Novel AoD Estimation Algorithms for WSSUS and Non-WSSUS V2V Channel Modeling
Abstract
:1. Introduction
1.1. Backgrounds
1.2. Previous Related Work
1.3. Motivation and Contributions
- The complex CIRs of WSSUS and non-WSSUS MIMO V2V models, which have the advantages of characterizing the physical properties of wireless channels, are estimated on the basis of the estimated angular parameters and propagation paths with the goal of reducing the computational complexity of the channel modeling.
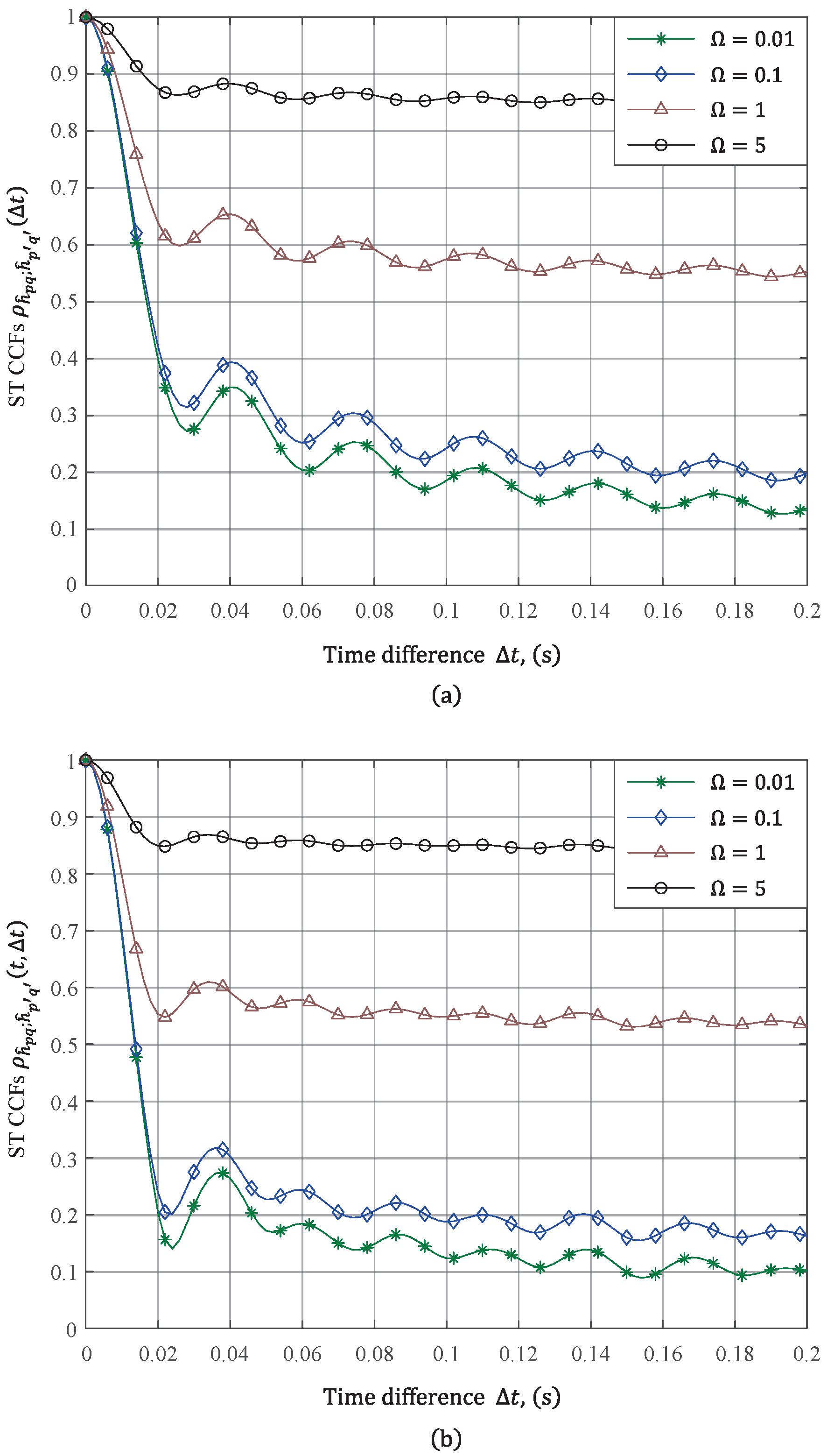
- Based on the estimated complex CIRs in WSSUS and non-WSSUS MIMO V2V channels, we estimate the spatial-temporal (ST) CCFs and ACFs of the channel models for different MT and MR moving time/velocities/directions and different Rician factors. The numerically estimated results are in agreements with the theoretical ones, which, in principle, indicate that the proposed estimation algorithm is suitable for characterizing the channel characteristics of WSSUS and non-WSSUS V2V communications. Furthermore, the simulation time of analyzing the channel characteristics with the proposed solutions are relatively shorter than those of the prior ones, which effectively demonstrate the computational efficiency of the analysis of the V2V propagation characteristics.
- The proposed AoD estimation algorithms for WSSUS and non-WSSUS channel modeling can be adapted to a variety of V2V communication environments. For example, when we adjust the geometric configuration of the proposed MIMO antenna system, the proposed channel model is capable of introducing other MIMO antenna systems, such as uniform circular array (UCA), uniform rectangular array (URA), and L-shaped array.
2. Estimation of the Complex CIRs in WSSUS MIMO V2V Channels
3. Estimation of the Complex CIRs in Non-WSSUS MIMO V2V Channels
4. Estimated WSSUS and Non-WSSUS Channel Propagation Characteristics
4.1. ST CCFs
4.2. Temporal ACFs
5. Numerical Results and Discussions
6. Conclusions
Author Contributions
Funding
Acknowledgments
Conflicts of Interest
References
- You, X.; Wang, C.X.; Huang, J.; Gao, X.; Zhang, Z.; Wang, M. Towards 6G wireless communication networks: Vision, enabling technologies, and new paradigm shifts. Sci. China Inf. Sci. 2021, 64, 110301. [Google Scholar] [CrossRef]
- Jiang, H.; Mukherjee, M.; Zhou, J.; Lloret, J. Channel modeling and characteristics for 6G wireless communications. IEEE Netw. 2021, 35, 296–303. [Google Scholar] [CrossRef]
- Ruan, C.; Zhang, Z.; Jiang, H.; Dang, J.; Wu, L.; Zhang, H. Approximate message passing for channel estimation in reconfigurable intelligent surface aided MIMO multi-user systems. IEEE Trans. Commun. 2022, 70, 5469–5481. [Google Scholar] [CrossRef]
- Zhou, J.; Wang, X.; Jiang, H.; Sasaki, S.; Shao, G. MIMO channel estimation with arbitrary angle of arrival incident power spectrum for wireless communications. IET Commun. 2020, 15, 232–244. [Google Scholar] [CrossRef]
- Wei, C.; Jiang, H.; Dang, J.; Wu, L.; Zhang, H. Accurate channel estimation for mmWave massive MIMO with partially coherent phase offsets. IEEE Commun. Lett. 2022. [Google Scholar] [CrossRef]
- Jiang, H.; Ying, W.; Zhou, J.; Shao, G. A 3D wideband two-cluster channel model for massive MIMO vehicle-to-vehicle communications in semi-ellipsoid environments. IEEE Access 2020, 8, 23594–23600. [Google Scholar] [CrossRef]
- Jiang, H.; Chen, Z.; Zhou, J.; Dang, J.; Wu, L. A general 3D non-stationary wideband twin-cluster channel model for 5G V2V tunnel communication environments. IEEE Access 2019, 7, 137744–137751. [Google Scholar] [CrossRef]
- Jiang, H.; Zhang, Z.; Dang, J.; Wu, L. Analysis of geometric multibounced virtual scattering channel model for dense urban street environments. IEEE Trans. Veh. Technol. 2017, 66, 1903–1912. [Google Scholar] [CrossRef]
- Jiang, H.; Zhang, Z.; Wu, L.; Dang, J. A non-stationary geometry-based scattering vehicle-to-vehicle MIMO channel model. IEEE Commun. Lett. 2018, 22, 1510–1513. [Google Scholar] [CrossRef]
- He, R.; Ai, B.; Stüber, G.L.; Wang, G.; Zhong, Z. Geometrical-based modeling for millimeter-wave MIMO mobile-to-mobile channels. IEEE Trans. Veh. Technol. 2018, 67, 848–2863. [Google Scholar] [CrossRef]
- Karedal, J.; Tufvesson, F.; Czink, N.; Paier, A.; Dumard, C.; Zemen, T. A geometry-based stochastic MIMO model for vehicleto-vehicle communications. IEEE Trans. Wirel. Commun. 2009, 8, 3646–3657. [Google Scholar] [CrossRef] [Green Version]
- Boban, M.; Vinhoza, T.T.; Ferreira, M.; Barros, J.; Tonguz, O.K. Impact of vehicles as obstacles in vehicular ad hoc networks. IEEE J. Sel. Areas Commun. 2011, 29, 15–28. [Google Scholar] [CrossRef]
- Paier, A.; Zemen, T.; Bernado, L.; Matz, G.; Karedal, J.; Czink, N. Non-WSSUS vehicular channel characterization in highway and urban scenarios at 5.2 GHz using the local scattering function. In Proceedings of the WSA 2008, Vienna, Austria, February 2008; pp. 9–15. [Google Scholar]
- Zhu, Q.; Li, W.; Wang, C.X.; Xu, D.; Bian, J.; Chen, X.; Zhong, W. Temporal correlations for a non-stationary vehicle-to-vehicle channel model allowing velocity variations. IEEE Commun. Lett. 2019, 23, 1280–1284. [Google Scholar] [CrossRef]
- Li, Y.; He, R.; Lin, S.; Guan, K.; He, D.; Wang, Q.; Zhong, Z. Cluster-based nonstationary channel modeling for vehicle-to-vehicle communications. IEEE Antennas Wirel. Prop. Lett. 2017, 16, 1419–1422. [Google Scholar] [CrossRef]
- Ghazal, A.; Yuan, Y.; Wang, C.X.; Zhang, Y.; Yao, Q.; Zhou, H.; Duan, W. A non-stationary IMT-Advanced MIMO channel model for high-mobility wireless communication systems. IEEE Trans. Wirel. Commun. 2017, 16, 2057–2068. [Google Scholar] [CrossRef] [Green Version]
- Ghazal, A.; Wang, C.X.; Ai, B.; Yuan, D.; Haas, H. A nonstationary wideband MIMO channel model for high-mobility intelligent transportation systems. IEEE Trans. Intell. Transp. Syst. 2015, 16, 885–897. [Google Scholar] [CrossRef] [Green Version]
- Xiao, C.; Wu, J.; Leong, S.Y.; Zheng, Y.R.; Letaief, K.B. A discrete-time model for triply selective MIMO Rayleigh fading channels. IEEE Trans. Wirel. Commun. 2004, 3, 1678–1688. [Google Scholar] [CrossRef]
- Xiao, C.S.; Zheng, Y.R.; Beaulieu, N.C. Novel sum-of-sinusoids simulation models for Rayleigh and Rician fading channels. IEEE Trans. Wirel. Commun. 2006, 5, 3667–3679. [Google Scholar] [CrossRef]
- Tan, Z.; Eldar, Y.C.; Nehorai, A. Nehorai, Direction of arrival estimation using co-prime arrays: A super resolution viewpoint. IEEE Trans. Signal Proc. 2014, 62, 5565–5576. [Google Scholar] [CrossRef] [Green Version]
- Johnny, M.; Aref, M.R.; Razzazi, F. Effect of unitary transformation on Bayesian information criterion for source numbering in array processing. IET Signal Proc. 2019, 13, 670–678. [Google Scholar] [CrossRef]
- Xu, D.; Liu, Z.; Xu, Y.; Cao, J. A unitary transformation method for DOA estimation with uniform circular array. In Proceedings of the IEEE WCNIS, Beijing, China, 25–27 June 2010; pp. 142–145. [Google Scholar]
- Lopez, C.F.; Wang, C.-X. Novel 3-D non-stationary wideband models for massive MIMO channels. IEEE Trans. Wirel. Commun. 2018, 17, 2893–2905. [Google Scholar] [CrossRef] [Green Version]
- Xiong, B.; Zhang, Z.; Zhang, J.; Jiang, H.; Dang, J.; Wu, L. Novel multi-mobility V2X channel model in the presence of randomly moving clusters. IEEE Trans. Wirel. Commun. 2021, 20, 3180–3195. [Google Scholar] [CrossRef]
- Jiang, H.; He, R.; Ruan, C.; Zhou, J.; Chang, D. Three-dimensional geometry-based stochastic channel modeling for intelligent reflecting surface-assisted UAV MIMO communications. IEEE Wirel. Commun. Lett. 2021, 10, 2727–2731. [Google Scholar] [CrossRef]
- Jiang, H.; Xue, Y.; Zhou, J.; Chen, Z.; Dang, J.; Wu, L. A 3D cylinder MIMO channel model for 5G macrocell mobile-to-mobile communication systems. IEEE Access 2019, 7, 119350–119356. [Google Scholar] [CrossRef]
- Jiang, H.; Zhang, Z.; Wu, L.; Dang, J.; Gui, G. A 3D non-stationary wideband geometry-based channel model for MIMO vehicle-to-vehicle communications in tunnel environments. IEEE Trans. Veh. Technol. 2019, 8, 6257–6271. [Google Scholar] [CrossRef]
- Jiang, H.; Zhang, Z.; Dang, J.; Wu, L. A novel 3D massive MIMO channel model for vehicle-to-vehicle communication environments. IEEE Trans. Commun. 2018, 66, 79–90. [Google Scholar] [CrossRef]
- Hellings, C.; Gerdes, L.; Weil, L.; Utschick, W. On optimal Gaussian signaling in MIMO relay channels with partial decode-and-forward. IEEE Trans. Signal Proc. 2014, 62, 3153–3164. [Google Scholar]
- Telatar, E. Capacity of Multi-Antenna Gaussian Channels; John Wiley and Sons, Ltd.: Hoboken, NJ, USA, 2008. [Google Scholar]
- Steven, M.K. Fundamentals of Statistical Signal Processing Vol. I: Estimation Theory; Prentice Hall PTR: Englewood Cliffs, NJ, USA, 1993. [Google Scholar]
- Wu, C.; Elangage, J. Multiemitter two-dimensional angle-of-arrival estimator via compressive sensing. IEEE Trans. Aerosp. Electron. Syst. 2020, 56, 884–2895. [Google Scholar] [CrossRef]
- Liu, Z.M.; Zhang, C.W.; Yu, P.S. Directional-of-arrival estimation based on deep neural networks with robustness to array imperfections. IEEE Trans. Antennas Propag. 2018, 66, 7315–7327. [Google Scholar] [CrossRef]
- Badics, Z.; Cendes, Z.J. A Newton-Raphson algorithm with adaptive accuracy control based on a block-preconditioned conjugate gradient technique. IEEE Trans. Magnetics 2005, 41, 1652–1655. [Google Scholar] [CrossRef]
- Xiong, B.; Zhang, Z.; Jiang, H.; Zhang, J.; Wu, L.; Dang, J. A 3D non-stationary MIMO channel model for reconfigurable intelligent surface auxiliary UAV-to-ground mmWave communications. IEEE Trans. Wirel. Commun. 2022. [Google Scholar] [CrossRef]
- Xiong, B.; Zhang, Z.; Jiang, H.; Zhang, H.; Zhang, J.; Wu, L.; Dang, J. A statistical MIMO channel model for reconfigurable intelligent surface assisted wireless communications. IEEE Trans. Commun. 2022, 70, 1360–1375. [Google Scholar] [CrossRef]
- Jiang, H.; Ruan, C.; Zhang, Z.; Dang, J.; Wu, L.; Mukherjee, M.; da Costa, D.B. A general wideband non-stationary stochastic channel model for intelligent reflecting surface-assisted MIMO communications. IEEE Trans. Wirel. Commun. 2021, 20, 5314–5328. [Google Scholar] [CrossRef]
- Chen, T.; Liu, L.; Pan, D. A ULA-based MWC discrete compressed sampling structure for carrier frequency and AOA estimation. IEEE Access 2017, 5, 14154–14164. [Google Scholar] [CrossRef]
- Zhu, D.; Choi, J.; Heath, R.W. Auxiliary beam pair enabled AoD and AoA estimation in closed-loop large-scale millimeter-wave MIMO systems. IEEE Trans. Wirel. Commun. 2017, 16, 4770–4785. [Google Scholar] [CrossRef]
- Jiang, H.; Zhang, Z.; Wang, C.X.; Zhang, J.; Dang, J.; Wu, L.; Zhang, H. A novel 3D UAV channel model for A2G communication environments using AoD and AoA estimation algorithms. IEEE Trans. Commun. 2020, 68, 7232–7246. [Google Scholar] [CrossRef]
- Jiang, H.; Xiong, B.; Zhang, Z.; Zhang, J.; Zhang, H.; Dang, J.; Wu, L. Novel statistical wideband MIMO V2V channel modeling using Unitary matrix transformation algorithm. IEEE Trans. Wirel. Commun. 2021, 20, 4947–4961. [Google Scholar] [CrossRef]
- Payami, S.; Tufvesson, F. Channel measurements and analysis for very large array systems at 2.6 GHz. In Proceedings of the EUCAP, Prague, Czech Republic, 26–30 March 2012; pp. 433–437. [Google Scholar]











Publisher’s Note: MDPI stays neutral with regard to jurisdictional claims in published maps and institutional affiliations. |
© 2022 by the authors. Licensee MDPI, Basel, Switzerland. This article is an open access article distributed under the terms and conditions of the Creative Commons Attribution (CC BY) license (https://creativecommons.org/licenses/by/4.0/).
Share and Cite
Zhou, B.; Chen, T.; Zhao, Y.; Xu, G. Novel AoD Estimation Algorithms for WSSUS and Non-WSSUS V2V Channel Modeling. Electronics 2022, 11, 2642. https://doi.org/10.3390/electronics11172642
Zhou B, Chen T, Zhao Y, Xu G. Novel AoD Estimation Algorithms for WSSUS and Non-WSSUS V2V Channel Modeling. Electronics. 2022; 11(17):2642. https://doi.org/10.3390/electronics11172642
Chicago/Turabian StyleZhou, Beiping, Ting Chen, Yongfeng Zhao, and Gandong Xu. 2022. "Novel AoD Estimation Algorithms for WSSUS and Non-WSSUS V2V Channel Modeling" Electronics 11, no. 17: 2642. https://doi.org/10.3390/electronics11172642
APA StyleZhou, B., Chen, T., Zhao, Y., & Xu, G. (2022). Novel AoD Estimation Algorithms for WSSUS and Non-WSSUS V2V Channel Modeling. Electronics, 11(17), 2642. https://doi.org/10.3390/electronics11172642
