A Link Prediction Algorithm Based on GAN
Abstract
:1. Overview
2. Related Work
- (1)
- The link prediction algorithm is based on likelihood analysis. This type of algorithm starts from likelihood analysis and can guide different algorithmic frameworks. The link prediction performance of this type of algorithm is superior, but the algorithm complexity of this type of algorithm is higher than that of other types. Clauset et al. proposed a technique for inferring hierarchies from network data through which missing links in the network can be predicted, and then proposed the hierarchical structure model (HSM) [8], which exhibited better predictive performance for networks with obvious hierarchies. Pan et al. calculated the probability of the network according to the predefined Hamiltonian amount of structure, and scored the unobserved links by adding the link to the network conditional probability. In terms of finding missing links and detecting spurious links, through simulation experiments on seven real networks, it was proved that the algorithm had high accuracy [9] Despite the accuracy of the likelihood analysis method, its framework is more complex, the computational complexity is high, and it is not suitable for large-scale networks.
- (2)
- The similarity-based link prediction algorithm estimates associations between vertices based on their similarities. Therefore, the most important issue for this algorithm is the correct determination of similarity level among all network vertices. Similarity-based link prediction is divided into the following two categories:
- (1)
- Link prediction method based on similarity of vertex attributes. [7]. Most of these link prediction methods are used in complex networks composed with labeled vertices, such as social networks. Using the information from the labels, it is possible to estimate vertex similarity. A greater similarity between the attributes of two vertices indicates a higher probability of connection between them.
- (2)
- Link prediction method based on network structure similarity [7]. Most of these link prediction methods are used in complex networks where it is difficult to obtain vertex attribute information. These methods mainly utilize the local information similarity index, path similarity index, and random walk similarity index. The local information similarity indices mainly include the common neighbors (CN) index [6], the preferential attachment (PA) index [6], and the Adamic–Adar (AA) index [6]. Path-based similarity indexes mainly include the local path(LP) index [6] and the Katz index [6]. Random walk similarity index mainly includes SimRank index [10], average commuting time index [11], and Cos+ index [11].
3. Algorithm Description
3.1. Algorithm Definition Description
3.2. Basic Algorithm Index
3.3. Algorithm Framework
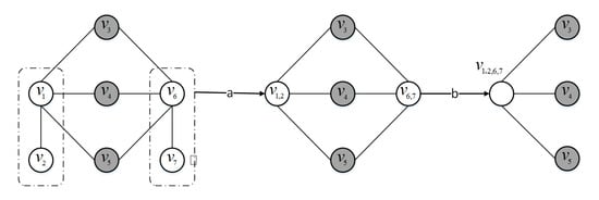
3.4. Hierarchical Network Graph
| Algorithm 1: Network graph layering algorithm NetLay. |
| Input: Network graph . Output: A subnetwork diagram that scales down layer by layer . 1. n = 0 2. = G 3. while : 4. = Edge Collapsing () 5. = Vertex Merging () 6. n = n + 1 7. return |
3.5. EmbedGAN Network Framework
| Algorithm 2: Builder sampling strategy |
| Input. Network graph G = (V, E), the vector of the vertices in the figure represents , step information d between the steps of the steps, the deviation parameters p and q, the source node . Output. Pat out node . 1. 2. for j in range(l): 3. for in : 4. calculate relevance probability according to Equation (5) 5. if : 6. 7. elif : 8. 9. else: 10. 11. select with Alias Method 12. 13. 14. return |
| Algorithm 3: EmbedGAN Algorithm |
| Input The network graph , the initial vector of the vertex in the graph represents , the step size , the deviation parameters and , and the distance information between vertices . Output The low-dimensional vector of the vertices in the network graph represents . 1. pre-train and 2. while embed GAN no converge: 3. for G-steps: 4. generates vertices for each vertex according to Algorithm 2 5. update according to Equations , and 6. update 7. for D-steps: 8. sample positive vertices from ground truth and negative vertices from for each vertex 9. update according to Equations and 10. update 11. return |
3.6. GAHNRL Algorithm
| Algorithm 4: GAHNRL Algorithm |
| Input The network graph , the step size , the deviation parameters and , and the distance information between vertices . Output The low-dimensional vector of the vertices in the network graph represents . 1. 2. for in range (): 3. 4. 5. EmbedGAN (,) 6. for to 0: 7. 8. EmbedGAN (,) 9. return |
4. Experiments
4.1. Experimental Dataset
4.2. Evaluation Criterion
4.3. Experimental Setup
4.4. Result Analysis
5. Conclusions
Author Contributions
Funding
Conflicts of Interest
References
- Spoma, O. The human connectome: A complex network. Ann. N. Y. Acad. Sci. 2012, 1224, 109–125. [Google Scholar]
- Guisheng, Y.; Wansi, Y.; Yuxin, D. A new link prediction algorithm: Node link strength algorithm. In Proceedings of the 2014 IEEE Symposium on Computer Applications and Communications, Washington, DC, USA, 26–27 July 2014; IEEE Press: Weihai, China, 2014; pp. 5–9. [Google Scholar]
- Llben-Nowell, D.; Kleinberg, J. The link prediction problem for social networks. J. Am. Soc. Inf. Sci. Technol. 2003, 58, 1019–1031. [Google Scholar] [CrossRef] [Green Version]
- Javari, A.; Jalili, M. A probabilistic model to resolve diversity–accuracy challenge of recommendation systems. Knowl. Inf. Syst. 2015, 44, 609–627. [Google Scholar] [CrossRef] [Green Version]
- Zhou, W.; Gu, J.; Jia, Y. h-Index-based link prediction methods in citation network. Scientometrics 2018, 117, 381–390. [Google Scholar] [CrossRef]
- Lü, L.; Zhou, T. Link prediction in complex networks: A survey. Phys. A Stat. Mech. Its Appl. 2010, 390, 1150–1170. [Google Scholar]
- Chen, B.; Chen, L.; Li, B. A fast algorithm for predicting links to nodes of interest. Inf. Sci. 2016, 329, 552–567. [Google Scholar] [CrossRef]
- Lin, W.; Ji, S.; Li, B. Adversarial Attacks on Link Prediction Algorithms Based on Graph Neural Networks. Assoc. Comput. Mach. 2020, 370–380. [Google Scholar] [CrossRef]
- Cao, Z.; Zhang, Y.; Guan, J.; Zhou, S.; Wen, G. A Chaotic Ant Colony Optimized Link Prediction Algorithm. IEEE Trans. Syst. Man Cybern. Syst. 2021, 51, 5274–5288. [Google Scholar] [CrossRef]
- Fujiwara, Y.; Nakatsuji, M.; Shiokawa, H.; Onizuka, M. Efficient search algorithm for SimRank. In Proceedings of the IEEE International Conference on Data Engineering, Brisbane, QLD, Australia, 8–12 April 2013; IEEE Press: Washington, DC, USA, 2013; pp. 589–600. [Google Scholar]
- Moradabadi, B.; Meybodi, M.R. Link prediction based on temporal similarity metrics using continuous action set learning automata. Phys. A Stat. Mech. Its Appl. 2016, 460, 361–373. [Google Scholar] [CrossRef]
- Xu, X.; Hu, N.; Li, T.; Trovati, M.; Palmieri, F.; Kontonatsios, G.; Castiglione, A. Distributed temporal link prediction algorithm based on label propagation. Future Gener. Comput. Syst. 2019, 93, 627–636. [Google Scholar] [CrossRef] [Green Version]
- Zhang, D.; Yin, J.; Zhu, X.; Zhang, C. Network representation learning: A survey. IEEE Trans. Big Data 2018, 1, 1–25. [Google Scholar] [CrossRef] [Green Version]
- Perozzi, B.; Al-Rfou, R.; Skiena, S. DeepWalk: Online learning of social representations. In Proceedings of the 20th ACM SIGKDD International Conference on Knowledge Discovery and Data Mining, New York, NY, USA, 26 March 2014; ACM Press: New York, NY, USA, 2014; pp. 701–710. [Google Scholar]
- Goldberg, Y.; Levy, O. Word2vec Explained: Deriving Mikolov et al.’ s Negative-Sampling Word-Embedding Method [EB/OL]. arXiv 2014, arXiv:1402.3722. [Google Scholar]
- Tang, J.; Qu, M.; Wang, M.; Zhang, M.; Yan, J.; Mei, Q. LINE: Largescale information network embedding. In Proceedings of the 24th International Conference on World Wide Web, Washington, DC, USA, 12 March 2015; pp. 1067–1077. [Google Scholar]
- Grover, A.; Leskovec, J. Node2vec: Scalable feature learning for networks. In Proceedings of the KDD’ 16, San Francisco, CA, USA, 13–17 August 2016; ACM Press: New York, NY, USA, 2016; pp. 1–10. [Google Scholar]
- Kurant, M.; Markopoulou, A.; Thiran, P. Towards unbiased BFS sampling. IEEE J. Sel. Areas Commun. 2011, 29, 1799–1809. [Google Scholar] [CrossRef] [Green Version]
- Zhang, T.; Li, H.; Hong, W.; Yuan, X.; Wei, X. Deep first formal concept search. Sci. World J. 2014, 2014, 275679. [Google Scholar] [CrossRef] [PubMed]
- Wang, H.; Wang, J.; Wang, J.; Zhao, M.; Zhang, W.; Zhang, F.; Li, W.; Xie, X.; Guo, M. GraphGAN: Graph representation learning with generative adversarial nets. IEEE Trans. Knowl. Data Eng. 2018, 33, 3090–3103. [Google Scholar] [CrossRef]
- Codling, E.A.; Bearon, R.N.; Thorn, G.J. Diffusion about the mean drift location in a biased random walk. Ecology 2010, 91, 3106–3113. [Google Scholar] [CrossRef] [PubMed] [Green Version]
- Kronmal, R.A.; Peterson, A.V., Jr. On the alias method for generating random variables from a discrete distribution. Am. Stat. 1979, 33, 214–218. [Google Scholar]
- Leskovec, J.; Mcauley, J. Learning to Discover Social Circles in Ego Networks. In Proceedings of the IEEE International Conference on Neural Information Processing Systems, Washington, DC, USA, 3 December 2012; pp. 1–9. [Google Scholar]
- Leskovec, J.; Huttenlocher, D.; Kleinberg, J. Predicting Positive and Negative Links in Online Social Networks. Available online: https://www.oalib.com/paper/4079408 (accessed on 10 November 2019).
- Leskovec, J.; Kleinberg, J.; Faloutsos, C. Graph evolution: Densification and shrinking diameters. ACM Trans. Knowl. Discov. Data 2006, 1, 1–42. [Google Scholar] [CrossRef]







| Dataset | N | E |
|---|---|---|
| Wiki-Vote | 7115 | 103,689 |
| 4039 | 88,234 | |
| GA-GrQc | 5242 | 28,980 |
| Metabolic | 2349 | 11,693 |
| Parameter | p = 0.5 | p = 1.0 | p = 1.5 |
|---|---|---|---|
| q = 0.5 | 0.872 | 0.922 | 0.919 |
| q = 1.0 | 0.898 | 0.927 | 0.931 |
| q = 1.5 | 0.909 | 0.918 | 0.907 |
| Parameter | p = 0.5 | p = 1.0 | p = 1.5 |
|---|---|---|---|
| q = 0.5 | 0.889 | 0.929 | 0.930 |
| q = 1.0 | 0.919 | 0.936 | 0.942 |
| q = 1.5 | 0.911 | 0.933 | 0.910 |
| Parameter | p =0.5 | p =1.0 | p = 1.5 |
|---|---|---|---|
| q = 0.5 | 0.841 | 0.865 | 0.887 |
| q = 1.0 | 0.872 | 0.891 | 0.903 |
| q = 1.5 | 0.855 | 0.887 | 0.862 |
| Parameter | p = 0.5 | p = 1.0 | p = 1.5 |
|---|---|---|---|
| q = 0.5 | 0.871 | 0.868 | 0.881 |
| q = 1.0 | 0.878 | 0.898 | 0.896 |
| q = 1.5 | 0.884 | 0.918 | 0.863 |
| Algorithm | ||||
|---|---|---|---|---|
| LP | 0.891 | 0.891 | 0.891 | 0.891 |
| Katz | 0.610 | 0.610 | 0.610 | 0.610 |
| AA | 0.968 | 0.968 | 0.968 | 0.968 |
| LINE | 0.897 | 0.897 | 0.897 | 0.897 |
| DeepWalk | 0.908 | 0.908 | 0.908 | 0.908 |
| Node2vec | 0.912 | 0.912 | 0.912 | 0.912 |
| GraphGan | 0.932 | 0.932 | 0.932 | 0.932 |
| GAHNRL | 0.942 | 0.942 | 0.942 | 0.942 |
| Algorithm | ||||
|---|---|---|---|---|
| LP | 0.9546 | 0.9546 | 0.9546 | 0.9546 |
| Katz | 0.6098 | 0.6098 | 0.6098 | 0.6098 |
| AA | 0.9780 | 0.9780 | 0.9780 | 0.9780 |
| LINE | 0.9050 | 0.9050 | 0.9050 | 0.9050 |
| DeepWalk | 0.9610 | 0.9610 | 0.9610 | 0.9610 |
| Node2vec | 0.9682 | 0.9682 | 0.9682 | 0.9682 |
| GraphGan | 0.9705 | 0.9705 | 0.9705 | 0.9705 |
| GAHNRL | 0.9814 | 0.9814 | 0.9814 | 0.9814 |
Publisher’s Note: MDPI stays neutral with regard to jurisdictional claims in published maps and institutional affiliations. |
© 2022 by the authors. Licensee MDPI, Basel, Switzerland. This article is an open access article distributed under the terms and conditions of the Creative Commons Attribution (CC BY) license (https://creativecommons.org/licenses/by/4.0/).
Share and Cite
Jin, H.; Xu, G.; Cheng, K.; Liu, J.; Wu, Z. A Link Prediction Algorithm Based on GAN. Electronics 2022, 11, 2059. https://doi.org/10.3390/electronics11132059
Jin H, Xu G, Cheng K, Liu J, Wu Z. A Link Prediction Algorithm Based on GAN. Electronics. 2022; 11(13):2059. https://doi.org/10.3390/electronics11132059
Chicago/Turabian StyleJin, Haiyan, Guodong Xu, Kangda Cheng, Jinlong Liu, and Zhilu Wu. 2022. "A Link Prediction Algorithm Based on GAN" Electronics 11, no. 13: 2059. https://doi.org/10.3390/electronics11132059
APA StyleJin, H., Xu, G., Cheng, K., Liu, J., & Wu, Z. (2022). A Link Prediction Algorithm Based on GAN. Electronics, 11(13), 2059. https://doi.org/10.3390/electronics11132059

