Stability and Stabilization of TS Fuzzy Systems via Line Integral Lyapunov Fuzzy Function
Abstract
:1. Introduction
2. Mathematical Tools and Preliminaries
2.1. Structure of TS Multi-Model
2.2. Mean Value Theorem
2.3. Line Integral Lyapunov Function
2.4. SFS Method
2.4.1. Diffusion Process
2.4.2. First Updating Process
2.4.3. Second Updating Process
| Algorithm 1 SFS algorithm |
|
3. Stability Analysis
3.1. Analysis with Quadratic Functions
3.2. Analysis with Non-Quadratic Stability Functions
4. Stabilization
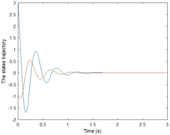
5. Simulation Example
6. Conclusions and Future Works
Author Contributions
Funding
Institutional Review Board Statement
Informed Consent Statement
Data Availability Statement
Conflicts of Interest
References
- Tanaka, K.; Ikeda, T.; Wang, H.O. Fuzzy regulators and fuzzy observers: Relaxed stability conditions and LMI-based designs. IEEE Trans. Fuzzy Syst. 1998, 6, 250–265. [Google Scholar] [CrossRef]
- Zhang, J.; Wang, X.; Shao, X. Design and real-time implementation of Takagi-Sugeno fuzzy controller for magnetic levitation ball system. IEEE Access 2020, 8, 38221–38228. [Google Scholar] [CrossRef]
- Li, Z.; Wang, J.; Liu, H. A robust state estimator for TS fuzzy system. IEEE Access 2020, 8, 84063–84069. [Google Scholar] [CrossRef]
- Tanaka, K.; Wang, H.O. Fuzzy Control Systems Design and Analysis; John Wiley and Sons, Ltd.: Hoboken, NJ, USA, 2001. [Google Scholar]
- Chadli, M.; Karimi, H.R.; Shi, P. On stability and stabilization of singular uncertain Takagi-Sugeno fuzzy systems. J. Frankl. Inst. 2014, 351, 1453–1463. [Google Scholar] [CrossRef]
- Hammoudi, M.Y.; Allag, A.; Becherif, M.; Benbouzid, M.; Alloui, H. Observer design for induction motor: An approach based on the mean value theorem. Front. Energy 2014, 8, 426–433. [Google Scholar] [CrossRef]
- Pan, J.T.; Guerra, T.M.; Fei, S.M.; Jaadari, A. Nonquadratic stabilization of continuous T-S fuzzy models: LMI solution for a local approach. IEEE Trans. Fuzzy Syst. 2011, 20, 594–602. [Google Scholar] [CrossRef]
- Bouarar, T.; Guelton, K.; Manamanni, N. Robust fuzzy Lyapunov stabilization for uncertain and disturbed Takagi-Sugeno descriptors. Isa Trans. 2010, 49, 447–461. [Google Scholar] [CrossRef] [PubMed]
- Sala, A.; Arino, C. Relaxed stability and performance conditions for Takagi-Sugeno fuzzy systems with knowledge on membership function overlap. IEEE Trans. Syst. Man, Cybern. Part (Cybern.) 2007, 37, 727–732. [Google Scholar] [CrossRef] [PubMed]
- Peixoto, M.L.; Pessim, P.S.; Lacerda, M.J.; Palhares, R.M. Stability and stabilization for LPV systems based on Lyapunov functions with non-monotonic terms. J. Frankl. Inst. 2020, 357, 6595–6614. [Google Scholar] [CrossRef]
- Bernal, M.; Sala, A.; Lendek, Z. Stability Analysis. In Analysis and Synthesis of Nonlinear Control Systems; Elsevier: Amsterdam, The Netherlands, 2022; pp. 97–167. [Google Scholar]
- Wang, R.; Jiao, T.; Zhang, T.; Fei, S. Improved stability results for discrete-time switched systems: A multiple piecewise convex Lyapunov function approach. Appl. Math. Comput. 2019, 353, 54–65. [Google Scholar] [CrossRef]
- Della Rossa, M.; Goebel, R.; Tanwani, A.; Zaccarian, L. Piecewise structure of Lyapunov functions and densely checked decrease conditions for hybrid systems. Math. Control Signals Syst. 2021, 33, 123–149. [Google Scholar] [CrossRef]
- Lazarini, A.Z.; Teixeira, M.C.; Jean, M.D.S.; Assunção, E.; Cardim, R.; Buzetti, A.S. Relaxed Stabilization Conditions for TS Fuzzy Systems With Optimal Upper Bounds for the Time Derivative of Fuzzy Lyapunov Functions. IEEE Access 2021, 9, 64945–64957. [Google Scholar] [CrossRef]
- Fan, X.; Wang, Z. A Fuzzy Lyapunov Function Method to Stability Analysis of Fractional Order TS Fuzzy Systems. IEEE Trans. Fuzzy Syst. 2021, 30, 2769–2776. [Google Scholar]
- Ku, C.C.; Yeh, Y.C.; Lin, Y.H.; Hsieh, Y.Y. Fuzzy static output control of T-S fuzzy stochastic systems via line integral Lyapunov function. Processes 2021, 9, 697. [Google Scholar] [CrossRef]
- Okwu, M.O.; Tartibu, L.K. Metaheuristic Optimization: Nature-Inspired Algorithms Swarm and Computational Intelligence, Theory and Applications; Springer: Berlin/Heidelberg, Germany, 2020. [Google Scholar]
- Salimi, H. Stochastic fractal search: A powerful metaheuristic algorithm. Knowl.-Based Syst. 2015, 75, 1–18. [Google Scholar] [CrossRef]
- Rhee, B.J.; Won, S. A new fuzzy Lyapunov function approach for a Takagi-Sugeno fuzzy control system design. Fuzzy Sets Syst. 2006, 157, 1211–1228. [Google Scholar] [CrossRef]
- Hammoudi, M.Y.; Benbouzid, M.H.; Rizoug, N. New state observer based on Takagi-Sugeno fuzzy controller of induction motor. In Proceedings of the 4th International Conference on Systems and Control (ICSC), Sousse, Tunisia, 28–30 April 2015; IEEE: Piscataway, NJ, USA, 2015; pp. 145–150. [Google Scholar]
- Wang, H.O.; Tanaka, K. Fuzzy Control Systems Design and Analysis: A Linear Matrix Inequality Approach; John Wiley and Sons: Hoboken, NJ, USA, 2004. [Google Scholar]
- Phanomchoeng, G.; Rajamani, R.; Piyabongkarn, D. Nonlinear observer for bounded Jacobian systems, with applications to automotive slip angle estimation. IEEE Trans. Autom. Control 2011, 56, 1163–1170. [Google Scholar] [CrossRef]
- Betka, A.; Terki, N.; Toumi, A.; Hamiane, M.; Ourchani, A. A new block matching algorithm based on stochastic fractal search. Appl. Intell. 2019, 49, 1146–1160. [Google Scholar] [CrossRef]
- Cai, X.; Zhong, S.; Wang, J.; Shi, K. Robust H∞ control for uncertain delayed TS fuzzy systems with stochastic packet dropouts. Appl. Math. Comput. 2020, 385, 125432. [Google Scholar]
- Kau, S.W.; Lee, H.J.; Yang, C.M.; Lee, C.H.; Hong, L.; Fang, C.H. Robust H∞ fuzzy static output feedback control of TS fuzzy systems with parametric uncertainties. Fuzzy Sets Syst. 2007, 158, 135–146. [Google Scholar] [CrossRef]
- Hosseinzadeh, M.; Sadati, N.; Zamani, I. H∞ disturbance attenuation of fuzzy large-scale systems. In Proceedings of the IEEE International Conference on Fuzzy Systems (FUZZ-IEEE 2011), Taipei, Taiwan, 27–30 June 2011; IEEE: Pisacatway, NJ, USA, 2011; pp. 2364–2368. [Google Scholar]








Publisher’s Note: MDPI stays neutral with regard to jurisdictional claims in published maps and institutional affiliations. |
© 2022 by the authors. Licensee MDPI, Basel, Switzerland. This article is an open access article distributed under the terms and conditions of the Creative Commons Attribution (CC BY) license (https://creativecommons.org/licenses/by/4.0/).
Share and Cite
Meredef, I.e.; Hammoudi, M.Y.; Betka, A.; Hamiane, M.; Mimoune, K. Stability and Stabilization of TS Fuzzy Systems via Line Integral Lyapunov Fuzzy Function. Electronics 2022, 11, 3136. https://doi.org/10.3390/electronics11193136
Meredef Ie, Hammoudi MY, Betka A, Hamiane M, Mimoune K. Stability and Stabilization of TS Fuzzy Systems via Line Integral Lyapunov Fuzzy Function. Electronics. 2022; 11(19):3136. https://doi.org/10.3390/electronics11193136
Chicago/Turabian StyleMeredef, Imad eddine, Mohamed Yacine Hammoudi, Abir Betka, Madina Hamiane, and Khalida Mimoune. 2022. "Stability and Stabilization of TS Fuzzy Systems via Line Integral Lyapunov Fuzzy Function" Electronics 11, no. 19: 3136. https://doi.org/10.3390/electronics11193136
APA StyleMeredef, I. e., Hammoudi, M. Y., Betka, A., Hamiane, M., & Mimoune, K. (2022). Stability and Stabilization of TS Fuzzy Systems via Line Integral Lyapunov Fuzzy Function. Electronics, 11(19), 3136. https://doi.org/10.3390/electronics11193136
