Investigation on High-Efficiency Beam-Wave Interaction for Coaxial Multi-Beam Relativistic Klystron Amplifier
Abstract
1. Introduction
2. Physical Design
2.1. Design of Electron Beam Parameters
2.2. Design of Cavity Parameter
3. Beam-Wave Interaction
3.1. 1-D Large-Signal Research on the Physical Process of Beam-Wave Interaction
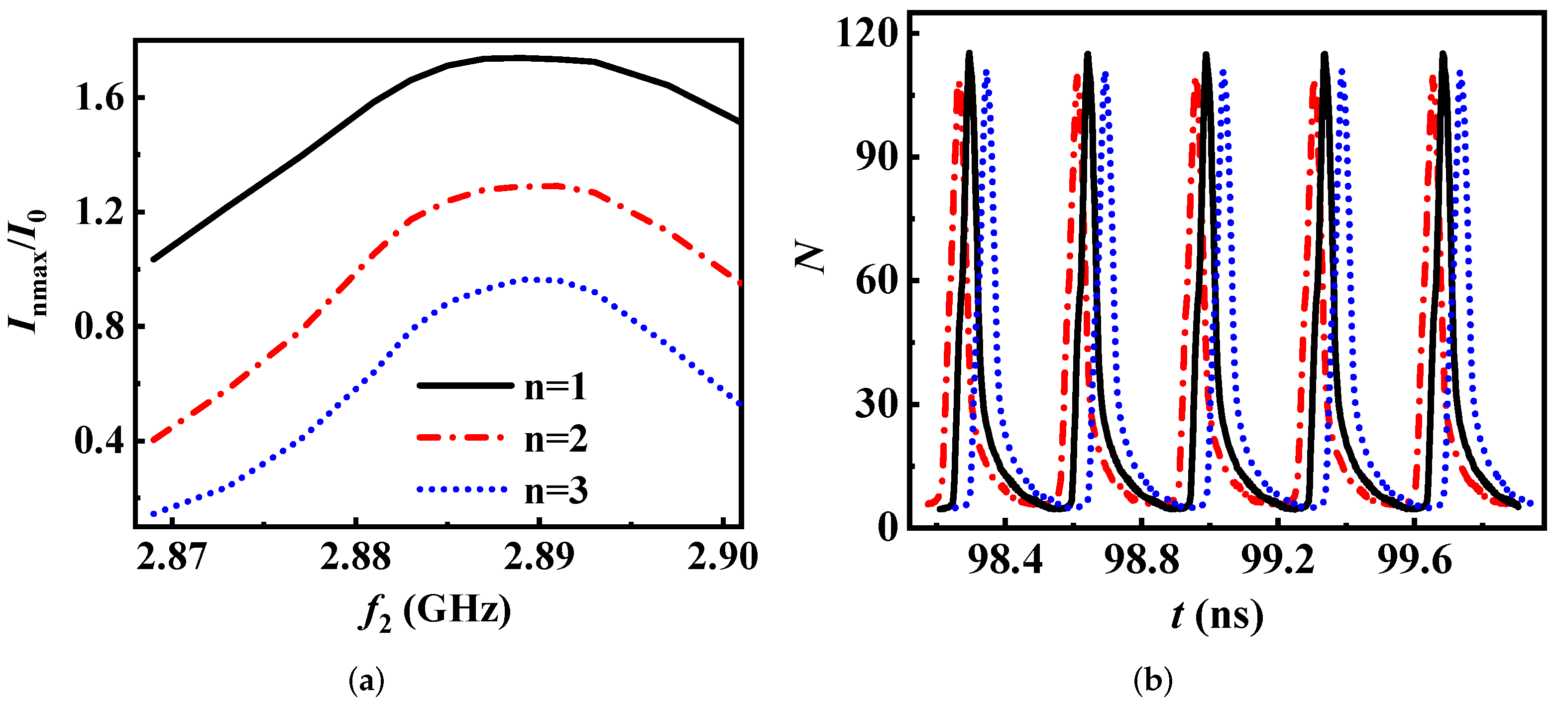
3.1.1. Effect of Cavity Frequency on Beam-Wave Interaction
3.1.2. Effect of the Drift Tube Length between Cavities on Beam-Wave Interaction
3.1.3. Effect of the of the Output Cavity on Beam-Wave Interaction
3.2. 3-D Pic Research on the Physical Process of Beam-Wave Interaction
3.2.1. Effect of the Frequency of the Cavity 2 on Beam-Wave Interaction
3.2.2. Effect of the Drift Tube Length III on Beam-Wave Interaction
4. Application in S-Band CMB-RKA
5. Conclusions
Author Contributions
Funding
Institutional Review Board Statement
Informed Consent Statement
Data Availability Statement
Conflicts of Interest
References
- Friedman, M.; Pasour, J.; Smithe, D. Modulating electron beams for an X band relativistic klystron amplifier. Appl. Phys. Lett. 1997, 71, 3724–3726. [Google Scholar] [CrossRef]
- Gold, S.H.; Nusinovich, G.S. Review of high-power microwave source research. Rev. Sci. Instruments 1998, 68, 3945. [Google Scholar] [CrossRef]
- Benford, J.; Swegle, J.A.; Schamiloglu, E. Chapter 9. Klystrons and Reltons. In High Power Microwaves; CRC Press: Boca Raton, FL, USA, 2007; pp. 375–379. [Google Scholar]
- Friedman, M.; Krall, J.; Lau, Y.; Serlin, V. Efficient generation of multigigawatt rf power by a klystronlike amplifier. Rev. Sci. Instruments 1990, 61, 171–181. [Google Scholar] [CrossRef]
- Huang, H.; Chen, Z.; Li, S.; He, H.; Yuan, H.; Liu, Z.; Lei, L. Investigation on pulse-shortening of S-band, long pulse, four-cavity, high power relativistic klystron amplifier. Phys. Plasmas 2019, 26, 033107. [Google Scholar] [CrossRef]
- Wu, Y.; De-Kui, Z.; Yong-Dong, C. Design of a C-band relativistic extended interaction klystron with coaxial output cavity. Chin. Phys. C 2015, 39, 077005. [Google Scholar] [CrossRef]
- Liu, Z.; Huang, H.; Jin, X.; Li, S.; Wang, T.; Fang, X. Investigation of an X-Band Long Pulse High-Power High-Gain Coaxial Multibeam Relativistic Klystron Amplifier. IEEE Trans. Electron Devices 2019, 66, 722–728. [Google Scholar] [CrossRef]
- Yang, F.; Dang, F.; He, J.; Zhang, X.; Ju, J. A Large Signal Theory of Multiple Cascaded Bunching Cavities for High-Efficiency Triaxial Klystron Amplifier. Electronics 2021, 10, 1284. [Google Scholar] [CrossRef]
- Dang, F.; Ju, J.; Yang, F.; Ge, X.; Zhang, J.; He, J.; Zhang, X. Design and preliminary experiment of a disk-beam relativistic klystron amplifier for Ku-band long-pulse high power microwave radiation. Phys. Plasmas 2020, 27, 113101. [Google Scholar] [CrossRef]
- Li, S.; Duan, Z.; Huang, H.; Basu, B.N.; Wang, F.; Liu, Z.; He, H.; Wang, X.; Wang, Z.; Gong, Y. Input and Output Couplers for an Oversized Coaxial Relativistic Klystron Amplifier at Ka-Band. IEEE Trans. Electron Devices 2019, 66, 2758–2763. [Google Scholar] [CrossRef]
- Huang, H.; Wu, Y.; Liu, Z.-B.; Yuan, H.; He, H.; Li, L.L.; Li, Z.-H.; Jin, X.; Ma, H.-G. Review on high power microwave device with locked frequency and phase. Acta Phys. Sin. 2018, 67, 88402. [Google Scholar] [CrossRef]
- Aicheler, M.; Burrows, P.; Draper, M.; Garvey, T.; Lebrun, P.; Peach, K.; Phinney, N.; Schmickler, H.; Schulte, D.; Toge, N. A Multi-TeV Linear Collider Based on CLIC Technology: CLIC Conceptual Design Report; Report; CERN: Geneva, Switzerland, 2014. [Google Scholar] [CrossRef]
- Koratzinos, M. FCC-ee accelerator parameters, performance and limitations. Nucl. Part. Phys. Proc. 2016, 273–275, 2326–2328. [Google Scholar] [CrossRef]
- Baikov, A.Y.; Marrelli, C.; Syratchev, I. Toward High-Power Klystrons with RF Power Conversion Efficiency on the Order of 90. IEEE Trans. Electron Devices 2015, 62, 3406–3412. [Google Scholar] [CrossRef]
- Egorov, R.V.; Guzilov, I.A.; Maslennikov, O.Y.; Savvin, V.L. BAC-Klystrons: A New Generation of Klystrons in Vacuum Electronics. Mosc. Univ. Phys. Bull. 2019, 74, 38–42. [Google Scholar] [CrossRef]
- Hill, V.C.R.; Marrelli, C.; Constable, D.; Lingwood, C. Particle-in-cell simulation of the third harmonic cavity F-Tube klystron. In Proceedings of the 2016 IEEE International Vacuum Electronics Conference (IVEC), Monterey, CA, USA, 19–21 April 2016; pp. 1–2. [Google Scholar] [CrossRef]
- Teryaev, V.E.; Shchelkunov, S.V.; Hirshfield, J.L. 90% Efficient Two-Stage Multibeam Klystron: Modeling and Design Study. IEEE Trans. Electron Devices 2020, 67, 5777–5782. [Google Scholar] [CrossRef]
- Constable, D.A.; Lingwood, C.; Burt, G.; Baikov, A.Y.; Syratchev, I.; Kowalcyzk, R. MAGIC2-D simulations of high efficiency klystrons using the core oscillation method. In Proceedings of the 2017 Eighteenth International Vacuum Electronics Conference (IVEC), London, UK, 24–26 April 2017; pp. 1–2. [Google Scholar] [CrossRef]
- Li, S.; Huang, H.; Duan, Z.; Basu, B.N.; Liu, Z.; He, H.; Wang, Z. Demonstration of a Ka Band Oversized Coaxial Multi Beam Relativistic Klystron Amplifier for High Power Millimeter Wave Radiation. IEEE Electron Device Lett. 2021, 43, 131–134. [Google Scholar] [CrossRef]
- Liu, Z.; Huang, H.; Jin, X.; Lei, L.; Zhu, L.; Li, L.; Li, S.; Yan, W.; He, H. Investigation of the phase stability of an X-band long pulse multibeam relativistic klystron amplifier. Phys. Plasmas 2016, 23, 093110. [Google Scholar] [CrossRef]
- Lemke, R.W.; Clark, M.C.; Marder, B.M. Theoretical and experimental investigation of a method for increasing the output power of a microwave tube based on the split-cavity oscillator. J. Appl. Phys. 1994, 75, 5423–5432. [Google Scholar] [CrossRef]
- Liu, Z.; Zha, H.; Shi, J.; Chen, H. Study on the Efficiency of Klystrons. IEEE Trans. Plasma Sci. 2020, 48, 2089–2096. [Google Scholar] [CrossRef]
- Gelvich, E.; Borisov, L.; Zhary, Y.; Zakurdayev, A.; Pobedonostsev, A.; Poognin, V. The new generation of high-power multiple-beam klystrons. IEEE Trans. Microw. Theory Tech. 1993, 41, 15–19. [Google Scholar] [CrossRef]
- Beunas, A.; Faillon, G. A high power long pulse high efficiency multi beam klystron. In Proceedings of the 5th MDK Workshop, CERN, Geneva, Switerland, 26 April 2001. [Google Scholar]
- CST Computer Simulation Technology GmBH, Germany. 2016, CST Mircrowave Studio. Available online: http://www.cst.com (accessed on 10 January 2022).
- Gilmour, A. Klystrons, Traveling Wave Tubes, Magnetrons, Crossed-Field Amplifiers, and Gyrotrons; Artech House Publishers: Norwood, MA, USA, 2011. [Google Scholar]
- Jensen, A.; Fazio, M.; Neilson, J.; Scheitrum, G. Developing Sheet Beam Klystron Simulation Capability in AJDISK. IEEE Trans. Electron Devices 2014, 61, 1666–1671. [Google Scholar] [CrossRef]
- Zhou, J.; Liu, D.; Liao, C.; Li, Z. CHIPIC: An Efficient Code for Electromagnetic PIC Modeling and Simulation. IEEE Trans. Plasma Sci. 2009, 37, 2002–2011. [Google Scholar] [CrossRef]











| Parameters | Input Cavity | Cavity 2 | Cavity 3 | Cavity 4 | Output Cavity |
|---|---|---|---|---|---|
| 265 | 240 | 199 | 201 | 228 | |
| M | 0.8556 | 0.8686 | 0.8826 | 0.851 | 0.8753 |
| 25 | 95,000 | 95,000 | 95,000 | 9 | |
| (MHz) | 2880 | 2889 | 2944 | 3287 | 2865 |
| Z (mm) | 0 | 95 | 215 | 425 | 591 |
Publisher’s Note: MDPI stays neutral with regard to jurisdictional claims in published maps and institutional affiliations. |
© 2022 by the authors. Licensee MDPI, Basel, Switzerland. This article is an open access article distributed under the terms and conditions of the Creative Commons Attribution (CC BY) license (https://creativecommons.org/licenses/by/4.0/).
Share and Cite
Sun, L.; Huang, H.; Li, S.; Liu, Z.; He, H.; Xiang, Q.; He, K.; Fang, X. Investigation on High-Efficiency Beam-Wave Interaction for Coaxial Multi-Beam Relativistic Klystron Amplifier. Electronics 2022, 11, 281. https://doi.org/10.3390/electronics11020281
Sun L, Huang H, Li S, Liu Z, He H, Xiang Q, He K, Fang X. Investigation on High-Efficiency Beam-Wave Interaction for Coaxial Multi-Beam Relativistic Klystron Amplifier. Electronics. 2022; 11(2):281. https://doi.org/10.3390/electronics11020281
Chicago/Turabian StyleSun, Limin, Hua Huang, Shifeng Li, Zhengbang Liu, Hu He, Qifan Xiang, Ke He, and Xianghe Fang. 2022. "Investigation on High-Efficiency Beam-Wave Interaction for Coaxial Multi-Beam Relativistic Klystron Amplifier" Electronics 11, no. 2: 281. https://doi.org/10.3390/electronics11020281
APA StyleSun, L., Huang, H., Li, S., Liu, Z., He, H., Xiang, Q., He, K., & Fang, X. (2022). Investigation on High-Efficiency Beam-Wave Interaction for Coaxial Multi-Beam Relativistic Klystron Amplifier. Electronics, 11(2), 281. https://doi.org/10.3390/electronics11020281

