Design and Analysis of Polarization-Independent, Wide-Angle, Broadband Metasurface Absorber Using Resistor-Loaded Split-Ring Resonators
Abstract
1. Introduction
2. Metasurface Absorber Design
3. Results and Discussion
3.1. Absorption Mechanisms and Different Design Parameters
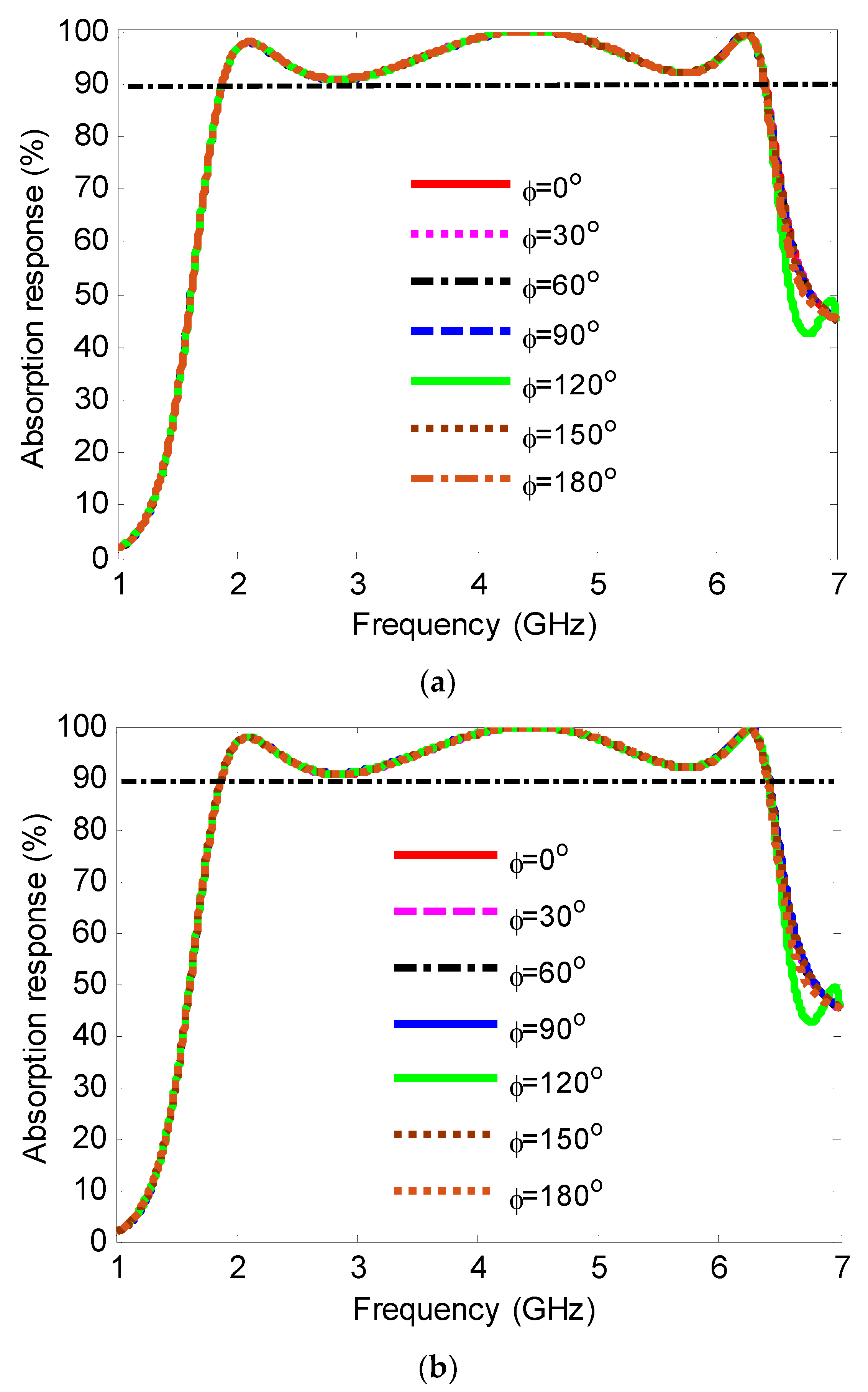
3.2. Absorption Mechanism at Different Polarization and Incident Angles
4. Measurement Verification
5. Conclusions
Author Contributions
Funding
Acknowledgments
Conflicts of Interest
References
- Shukoor, M.A.; Dey, S.; Koul, S.K. A Simple Polarization-Insensitive and Wide Angular Stable Circular Ring Based Undeca-Band Absorber for EMI/EMC Applications. IEEE Trans. Electromagn. Compat. 2021, 63, 1025–1034. [Google Scholar] [CrossRef]
- Munaga, P.; Ghosh, S.; Bhattacharyya, S.; Chaurasiya, D.; Srivastava, K.V. An Ultra-thin Dual-Band Polarization-Independent Metamaterial Absorber for EMI/EMC Applications. In Proceedings of the 2015 9th European Conference on Antennas and Propagation (EuCAP), Lisbon, Portugal, 13–17 April 2015; Volume 2, pp. 11–14. [Google Scholar]
- Chung, B.K.; Chuah, H.T. Modeling of RF absorber for application in the design of anechoic chamber. Prog. Electromagn. Res. 2003, 43, 273–285. [Google Scholar] [CrossRef]
- Kazemzadeh, A.; Karlsson, A. Multilayered wideband absorbers for oblique angle of incidence. IEEE Trans. Antennas Propag. 2010, 58, 3637–3646. [Google Scholar] [CrossRef]
- Bucci, O.M.; Franceschetti, G. Scattering from Wedge-Tapered Absorbers. IEEE Trans. Antennas Propag. 1971, 19, 96–104. [Google Scholar] [CrossRef]
- Ha, J.; Shin, W.; Lee, J.H.; Kim, Y.; Kim, D.; Lee, Y.; Yook, J.G. Effect of plasma area on frequency of monostatic radar cross section reduction. J. Electromagn. Eng. Sci. 2017, 17, 153–158. [Google Scholar] [CrossRef]
- Min Zhong, M.Z. Influence of dielectric layer on negative refractive index and transmission of metal-dielectric-metal sandwiched metamaterials. Chin. Opt. Lett. 2014, 12, 041601–041603. [Google Scholar] [CrossRef][Green Version]
- Landy, N.I.; Sajuyigbe, S.; Mock, J.J.; Smith, D.R.; Padilla, W.J. Perfect metamaterial absorber. Phys. Rev. Lett. 2008, 100, 207402. [Google Scholar] [CrossRef]
- Faruque, M.R.I.; Rahman, M.; Hasan, M.M.; Famim, A.M.; Idrus, I.N.; Islam, M.T. Architecture of left-handed metamaterial absorber for absorbing electromagnetic hazards. J. Optoelectron. Adv. Mater. 2020, 22, 495–500. [Google Scholar]
- Amer, A.A.G.; Sapuan, S.Z.; Nasimuddin, N.; Alphones, A.; Zinal, N.B. A comprehensive review of metasurface structures suitable for RF energy harvesting. IEEE Access 2020, 8, 76433–76452. [Google Scholar] [CrossRef]
- Amer, A.A.G.; Sapuan, S.Z. Nasimuddin Multi-Band Metasurface Microwave Absorber Based on Square Split-Ring Resonator Structure. In Proceedings of the 12th National Technical Seminar on Unmanned System Technology 2020; Lecture Notes in Electrical Engineering; Springer: Singapore, 2022; Volume 770, pp. 373–382. [Google Scholar] [CrossRef]
- Amer, A.A.G.; Sapuan, S.Z.; Nasimuddin, N.; Hassan, M.F. A Broadband Wide-Angle Metasurface Absorber for Energy Harvesting Applications. In Proceedings of the 2021 International Conference of Technology, Science and Administration (ICTSA), Taiz, Yemen, 22–24 March 2021. [Google Scholar] [CrossRef]
- Bakır, M.; Karaaslan, M.; Unal, E.; Akgol, O.; Sabah, C. Microwave metamaterial absorber for sensing applications. Opto-Electron. Rev. 2017, 25, 318–325. [Google Scholar] [CrossRef]
- Hajizadegan, M.; Ahmadi, V.; Sakhdari, M. Design and analysis of ultrafast and tunable all optical metamaterial switch enhanced by metal nanocomposite. J. Light. Technol. 2013, 31, 1877–1883. [Google Scholar] [CrossRef]
- Xiong, H.; Hong, J.S.; Luo, C.M.; Zhong, L.L. An ultrathin and broadband metamaterial absorber using multi-layer structures. J. Appl. Phys. 2013, 114, 064109. [Google Scholar] [CrossRef]
- Soheilifar, M.R.; Sadeghzadeh, R.A. Design, fabrication and characterization of stacked layers planar broadband metamaterial absorber at microwave frequency. AEU-Int. J. Electron. Commun. 2015, 69, 126–132. [Google Scholar] [CrossRef]
- Tang, J.; Xiao, Z.; Xu, K.; Ma, X.; Wang, Z. Polarization-Controlled Metamaterial Absorber with Extremely Bandwidth and Wide Incidence Angle. Plasmonics 2016, 11, 1393–1399. [Google Scholar] [CrossRef]
- Sheokand, H.; Ghosh, S.; Singh, G.; Saikia, M.; Srivastava, K.V.; Ramkumar, J.; Ramakrishna, S.A. Transparent broadband metamaterial absorber based on resistive films. J. Appl. Phys. 2017, 122, 105105. [Google Scholar] [CrossRef]
- Cheng, Y.Z.; Wang, Y.; Nie, Y.; Gong, R.Z.; Xiong, X.; Wang, X. Design, fabrication and measurement of a broadband polarization-insensitive metamaterial absorber based on lumped elements. J. Appl. Phys. 2012, 111, 2010–2014. [Google Scholar] [CrossRef]
- Yuan, W.; Cheng, Y. Low-frequency and broadband metamaterial absorber based on lumped elements: Design, characterization and experiment. Appl. Phys. A Mater. Sci. Process. 2014, 117, 1915–1921. [Google Scholar] [CrossRef]
- Lim, D.; Lim, S. Ultrawideband Electromagnetic Absorber Using Sandwiched Broadband Metasurfaces. IEEE Antennas Wirel. Propag. Lett. 2019, 18, 1887–1891. [Google Scholar] [CrossRef]
- Bağmancı, M.; Akgöl, O.; Özaktürk, M.; Karaaslan, M.; Ünal, E.; Bakır, M. Polarization independent broadband metamaterial absorber for microwave applications. Int. J. RF Microw. Comput. Eng. 2019, 29, e21630. [Google Scholar] [CrossRef]
- Chen, K.; Luo, X.; Ding, G.; Zhao, J.; Feng, Y.; Jiang, T. Broadband microwave metamaterial absorber with lumped resistor loading. EPJ Appl. Metamater. 2019, 6, 1. [Google Scholar] [CrossRef]
- Zhao, J.; Cheng, Y. Ultrabroadband Microwave Metamaterial Absorber Based on Electric SRR Loaded with Lumped Resistors. J. Electron. Mater. 2016, 45, 5033–5039. [Google Scholar] [CrossRef]
- Banadaki, M.D.; Heidari, A.A.; Nakhkash, M. A Metamaterial Absorber with a New Compact Unit Cell. IEEE Antennas Wirel. Propag. Lett. 2018, 17, 205–208. [Google Scholar] [CrossRef]
- Wang, Q.; Cheng, Y. Compact and low-frequency broadband microwave metamaterial absorber based on meander wire structure loaded resistors. AEU-Int. J. Electron. Commun. 2020, 120, 153198. [Google Scholar] [CrossRef]
- Bakir, M.; Karaaslan, M.; Dincer, F.; Delihacioglu, K.; Sabah, C. Perfect metamaterial absorber-based energy harvesting and sensor applications in the industrial, scientific, and medical band. Opt. Eng. 2015, 54, 097102. [Google Scholar] [CrossRef]
- Amer, A.A.G.; Sapuan, S.Z.; Nasimuddin, N. Efficient Metasurface Absorber for 2.4 GHz ISM-Band Applications. In Proceedings of the 2020 IEEE Student Conference on Research and Development (SCOReD), Batu Pahat, Malaysia, 27–29 September 2020; pp. 471–474. [Google Scholar] [CrossRef]
- Amiri, M.; Tofigh, F.; Shariati, N.; Lipman, J.; Abolhasan, M. Miniature tri-wideband Sierpinski-Minkowski fractals metamaterial perfect absorber. IET Microw. Antennas Propag. 2019, 13, 991–996. [Google Scholar] [CrossRef]
- Kalraiya, S.; Chaudhary, R.K.; Abdalla, M.A. Design and analysis of polarization independent conformal wideband metamaterial absorber using resistor loaded sector shaped resonators. J. Appl. Phys. 2019, 125, 134904. [Google Scholar] [CrossRef]
- Kalraiya, S.; Chaudhary, R.K.; Abdalla, M.A. Resistor loaded wideband conformal metamaterial absorber for curved surfaces application. AEU-Int. J. Electron. Commun. 2022, 143, 154033. [Google Scholar] [CrossRef]
- Jang, T.; Youn, H.; Shin, Y.J.; Guo, L.J. Transparent and Flexible Polarization-Independent Microwave Broadband Absorber. ACS Photonics 2014, 1, 279–284. [Google Scholar] [CrossRef]
- Kong, X.; Xu, J.; Mo, J.J.; Liu, S. Broadband and conformal metamaterial absorber. Front. Optoelectron. 2017, 10, 124–131. [Google Scholar] [CrossRef]
- Smith, D.R.; Vier, D.C.; Koschny, T.; Soukoulis, C.M. Electromagnetic parameter retrieval from inhomogeneous metamaterials. Phys. Rev. E-Stat. Nonlinear Soft Matter Phys. 2005, 71, 036617. [Google Scholar] [CrossRef]
- Zuo, W.; Yang, Y.; He, X.; Zhan, D.; Zhang, Q. A miniaturized metamaterial absorber for ultrahigh-frequency RFID system. IEEE Antennas Wirel. Propag. Lett. 2017, 16, 329–332. [Google Scholar] [CrossRef]
- Zuo, W.; Yang, Y.; He, X.; Mao, C.; Liu, T. An ultrawideband miniaturized metamaterial absorber in the ultrahigh-frequency range. IEEE Antennas Wirel. Propag. Lett. 2017, 16, 928–931. [Google Scholar] [CrossRef]










Publisher’s Note: MDPI stays neutral with regard to jurisdictional claims in published maps and institutional affiliations. |
© 2022 by the authors. Licensee MDPI, Basel, Switzerland. This article is an open access article distributed under the terms and conditions of the Creative Commons Attribution (CC BY) license (https://creativecommons.org/licenses/by/4.0/).
Share and Cite
Amer, A.A.G.; Sapuan, S.Z.; Alzahrani, A.; Nasimuddin, N.; Salem, A.A.; Ghoneim, S.S.M. Design and Analysis of Polarization-Independent, Wide-Angle, Broadband Metasurface Absorber Using Resistor-Loaded Split-Ring Resonators. Electronics 2022, 11, 1986. https://doi.org/10.3390/electronics11131986
Amer AAG, Sapuan SZ, Alzahrani A, Nasimuddin N, Salem AA, Ghoneim SSM. Design and Analysis of Polarization-Independent, Wide-Angle, Broadband Metasurface Absorber Using Resistor-Loaded Split-Ring Resonators. Electronics. 2022; 11(13):1986. https://doi.org/10.3390/electronics11131986
Chicago/Turabian StyleAmer, Abdulrahman Ahmed Ghaleb, Syarfa Zahirah Sapuan, Abdullah Alzahrani, Nasimuddin Nasimuddin, Ali Ahmed Salem, and Sherif S. M. Ghoneim. 2022. "Design and Analysis of Polarization-Independent, Wide-Angle, Broadband Metasurface Absorber Using Resistor-Loaded Split-Ring Resonators" Electronics 11, no. 13: 1986. https://doi.org/10.3390/electronics11131986
APA StyleAmer, A. A. G., Sapuan, S. Z., Alzahrani, A., Nasimuddin, N., Salem, A. A., & Ghoneim, S. S. M. (2022). Design and Analysis of Polarization-Independent, Wide-Angle, Broadband Metasurface Absorber Using Resistor-Loaded Split-Ring Resonators. Electronics, 11(13), 1986. https://doi.org/10.3390/electronics11131986

