4) | 3.3–4.0 (0.7) | 0, 8.1 | 75 |
| 5.15–5.35 (0.2) | 5.05–N/A (N/A) | 9, N/A | N/A | |||
| 5.725–5.825 (0.1) | N/A–5.9 (N/A) | N/A, 1.2 | N/A | |||
| [23] | 2.45–12 | 31.8 × 26 | 3.3–3.7 (0.4) | 3.27–3.57 (0.3) | 0.9, 3.5 | 25 |
| 5.15–5.35 (0.2) | 5.01–5.45 (0.44) | 2.7, 1.8 | 120 | |||
| 5.725–5.825 (0.1) | 5.55–6.05 (0.5) | 3.0, 3.8 | 400 | |||
| 7.25–7.75 (0.5) | 7.05–7.45 (0.4) | 2.7, 3.8 | 20 | |||
| 8.025–8.4 (0.375) | 7.83–8.19 (0.36) | 2.4, 2.5 | 4 | |||
| [24] | N/A | 28.5 × 28 | 3.3–3.7 (0.4) | 3.15–3.62 (0.47) | 4.5, 2.1 | 17.5 |
| 5.15–5.35 (0.2) | 5.1–5.38 (0.28) | 0.9, 0.8 | 40 | |||
| 5.725–5.825 (0.1) | 5.72–6.12 (0.4) | 0.1, 5.1 | 300 | |||
| [25] | 2.6–23 | 15 × 15 | 3.3–3.7 (0.4) | 3.1–3.9 (0.8) | 6, 5.4 | 100 |
| 5.15–5.35 (0.2) | 5.1–N/A (N/A) | 0.9, N/A | N/A | |||
| 5.725–5.825 (0.1) | NA–6 (N/A) | N/A, 3 | N/A | |||
| [26] | 2.5–11 | 40 × 37 | 3.3–3.7 (0.4) | 3.2–3.8 (0.6) | 4.7, N/A | 50 |
| 5.15–5.35 (0.2) | 5.1–N/A (N/A) | 1, N/A | N/A | |||
| 5.725–5.825 (0.1) | N/A–5.9 (N/A) | N/A, 1.3 | N/A | |||
| [27] | 2.9–23.5 | 22 × 16 | 5.15–5.35 (0.2) | 5.39–N/A (N/A) | 4.7, N/A | N/A |
| 5.725–5.825 (0.1) | N/A–5.9 (N/A) | N/A, 1.3 | N/A | |||
| 7.25–7.75 (0.5) | 7.30–7.75 (0.45) | 0.7, 0 | 10 | |||
| [28] | 2.82–13.25 | 22 × 13 | 3.3–3.7 (0.4) | 3.19–4.58 (1.39) | 3.3, 23.7 | 247 |
| 5.47–5.875 (0.4) | 5.26–6.21 (0.95) | 3.8, 5.7 | 137 | |||
| 7.9–8.4 (0.5) | 7.87–8.73 (0.86) | 0.4, 3.9 | 72 | |||
| [29] | 2.76–11 | 32 × 30 | 3.3–4.2 (0.9) | 3.45–N/A (N/A) | 4.5, N/A | N/A |
| 4.5–4.8 (0.3) | N/A–4.81 (N/A) | N/A, 0.2 | N/A | |||
| 4.15–5.35 (1.2) | 5.24–N/A (N/A) | 26, N/A | N/A | |||
| 5.47–5.725 (0.26) | N/A–6.21 (N/A) | N/A, 8.5 | N/A | |||
| [30] | N/A | 30 × 26 | 3.4–3.69 (0.29) | 3.21–3.79 (0.58) | 2.7, 2.7 | 100 |
| 5.15–5.35 (0.2) | 4.65–5.43 (0.78) | 9.7, 1.5 | 290 | |||
| 7.25–7.75 (0.5) | 7.15–8.07 (3.42) | 1.4, 4.1 | 584 | |||
| [31] | 3.57–11.7 | 24 × 24 | 3.3–3.8 (0.5) | 3.39–3.92 (0.53) | 2.7, 3.2 | 6 |
| 5.15–5.35 (0.2) | 4.43–5.48 (1.05) | 14, 2.4 | 425 | |||
| [32] | 3–12 | 32 × 40 | 5.1–5.37 (0.27) | 5.05–5.35 (0.3) | 0.9, 0.4 | 11 |
| This work | 2.9–11 | 35 × 30 | 3.3–3.7 (0.4) | 3.38–3.75 (0.37) | 2.4, 1.3 | 7.4 |
| 5.15–5.35 (0.2) | 5.01–5.25 (0.24) | 2.7, 1.9 | 8.3 | |||
| 5.725–5.825 (0.1) | 5.63–5.86 (0.23) | 1.6, 0.6 | 120 | |||
| 7.25–7.75 (0.5) | 7.45–7.82 (0.37) | 2.8, 0.9 | 26 |
Publisher’s Note: MDPI stays neutral with regard to jurisdictional claims in published maps and institutional affiliations. |
© 2022 by the authors. Licensee MDPI, Basel, Switzerland. This article is an open access article distributed under the terms and conditions of the Creative Commons Attribution (CC BY) license (https://creativecommons.org/licenses/by/4.0/).
Share and Cite
Deng, Z.; Lai, C.; Wang, Y.; Deng, K. Design of a Quadruple Band-Notched Ultra-Wideband (UWB) Antenna Using Curled C-Shaped Structures and Interdigital Inductance Slots. Electronics 2022, 11, 3949. https://doi.org/10.3390/electronics11233949
Deng Z, Lai C, Wang Y, Deng K. Design of a Quadruple Band-Notched Ultra-Wideband (UWB) Antenna Using Curled C-Shaped Structures and Interdigital Inductance Slots. Electronics. 2022; 11(23):3949. https://doi.org/10.3390/electronics11233949
Chicago/Turabian StyleDeng, Zhongliang, Chengqi Lai, Yucheng Wang, and Kun Deng. 2022. "Design of a Quadruple Band-Notched Ultra-Wideband (UWB) Antenna Using Curled C-Shaped Structures and Interdigital Inductance Slots" Electronics 11, no. 23: 3949. https://doi.org/10.3390/electronics11233949
APA StyleDeng, Z., Lai, C., Wang, Y., & Deng, K. (2022). Design of a Quadruple Band-Notched Ultra-Wideband (UWB) Antenna Using Curled C-Shaped Structures and Interdigital Inductance Slots. Electronics, 11(23), 3949. https://doi.org/10.3390/electronics11233949

