Gain Improvement of a Dual-Band CPW Monopole Antenna for Sub-6 GHz 5G Applications Using AMC Structures
Abstract
:1. Introduction
2. Dual-Band Monopole Antenna Structure
3. Proposed Antenna with AMC Structures
3.1. AMC Structure
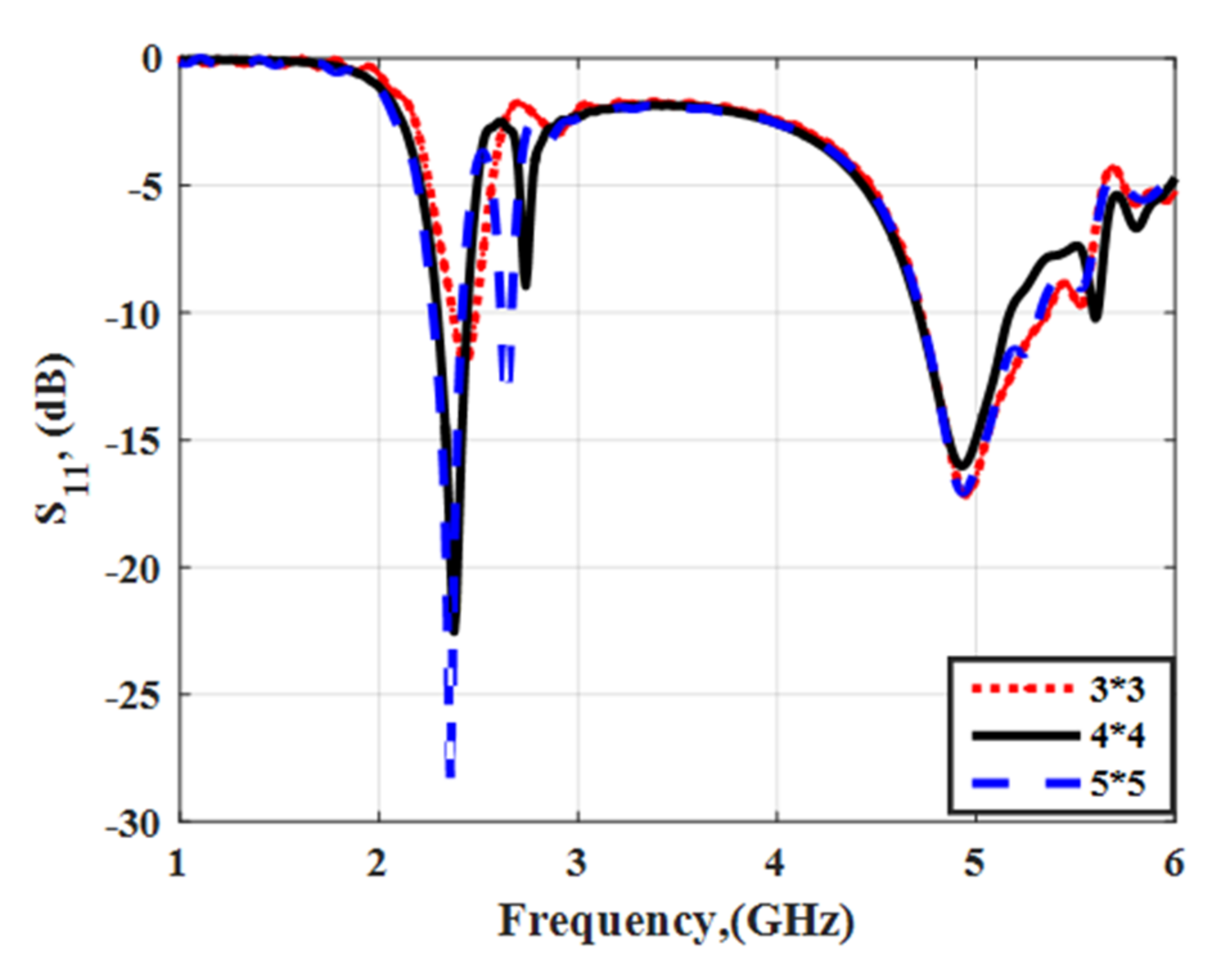
3.2. Proposed Antenna with AMC Integration
4. Conclusions
Author Contributions
Funding
Data Availability Statement
Acknowledgments
Conflicts of Interest
References
- Shafi, M.; Molisch, A.F.; Smith, P.J.; Haustein, T.; Zhu, P.; De Silva, P.; Tufvesson, F.; Benjebbour, A.; Wunder, G. 5G: A tutorial overview of standards, trials, challenges, deployment, and practice. IEEE J. Sel. Areas Commun. 2017, 35, 1201–1221. [Google Scholar] [CrossRef]
- Andrews, J.G.; Buzzi, S.; Choi, W.; Hanly, S.V.; Lozano, A.; Soong, A.C.; Zhang, J.C. What Will 5G Be? IEEE J. Sel. Areas Commun. 2014, 32, 1065–1082. [Google Scholar] [CrossRef]
- Liu, Q.; Liu, H.; He, W.; He, S. A low-profile dual-band dual-polarized antenna with an AMC reflector for 5G communications. IEEE Access 2020, 8, 24072–24080. [Google Scholar] [CrossRef]
- Aboualalaa, M. Dual-band Co-planar Waveguide Slot Antenna for 5G sub-6 GHz Applications. In Proceedings of the IEEE MTT-S International Conference on Numerical Electromagnetic and Multiphysics Modeling and Optimization (NEMO), Hangzhou, China, 7–9 December 2020; pp. 1–4. [Google Scholar]
- Ikram, M.; Al Abbas, E.; Nguyen-Trong, N.; Sayidmarie, K.H.; Abbosh, A. Integrated frequency-reconfigurable slot antenna and connected slot antenna array for 4G and 5G mobile handsets. IEEE Trans. Antennas Propag. 2019, 67, 7225–7233. [Google Scholar] [CrossRef]
- Alieldin, A.; Huang, Y.; Boyes, S.J.; Stanley, M.; Joseph, S.D.; Hua, Q.; Lei, D. A triple-band dual-polarized indoor base station antenna for 2G, 3G, 4G and sub-6 GHz 5G applications. IEEE Access 2018, 6, 49209–49216. [Google Scholar] [CrossRef]
- Sharawi, M.S.; Ikram, M.; Shamim, A. A two concentric slot loop based connected array MIMO antenna system for 4G/5G terminals. IEEE Trans. Antennas Propag. 2017, 65, 6679–6686. [Google Scholar] [CrossRef] [Green Version]
- Hua, Q.; Huang, Y.; Song, C.; Akinsolu, M.O.; Liu, B.; Jia, T.; Xu, Q.; Alieldin, A. A novel compact quadruple-band indoor base station antenna for 2G/3G/4G/5G Systems. IEEE Access 2019, 7, 151350–151358. [Google Scholar] [CrossRef]
- Liu, Y.; Wang, S.; Li, N.; Wang, J.-B.; Zhao, J. A compact dual-band dual-polarized antenna with filtering structures for sub-6 GHz base station applications. IEEE Antennas Wirel. Propag. Lett. 2018, 17, 1764–1768. [Google Scholar] [CrossRef]
- Li, X.; Zhu, H.; Huang, Z. A CPW-Fed Miniaturized Dual-Band Antenna for 5G Applications. In Proceedings of the 2020 IEEE MTT-S International Conference on Numerical Electromagnetic and Multiphysics Modeling and Optimization (NEMO), Hangzhou, China, 7–9 December 2020; pp. 1–3. [Google Scholar]
- Saini, R.K.; Dwari, S.; Mandal, M.K. CPW-fed dual-band dual-sense circularly polarized monopole antenna. IEEE Antennas Wirel. Propag. Lett. 2017, 16, 2497–2500. [Google Scholar] [CrossRef]
- Liang, W.; Jiao, Y.-C.; Luan, Y.; Tian, C. A dual-band circularly polarized complementary antenna. IEEE Antennas Wirel. Propag. Lett. 2015, 14, 1153–1156. [Google Scholar] [CrossRef]
- Sarkar, S.; Gupta, B. A dual-band circularly polarized antenna with a dual-band amc reflector for RFID readers. IEEE Antennas Wirel. Propag. Lett. 2020, 19, 796–800. [Google Scholar] [CrossRef]
- Paracha, K.N.; Rahim, S.K.A.; Soh, P.J.; Kamarudin, M.R.; Tan, K.G.; Lo, Y.C.; Islam, M.T. A low profile, dual-band, dual-polarized antenna for indoor/outdoor wearable application. IEEE Access 2019, 7, 33277–33288. [Google Scholar] [CrossRef]
- Saad, A.A.R.; Ibrahim, A.A.; Haraz, O.M.; Elboushi, A. Tri-band compact ACS-fed meander-line antenna for wireless communications. Int. J. Microw. Wirel. Technol. 2017, 9, 1895–1903. [Google Scholar] [CrossRef]
- Ijiguchi, T.; Kanemoto, D.; Yoshitomi, K.; Yoshida, K.; Ishikawa, A.; Fukagawa, S.; Kodama, N.; Tahira, A.; Kanaya, H. Circularly polarized one-sided directional slot antenna with reflector metal for 5.8-GHz DSRC operations. IEEE Antennas Wirel. Propag. Lett. 2014, 13, 778–781. [Google Scholar] [CrossRef]
- Zhang, Q.; Gao, Y. A compact broadband dual-polarized antenna array for base stations. IEEE Antennas Wirel. Propag. Lett. 2018, 17, 1073–1076. [Google Scholar] [CrossRef]
- Wu, J.; Yang, S.; Chen, Y.; Qu, S.; Nie, Z. A low profile dual-polarized wideband omnidirectional antenna based on AMC reflector. IEEE Trans. Antennas Propag. 2016, 65, 368–374. [Google Scholar] [CrossRef]
- Ameen, M.; Chaudhary, R. Metamaterial-based wideband circularly polarised antenna with rotated V-shaped metasurface for small satellite applications. Electron. Lett. 2019, 55, 365–366. [Google Scholar] [CrossRef]
- Gong, Y.; Yang, S.; Li, B.; Chen, Y.; Tong, F.; Yu, C. Multi-Band and High Gain Antenna Using AMC Ground Characterized with Four Zero-Phases of Reflection Coefficient. IEEE Access 2020, 8, 171457–171468. [Google Scholar] [CrossRef]
- Yan, S.; Soh, P.J.; Vandenbosch, G.A.E. Low-profile dual-band textile antenna with artificial magnetic conductor plane. IEEE Trans. Antennas Propag. 2014, 62, 6487–6490. [Google Scholar] [CrossRef]
- Malekpoor, H.; Jam, S. Improved radiation performance of low profile printed slot antenna using wideband planar AMC surface. IEEE Trans. Antennas Propag. 2016, 64, 4626–4638. [Google Scholar] [CrossRef]
- Tran, H.H.; Park, I. A dual-wideband circularly polarized antenna using an artificial magnetic conductor. IEEE Antennas Wirel. Propag. Lett. 2015, 15, 950–953. [Google Scholar]
- Ibrahim, A.A.; Ali, W.A. High gain, wideband and low mutual coupling AMC-based millimeter wave MIMO antenna for 5G NR networks. AEU-Int. J. Electron. Commun. 2021, 142, 153990. [Google Scholar] [CrossRef]
- Hamadi, H.B.; Ghnimi, S.; Latrach, L.; Gharsallah, A. Design of the millimeter-wave textile antenna loaded with AMC structures for 5G applications. In Proceedings of the 2020 32nd International Conference on Microelectronics (ICM), Aqaba, Jordan, 14–17 December 2020; pp. 1–5. [Google Scholar]
- Saraswat, K.; Harish, A.R. Flexible dual-band dual-polarized CPW-fed monopole antenna with discrete-frequency reconfigurability. IET Microw. Antennas Propag. 2019, 13, 2053–2060. [Google Scholar] [CrossRef]
- Al-Zayed, A.S.; Shameena, V.A. Planar dual-band monopole antenna with an extended ground plane for WLAN applications. Int. J. Antennas Propag. 2016, 2016, 6798960. [Google Scholar] [CrossRef] [Green Version]















| Array Size | Gain (dBi) | |
|---|---|---|
| 2.45 GHz | 4.8 GHz | |
| 3 × 3 | 6.4 | 8.5 |
| 4 × 4 | 6.5 | 9.4 |
| 5 × 5 | 7 | 9.24 |
| Cell Separation (X), (mm) | Gain (dBi) | |
|---|---|---|
| 2.45 GHz | 4.8 GHz | |
| X = 3 | 6.5 | 8.7 |
| X = 5 | 6.5 | 9.4 |
| X = 8 | 6.5 | 9.4 |
| Reference | AMC Size (mm2/λ02) | εr/Thickness (mm) | Frequency Bands (GHz) | No. of AMC Bands | AMC Space from Antenna (mm) | Peak Gain (dBi) |
|---|---|---|---|---|---|---|
| [3] | 79.6 × 79.6 0.83 × 0.83 | 4.4/1 | 3.14–3.83/4.40–5.02 | 2 | 7 | 7.1/8.2 |
| [13] | 210 × 210 0.63 × 0.63 | 4.4/1.52 | 0.90–0.93/2.43–2.47 | 2 | 30 | 3.1/6.2 |
| [14] | 130 × 130 0.67 × 0.67 | 3/3.04 | 1.56–1.59/2.43–2.45 | 2 | 10.5 | 5.1/5.08 |
| [18] | 200 × 200 1.13 × 1.13 | 4.4/1.6 | 1.7–2.7 | 1 | 17.7 | 5 |
| [19] | 45 × 45 0.32 × 0.32 | 4.4/1.6 | 2.18–3.04 | 1 | 17 | 5.76 |
| [20] | 90 × 90 0.63 × 0.63 | 4.4/1.6 | 2.13–2.87/3.22–4.75/5.54–5.86 | 4 | 23 | 8.05/10.77/7.87 |
| [21] | 100 × 100 0.73 × 0.73 | 1.2/1.5 | 2.2–2.5, 5.03–5.86 | 2 | 1.5 | 4 |
| [22] | 50 × 80 0.95 × 1.53 | 4.4/2.4 | 5.75–14.51 | 1 | 4 | 10.65 |
| [23] | 72 × 72 0.48 × 0.48 | 2.2/0.5 | 2–3, 3.8–6.3 | 2 | 17 | 6.6/7.4 |
| This work | 0.63 × 0.63 | 4.4/1.6 | 2.37–2.5/4.45–4.9 | 2 | 8 | 5/7.5 |
Publisher’s Note: MDPI stays neutral with regard to jurisdictional claims in published maps and institutional affiliations. |
© 2022 by the authors. Licensee MDPI, Basel, Switzerland. This article is an open access article distributed under the terms and conditions of the Creative Commons Attribution (CC BY) license (https://creativecommons.org/licenses/by/4.0/).
Share and Cite
Abdelghany, M.A.; Fathy Abo Sree, M.; Desai, A.; Ibrahim, A.A. Gain Improvement of a Dual-Band CPW Monopole Antenna for Sub-6 GHz 5G Applications Using AMC Structures. Electronics 2022, 11, 2211. https://doi.org/10.3390/electronics11142211
Abdelghany MA, Fathy Abo Sree M, Desai A, Ibrahim AA. Gain Improvement of a Dual-Band CPW Monopole Antenna for Sub-6 GHz 5G Applications Using AMC Structures. Electronics. 2022; 11(14):2211. https://doi.org/10.3390/electronics11142211
Chicago/Turabian StyleAbdelghany, Mahmoud A., Mohamed Fathy Abo Sree, Arpan Desai, and Ahmed A. Ibrahim. 2022. "Gain Improvement of a Dual-Band CPW Monopole Antenna for Sub-6 GHz 5G Applications Using AMC Structures" Electronics 11, no. 14: 2211. https://doi.org/10.3390/electronics11142211
APA StyleAbdelghany, M. A., Fathy Abo Sree, M., Desai, A., & Ibrahim, A. A. (2022). Gain Improvement of a Dual-Band CPW Monopole Antenna for Sub-6 GHz 5G Applications Using AMC Structures. Electronics, 11(14), 2211. https://doi.org/10.3390/electronics11142211

