Low-Power Energy-Based Spike Detector ASIC for Implantable Multichannel BMIs
Abstract
1. Introduction
2. Materials and Methods
2.1. Detection Metrics
2.2. Dataset
2.3. Algorithm Design
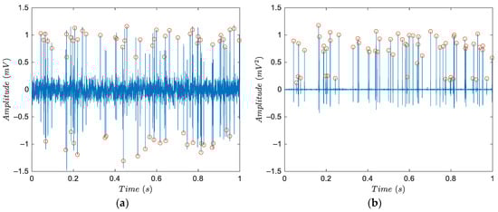
2.3.1. Differentiation Block: Nonlinear Energy Operators
2.3.2. Threshold
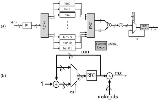
- The mean of the absolute value of three batches of M consecutive bandpass filtered signal samples is cyclically evaluated.
- A simple three-point moving median operator is used to estimate the noise level, to discard the contribution of outliers,
- The estimated noise level is then multiplied by a constant factor C to adjust the detector sensitivity.
2.4. Hardware Implementation
3. Results
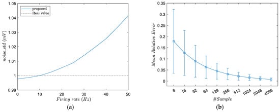
3.1. Software Evaluation
3.2. Hardware Evaluation
4. Discussion
5. Conclusions
Author Contributions
Funding
Data Availability Statement
Conflicts of Interest
References
- Saggese, G.; Zacharelos, E.; Strollo AG, M. Low Power Spike Detector for Brain-Silicon Interface using Differential Amplitude Slope Operator. In Proceedings of the 17th Conference on Ph.D. Research in Microelectronics and Electronics (PRIME), Villasimius, Italy, 12–15 July 2022; pp. 301–304. [Google Scholar] [CrossRef]
- Schäffer, L.; Zagy, Z.; Kineses, Z.; Fiáth, R. FPGA-Based Neural Probe Positioning to Improve Spike Sorting with OSort Algorithm. In Proceedings of the IEEE International Symposium on Circuits and Systems (ISCAS), Baltimore, MD, USA, 28–31 May 2017; pp. 1–4. [Google Scholar] [CrossRef]
- Zhang, Z.; Savolainen, O.W.; Constandinou, T.G. Algorithm and Hardware Considerations for Real-Time Neural Signal on-Implant Processing. J. Neural Eng. 2022, 19, 016029. [Google Scholar] [CrossRef] [PubMed]
- Schaffer, L.; Pletl, S.; Kincses, S. Spike Detection Using Cross-Correlation Based Method. In Proceedings of the IEEE 23rd International Conference on Intelligent Engineering Systems (INES), Gödöllő, Hungary, 25–27 April 2019; pp. 000175–000178. [Google Scholar] [CrossRef]
- Mirzaei, S.; Hosseini-Nejad, H.; Sodagar, A.M. Spike Detection Technique Based on Spike Augmentation with Low Computational and Hardware Complexity. In Proceedings of the 42nd Annual International Conference of the IEEE Engineering in Medicine & Biology Society (EMBC), Montreal, QC, Canada, 20–24 July 2020; pp. 894–897. [Google Scholar] [CrossRef]
- Tariq, T.; Satti, M.H.; Saeed, M.; Kamboh, A.M. Low SNR Neural Spike Detection Using Scaled Energy Operators for Implantable Brain Circuits. In Proceedings of the 39th Annual International Conference of the IEEE Engineering in Medicine and Biology Society (EMBC), Jeju, Korea, 11–15 July 2017; pp. 1074–1077. [Google Scholar] [CrossRef]
- Jiang, T.; Wu, D.; Gao, F.; Cao, J.; Dai, S.; Liu, J.; Li, Y. Improved Spike Detection Algorithm Based on Multi-Template Matching and Feature Extraction. IEEE Trans. Circuits Syst. II Express Briefs 2022, 69, 249–253. [Google Scholar] [CrossRef]
- Hao, H.; Chen, J.; Richardson, A.; Van der Spiegel, J.; Aflatouni, F. A 10.8 ΜW Neural Signal Recorder and Processor With Unsupervised Analog Classifier for Spike Sorting. IEEE Trans. Biomed. Circuits Syst. 2021, 15, 351–364. [Google Scholar] [CrossRef]
- Shaeri, M.A.; Sodagar, A.M. A Method for Compression of Intra-Cortically-Recorded Neural Signals Dedicated to Implantable Brain–Machine Interfaces. IEEE Trans. Neural Syst. Rehabil. Eng. 2015, 23, 485–497. [Google Scholar] [CrossRef] [PubMed]
- Saggese, G.; Tambaro, M.; Vallicelli, E.A.; Strollo, A.G.M.; Vassanelli, S.; Baschirotto, A.; Matteis, M.D. Comparison of Sneo-Based Neural Spike Detection Algorithms for Implantable Multi-Transistor Array Biosensors. Electronics 2021, 10, 410. [Google Scholar] [CrossRef]
- Zhang, Z.; Constandinou, T.G. Adaptive Spike Detection and Hardware Optimization towards Autonomous, High-Channel-Count BMIs. J. Neurosci. Methods 2021, 354, 109103. [Google Scholar] [CrossRef] [PubMed]
- Saggese, G.; Strollo, A.G.M. A Low Power 1024-Channels Spike Detector Using Latch-Based RAM for Real-Time Brain Silicon Interfaces. Electronics 2021, 10, 3068. [Google Scholar] [CrossRef]
- Quiroga, R.Q.; Nadasdy, Z.; Ben-Shaul, Y. Unsupervised Spike Detection and Sorting with Wavelets and Superparamagnetic Clustering. Neural Comput. 2004, 16, 1661–1687. [Google Scholar] [CrossRef] [PubMed]
- Liu, Z.; Sun, Z.; Shi, G.; Wu, J.; Xie, X. A Novel Algorithm for Online Spike Detection. In Proceedings of the Materials Science, Engineering and Chemistry Conference (MATEC), Nanjing, China, 24–26 May 2018; Volume 173, p. 02017. [Google Scholar] [CrossRef][Green Version]
- Esposito, E.; Strollo, A.G.M.; Alioto, M. Power-Precision Scalable Latch Memories. In Proceedings of the IEEE International Symposium on Circuits and Systems (ISCAS), Baltimore, MD, USA, 28–31 May 2017; pp. 1–4. [Google Scholar] [CrossRef]
- Fahmy, S.A.; Cheung, P.Y.K.; Luk, W. Novel FPGA-Based Implementation of Median and Weighted Median Filters for Image Processing. In Proceedings of the International Conference on Field Programmable Logic and Applications, Tampere, Finland, 24–26 August 2005; pp. 142–147. [Google Scholar] [CrossRef]
- Li, Z.; Wang, Y.; Zhang, N.; Li, X. An Accurate and Robust Method for Spike Sorting Based on Convolutional Neural Networks. Brain Sci. 2020, 10, 835. [Google Scholar] [CrossRef] [PubMed]
- Navajas, J.; Barsakcioglu, D.Y.; Eftekhar, A.; Jackson, A.; Constandinou, T.G.; Quian Quiroga, R. Minimum Requirements for Accurate and Efficient Real-Time on-Chip Spike Sorting. J. Neurosci. Methods 2014, 230, 51–64. [Google Scholar] [CrossRef] [PubMed]
- Dwivedi, S.; Gogoi, A.K. A Novel Adaptive Real-Time Detection Algorithm for an Area-Efficient CMOS Spike Detector Circuit. AEU Int. J. Electron. Commun. 2018, 88, 87–97. [Google Scholar] [CrossRef]
- Yang, Y.; Boling, S.; Mason, A.J. A Hardware-Efficient Scalable Spike Sorting Neural Signal Processor Module for Implantable High-Channel-Count Brain Machine Interfaces. IEEE Trans. Biomed. Circuits Syst. 2017, 11, 743–754. [Google Scholar] [CrossRef] [PubMed]









| Dataset | Noise Level | SNEO | SASO | Proposed | |||
|---|---|---|---|---|---|---|---|
| TPR | FPR | TPR | FPR | TPR | FPR | ||
| Easy1 | 0.05 | 0.98 | 0.13 | 1 | 0.06 | 0.98 | 0.01 |
| 0.1 | 1 | 0.13 | 0.98 | 0.06 | 0.98 | 0.01 | |
| 0.15 | 0.95 | 0.14 | 0.92 | 0.07 | 0.97 | 0.01 | |
| 0.2 | 0.86 | 0.16 | 0.85 | 0.09 | 0.91 | 0.01 | |
| Easy2 | 0.05 | 0.99 | 0.14 | 0.93 | 0.06 | 0.95 | 0.01 |
| 0.1 | 0.94 | 0.15 | 0.89 | 0.08 | 0.93 | 0.02 | |
| 0.15 | 0.93 | 0.16 | 0.90 | 0.08 | 0.92 | 0.02 | |
| 0.2 | 0.85 | 0.17 | 0.84 | 0.09 | 0.86 | 0.01 | |
| Difficult1 | 0.05 | 1 | 0.15 | 0.95 | 0.07 | 0.99 | 0.01 |
| 0.1 | 0.96 | 0.14 | 0.90 | 0.07 | 0.97 | 0.01 | |
| 0.15 | 0.93 | 0.15 | 0.89 | 0.09 | 0.97 | 0.02 | |
| 0.2 | 0.86 | 0.17 | 0.88 | 0.08 | 0.96 | 0.01 | |
| Difficult2 | 0.05 | 0.98 | 0.15 | 0.90 | 0.09 | 0.87 | 0.02 |
| 0.1 | 0.94 | 0.14 | 0.87 | 0.08 | 0.87 | 0.01 | |
| 0.15 | 0.93 | 0.15 | 0.86 | 0.08 | 0.88 | 0.02 | |
| 0.2 | 0.85 | 0.17 | 0.76 | 0.09 | 0.84 | 0.02 | |
| Averaged | 0.93 | 0.15 | 0.89 | 0.08 | 0.93 | 0.01 | |
| Consumptions | Median | Our Noise Estimate |
|---|---|---|
| Power (nW) | 1513 | 30 |
| Area (μm2) | 19,628 | 362 |
| Consumptions | SNEO | SASO | Our Work |
|---|---|---|---|
| Power (nW) | 538 | 438 | 143 |
| Area (μm2) | 7868 | 7370 | 1618 |
| Consumptions | proposedFF | proposedLL |
|---|---|---|
| Power (mW) | 3.2 | 1.49 |
| Area (mm2) | 0.39 | 0.24 |
| Dwivedi et al. 1 [19] | Yang et al. [20] 1 | Zhang et al. [3] | Saggese et al. [10] 2 | proposedLL 3 | |
|---|---|---|---|---|---|
| N. of channels | 1 | 32 | 128 | 1024 | 1024 |
| Domain | Analog | Digital | FPGA | Digital | Digital |
| Technology | 180 nm | 130 nm | - | 28 nm | 28 nm |
| Frequency (kHz) | - | 160 | 7 | ≈1 × 104 | ≈1 × 104 |
| Core Voltage (V) | 0.8 | 1.2 | - | 0.8 | 0.8 |
| Power Density (µW/ch) | 5.1 | 0.75 | 0.29 | 3.6 | 1.45 |
| Area Density (mm2/ch) | 0.018 | 0.023 | - | 0.0022 | 0.00024 |
| Spike Detector Feature | ED | NEO | ADO | ASO | ADO-ASO |
Publisher’s Note: MDPI stays neutral with regard to jurisdictional claims in published maps and institutional affiliations. |
© 2022 by the authors. Licensee MDPI, Basel, Switzerland. This article is an open access article distributed under the terms and conditions of the Creative Commons Attribution (CC BY) license (https://creativecommons.org/licenses/by/4.0/).
Share and Cite
Saggese, G.; Strollo, A.G.M. Low-Power Energy-Based Spike Detector ASIC for Implantable Multichannel BMIs. Electronics 2022, 11, 2943. https://doi.org/10.3390/electronics11182943
Saggese G, Strollo AGM. Low-Power Energy-Based Spike Detector ASIC for Implantable Multichannel BMIs. Electronics. 2022; 11(18):2943. https://doi.org/10.3390/electronics11182943
Chicago/Turabian StyleSaggese, Gerardo, and Antonio Giuseppe Maria Strollo. 2022. "Low-Power Energy-Based Spike Detector ASIC for Implantable Multichannel BMIs" Electronics 11, no. 18: 2943. https://doi.org/10.3390/electronics11182943
APA StyleSaggese, G., & Strollo, A. G. M. (2022). Low-Power Energy-Based Spike Detector ASIC for Implantable Multichannel BMIs. Electronics, 11(18), 2943. https://doi.org/10.3390/electronics11182943

